Low-Energy Ion Implantation and Deep-Mesa Si-Avalanche Photodiodes with Improved Fabrication Process
Abstract
1. Introduction
2. Design and Fabrication
3. Device Characterization and Discussion
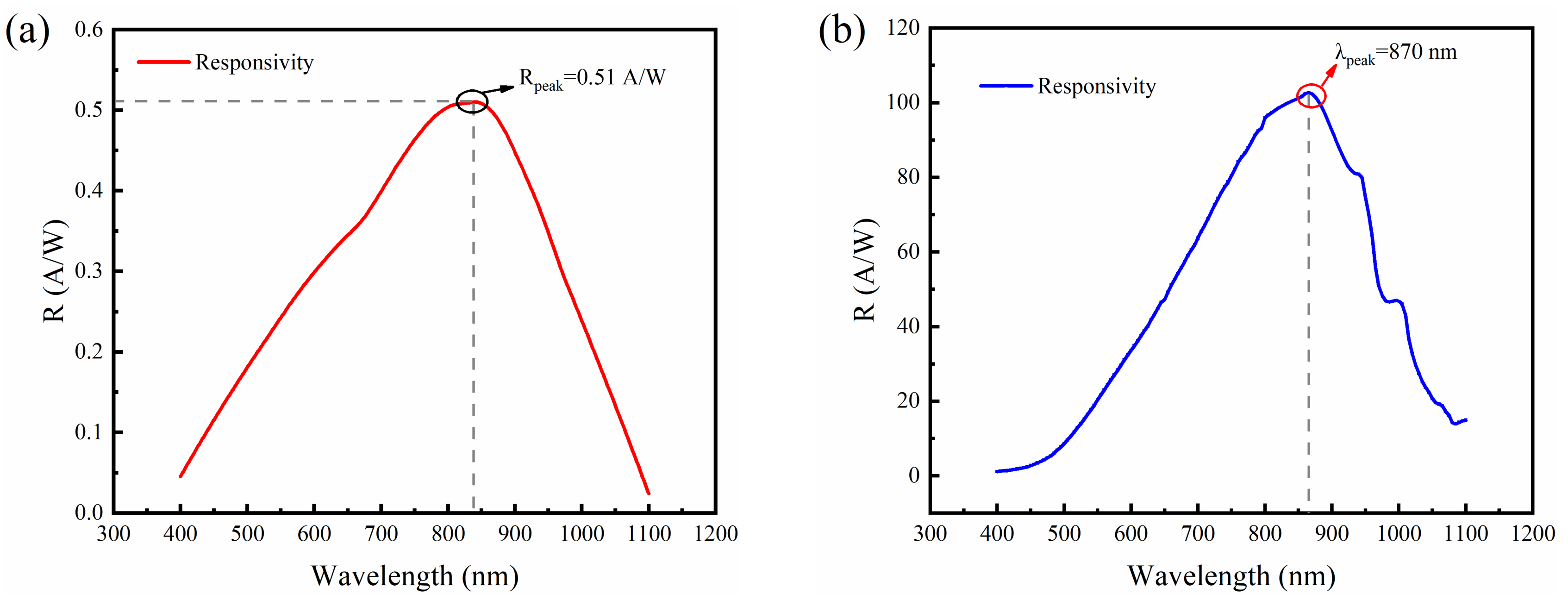
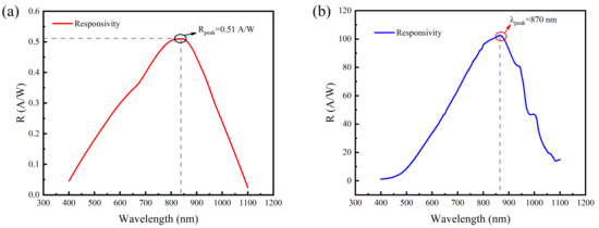
3.1. I–V Characteristics and Responsivity
3.2. Terminal Capacitance and Response Time
4. Conclusions
Author Contributions
Funding
Institutional Review Board Statement
Informed Consent Statement
Data Availability Statement
Conflicts of Interest
References
- Ahmad, Z.; Kuo, S.-I.; Chang, Y.-C.; Chao, R.-L.; Naseem, N.; Lee, Y.-S.; Hung, Y.-J.; Chen, H.-M.; Chen, J.; Goh, C.S.; et al. Avalanche Photodiodes with Dual Multiplication Layers and Ultra-High Responsivity-Bandwidth Products for FMCW Lidar System Applications. IEEE J. Sel. Top. Quantum Electron. 2022, 28, 1–9. [Google Scholar] [CrossRef]
- Tseng, C.-K.; Chen, K.-H.; Chen, W.-T.; Lee, M.-C.M.; Na, N. A High-Speed and Low-Breakdown-Voltage Silicon Avalanche Photodetector. IEEE Photonics Technol. Lett. 2014, 26, 591–594. [Google Scholar] [CrossRef]
- Lee, M.-J. First CMOS Silicon Avalanche Photodetectors with Over 10-GHz Bandwidth. IEEE Photonics Technol. Lett. 2016, 28, 276–279. [Google Scholar] [CrossRef]
- Van Sieleghem, E.; Süss, A.; Boulenc, P.; Lee, J.; Karve, G.; De Munck, K.; Cavaco, C.; Van Hoof, C. A Near-Infrared Enhanced Silicon Single-Photon Avalanche Diode With a Spherically Uniform Electric Field Peak. IEEE Electron Device Lett. 2021, 42, 879–882. [Google Scholar] [CrossRef]
- Dolatpoor Lakeh, M.; Kammerer, J.-B.; Aguenounon, E.; Issartel, D.; Schell, J.-B.; Rink, S.; Cathelin, A.; Calmon, F.; Uhring, W. An Ultrafast Active Quenching Active Reset Circuit with 50% SPAD Afterpulsing Reduction in a 28 Nm FD-SOI CMOS Technology Using Body Biasing Technique. Sensors 2021, 21, 4014. [Google Scholar] [CrossRef]
- Aull, B.F.; Schuette, D.R.; Young, D.J.; Craig, D.M.; Felton, B.J.; Warner, K. A Study of Crosstalk in a $256 \times 256$ Photon Counting Imager Based on Silicon Geiger-Mode Avalanche Photodiodes. IEEE Sens. J. 2015, 15, 2123–2132. [Google Scholar] [CrossRef]
- Wêgrzecka, I.; Wêgrzecki, M.; Grynglas, M.; Bar, J.; Uszyñski, A.; Grodecki, R.; Grabiec, P.; Krzemiñski, S.; Budzyñski, T. Design and Properties of Silicon Avalanche Photodiodes. Opto-Electron. Rev. 2004, 12, 95–104. [Google Scholar] [CrossRef]
- Hayati, M.; Majidifar, S.; Sobhani, S.N. Using a Hybrid Encoding Method Based on the Hexagonal Resonators to Increase the Coding Capacity of Chipless RFID Tags. Int. J. RF Microw. Comput.-Aided Eng. 2022, 32, e23474. [Google Scholar] [CrossRef]
- Majidifar, S.; Karimi, G. New Approach for Dielectric Constant Detection Using a Microstrip Sensor. Measurement 2016, 93, 310–314. [Google Scholar] [CrossRef]
- Pronko, P.P.; VanRompay, P.A.; Horvath, C.; Loesel, F.; Juhasz, T.; Liu, X.; Mourou, G. Avalanche Ionization and Dielectric Breakdown in Silicon with Ultrafast Laser Pulses. Phys. Rev. B 1998, 58, 2387. [Google Scholar] [CrossRef]
- Ishikawa, Y.; Wada, K. Near-Infrared Ge Photodiodes for Si Photonics: Operation Frequency and an Approach for the Future. IEEE Photonics J. 2010, 2, 306–320. [Google Scholar] [CrossRef]
- Zaimia, R.; Kaddour, S.; Mastour, N.; Baachaoui, S.; Jemai, M.; Ridene, S.; Raouafi, N. Effect of Ni-Concentration on the Linear and Nonlinear Optical Properties of MoS 2 Nanostructures. Int. J. Mod. Phys. B 2023, 2450328. [Google Scholar] [CrossRef]
- Sul, W.S.; Oh, J.H.; Lee, C.H.; Cho, G.S.; Lee, W.G.; Kim, S.D.; Rhee, J.K. Guard-Ring Structures for Silicon Photomultipliers. IEEE Electron Device Lett. 2010, 31, 41–43. [Google Scholar] [CrossRef]
- Lee, M.-J.; Rucker, H.; Choi, W.-Y. Effects of Guard-Ring Structures on the Performance of Silicon Avalanche Photodetectors Fabricated with Standard CMOS Technology. IEEE Electron Device Lett. 2012, 33, 80–82. [Google Scholar] [CrossRef]
- Aruev, P.N.; Ber, B.Y.; Gorokhov, A.N.; Zabrodskii, V.V.; Kazantsev, D.Y.; Nikolaev, A.V.; Filimonov, V.V.; Shvarts, M.Z.; Sherstnev, E.V. Characteristics of a Silicon Avalanche Photodiode for the Near-IR Spectral Range. Tech. Phys. Lett. 2019, 45, 780–782. [Google Scholar] [CrossRef]
- Liu, D.; Li, T.; Tang, B.; Zhang, P.; Wang, W.; Liu, M.; Li, Z. A Near-Infrared CMOS Silicon Avalanche Photodetector with Ultra-Low Temperature Coefficient of Breakdown Voltage. Micromachines 2022, 13, 47. [Google Scholar] [CrossRef]
- Rawat, A.; Ahamed, A.; Bartolo-Perez, C.; Mayet, A.S.; McPhillips, L.N.; Islam, M.S. Design and Fabrication of High-Efficiency, Low-Power, and Low-Leakage Si-Avalanche Photodiodes for Low-Light Sensing. ACS Photonics 2023, 10, 1416–1423. [Google Scholar] [CrossRef]
- Jiang, N.; Zhang, S.; Jiang, Y. A Novel Photodiode Array Structure with Double-Layer SiO2 Isolation. Semicond. Sci. Technol. 2023, 38, 085005. [Google Scholar] [CrossRef]
- Bartolo-Perez, C.; Chandiparsi, S.; Mayet, A.S.; Cansizoglu, H.; Gao, Y.; Qarony, W.; AhAmed, A.; Wang, S.-Y.; Cherry, S.R.; Saif Islam, M.; et al. Avalanche Photodetectors with Photon Trapping Structures for Biomedical Imaging Applications. Opt. Express 2021, 29, 19024. [Google Scholar] [CrossRef]
- Frey, L.; Marty, M.; André, S.; Moussy, N. Enhancing Near-Infrared Photodetection Efficiency in SPAD With Silicon Surface Nanostructuration. IEEE J. Electron Devices Soc. 2018, 6, 392–395. [Google Scholar] [CrossRef]
- Zang, K.; Jiang, X.; Huo, Y.; Ding, X.; Morea, M.; Chen, X.; Lu, C.-Y.; Ma, J.; Zhou, M.; Xia, Z.; et al. Silicon Single-Photon Avalanche Diodes with Nano-Structured Light Trapping. Nat. Commun. 2017, 8, 628. [Google Scholar] [CrossRef] [PubMed]
- Gao, Y.; Cansizoglu, H.; Ghandiparsi, S.; Bartolo-Perez, C.; Devine, E.P.; Yamada, T.; Elrefaie, A.F.; Wang, S.; Islam, M.S. High Speed Surface Illuminated Si Photodiode Using Microstructured Holes for Absorption Enhancements at 900–1000 Nm Wavelength. ACS Photonics 2017, 4, 2053–2060. [Google Scholar] [CrossRef]
- Cansizoglu, H.; Bartolo-Perez, C.; Gao, Y.; Devine, E.P.; Ghandiparsi, S.; Polat, K.G.; Mamtaz, H.H.; Yamada, T.; Elrefaie, A.F.; Wang, S.-Y.; et al. Surface-Illuminated Photon-Trapping High-Speed Ge-on-Si Photodiodes with Improved Efficiency up to 1700 Nm. Photonics Res. 2018, 6, 734–742. [Google Scholar] [CrossRef]
- Gao, Y.; Cansizoglu, H.; Polat, K.G.; Ghandiparsi, S.; Kaya, A.; Mamtaz, H.H.; Mayet, A.S.; Wang, Y.; Zhang, X.; Yamada, T.; et al. Photon-Trapping Microstructures Enable High-Speed High-Efficiency Silicon Photodiodes. Nat. Photonics 2017, 11, 301–308. [Google Scholar] [CrossRef]
- Wang, T.; Cao, P.; Peng, H.; Xu, C.; Song, H.; Zheng, W. High-Uniformity 2 x 64 Silicon Avalanche Photodiode Arrays with Silicon Multiple Epitaxy Technology. Chin. Opt. Lett. 2023, 21, 032501. [Google Scholar] [CrossRef]
- Lee, M.-J.; Choi, W.-Y. A Silicon Avalanche Photodetector Fabricated with Standard CMOS Technology with over 1 THz Gain-Bandwidth Product. Opt. Express 2010, 18, 24189. [Google Scholar] [CrossRef]
- ET-2020SiPhotodetector. Available online: https://www.rayscience.com/product-14622.html (accessed on 2 January 2024).







Disclaimer/Publisher’s Note: The statements, opinions and data contained in all publications are solely those of the individual author(s) and contributor(s) and not of MDPI and/or the editor(s). MDPI and/or the editor(s) disclaim responsibility for any injury to people or property resulting from any ideas, methods, instructions or products referred to in the content. |
© 2024 by the authors. Licensee MDPI, Basel, Switzerland. This article is an open access article distributed under the terms and conditions of the Creative Commons Attribution (CC BY) license (https://creativecommons.org/licenses/by/4.0/).
Share and Cite
Wang, T.; Peng, H.; Cao, P.; Zhuang, Q.; Deng, J.; Chen, J.; Zheng, W. Low-Energy Ion Implantation and Deep-Mesa Si-Avalanche Photodiodes with Improved Fabrication Process. Sensors 2024, 24, 640. https://doi.org/10.3390/s24020640
Wang T, Peng H, Cao P, Zhuang Q, Deng J, Chen J, Zheng W. Low-Energy Ion Implantation and Deep-Mesa Si-Avalanche Photodiodes with Improved Fabrication Process. Sensors. 2024; 24(2):640. https://doi.org/10.3390/s24020640
Chicago/Turabian StyleWang, Tiancai, Hongling Peng, Peng Cao, Qiandong Zhuang, Jie Deng, Jian Chen, and Wanhua Zheng. 2024. "Low-Energy Ion Implantation and Deep-Mesa Si-Avalanche Photodiodes with Improved Fabrication Process" Sensors 24, no. 2: 640. https://doi.org/10.3390/s24020640
APA StyleWang, T., Peng, H., Cao, P., Zhuang, Q., Deng, J., Chen, J., & Zheng, W. (2024). Low-Energy Ion Implantation and Deep-Mesa Si-Avalanche Photodiodes with Improved Fabrication Process. Sensors, 24(2), 640. https://doi.org/10.3390/s24020640

