How Effective Are Forecasting Models in Predicting Effects of Exoskeletons on Fatigue Progression?
Abstract
1. Introduction
2. Materials and Methods
2.1. Study Participants
2.2. Experimental Apparatus and Equipment
2.3. Experimental Design and Procedure
2.4. Signal Processing and Dataset Generation
2.5. Forecasting Models
2.5.1. Univariate ARIMA Model
- Autoregressive (AR) portion: Uses the dependency between an observation and lagged observations. For example, AR (1) means the current value depends on the previous value.
- Integrated (I) portion: Involves differentiating the data to make it stationary, meaning the mean and variance are constant over time. Differencing is subtracting the previous observation from the current observation.
- Moving Average (MA) portion: Models the error term as a linear combination of past error terms. For example, MA (1) means the current error term depends on the previous error term.
2.5.2. Univariate Prophet Model
- Trend: Captures long-term increase or decrease in the data.
- Seasonality: Captures periodic changes (daily, weekly, yearly).
- Holidays: Captures effects of holidays and special events.
2.5.3. Univariate ARIMA Model with External Features
2.5.4. Univariate Prophet Model with External Features
2.6. Model Development Procedure
2.7. Forecast Performance and Comparative Assessments
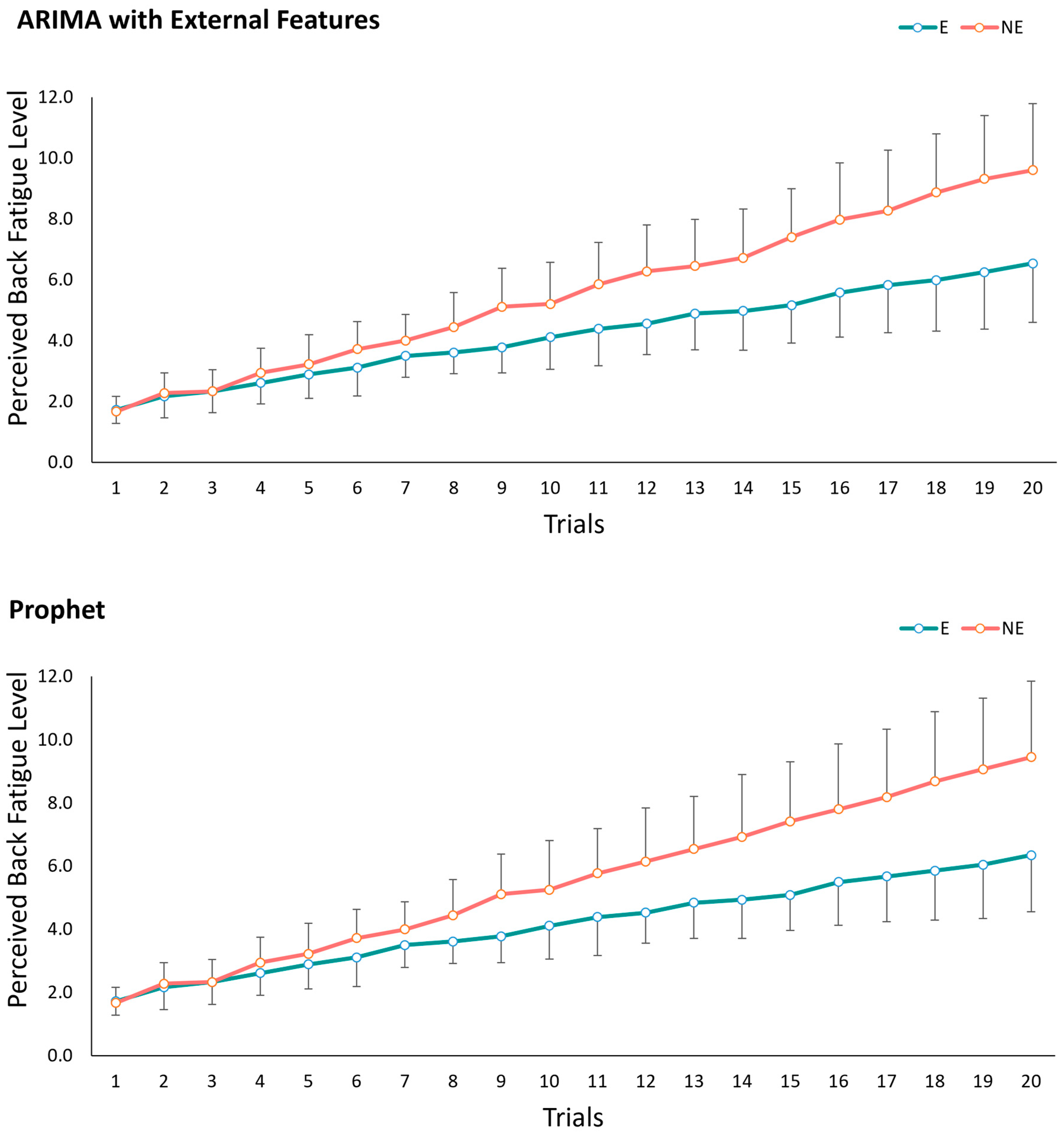
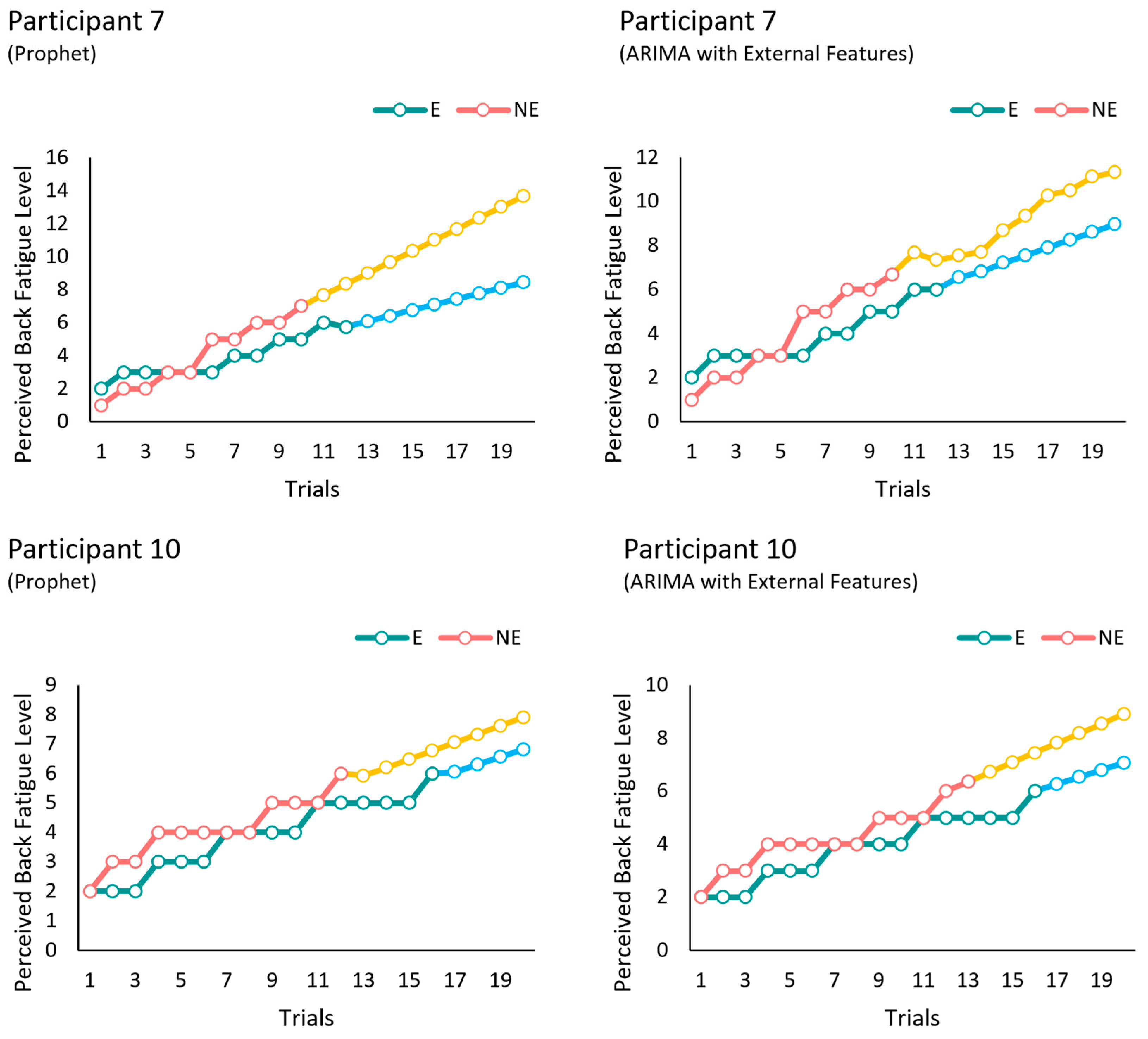
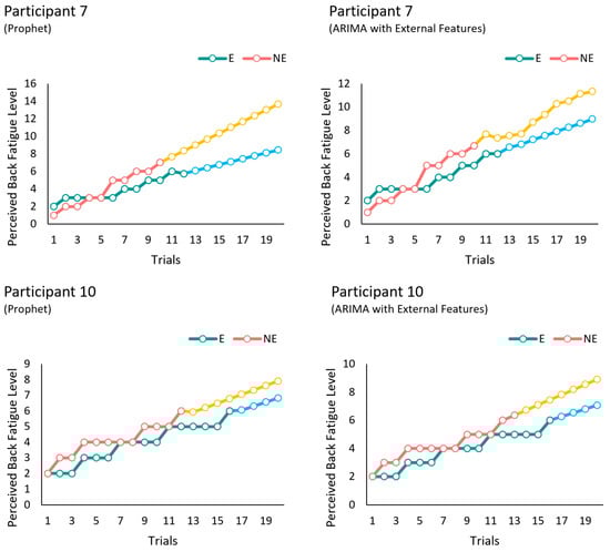
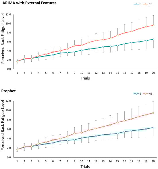
3. Results
3.1. Performance Evaluation of Forecasting Models
3.2. Comparison of Exoskeleton Effects with Forecasted Fatigue Levels
4. Discussion
5. Conclusions
Author Contributions
Funding
Institutional Review Board Statement
Informed Consent Statement
Data Availability Statement
Conflicts of Interest
References
- Antwi-Afari, M.F.; Li, H.; Chan, A.H.S.; Seo, J.O.; Anwer, S.; Mi, H.Y.; Wu, Z.; Wong, A.Y.L. A Science Mapping-Based Review of Work-Related Musculoskeletal Disorders among Construction Workers. J. Saf. Res. 2023, 85, 114–128. [Google Scholar] [CrossRef] [PubMed]
- Hallbeck, M.S.; Bosch, T.; Van Rhijn, G.; Krause, F.; De Looze, M.P.; Vink, P. A Tool for Early Workstation Design for Small and Medium Enterprises Evaluated in Five Cases. Hum. Factors Ergon. Manuf. Serv. Ind. 2010, 20, 300–315. [Google Scholar] [CrossRef]
- Le, P.; Marras, W.S. Evaluating the Low Back Biomechanics of Three Different Office Workstations: Seated, Standing, and Perching. Appl. Ergon. 2016, 56, 170–178. [Google Scholar] [CrossRef]
- Abdoli-Eramaki, M.; Agababova, M.; Janabi, J.; Pasko, E.; Damecour, C. Evaluation and Comparison of Lift Styles for an Ideal Lift among Individuals with Different Levels of Training. Appl. Ergon. 2019, 78, 120–126. [Google Scholar] [CrossRef] [PubMed]
- Noble, N.L.; Sweeney, N.L. Barriers to the Use of Assistive Devices in Patient Handling. Work. Health Saf. 2018, 66, 41–48. [Google Scholar] [CrossRef] [PubMed]
- Hefferle, M.; Snell, M.; Kluth, K. Influence of Two Industrial Overhead Exoskeletons on Perceived Strain—A Field Study in the Automotive Industry; Springer International Publishing: Berlin/Heidelberg, Germany, 2021; Volume 1210, ISBN 9783030517571. [Google Scholar]
- Samani, A.; Pontonnier, C.; Dumont, G.; Madeleine, P. Shoulder Kinematics and Spatial Pattern of Trapezius Electromyographic Activity in Real and Virtual Environments. PLoS ONE 2015, 10, e0116211. [Google Scholar] [CrossRef]
- Iranzo, S.; Piedrabuena, A.; Iordanov, D.; Martinez-Iranzo, U.; Belda-Lois, J.M. Ergonomics Assessment of Passive Upper-Limb Exoskeletons in an Automotive Assembly Plant. Appl. Ergon. 2020, 87, 103120. [Google Scholar] [CrossRef]
- Baltrusch, S.J.; van Dieën, J.H.; Bruijn, S.M.; Koopman, A.S.; van Bennekom, C.A.M.; Houdijk, H. The Effect of a Passive Trunk Exoskeleton on Metabolic Costs during Lifting and Walking. Ergonomics 2019, 62, 903–916. [Google Scholar] [CrossRef]
- Kim, S.; Madinei, S.; Alemi, M.M.; Srinivasan, D.; Nussbaum, M.A. Assessing the Potential for “Undesired” Effects of Passive Back-Support Exoskeleton Use during a Simulated Manual Assembly Task: Muscle Activity, Posture, Balance, Discomfort, and Usability. Appl. Ergon. 2020, 89, 103194. [Google Scholar] [CrossRef]
- Faber, G.S.; Chang, C.C.; Kingma, I.; Dennerlein, J.T.; van Dieën, J.H. Estimating 3D L5/S1 Moments and Ground Reaction Forces during Trunk Bending Using a Full-Body Ambulatory Inertial Motion Capture System. J. Biomech. 2016, 49, 904–912. [Google Scholar] [CrossRef]
- Nartey, D.; Karthikeyan, R.; Chaspari, T.; Mehta, R. Exploring Cognitive Fatigue: Machine Learning, Forecasting, Generalization, Personalization, Inference and Labels. Proc. Hum. Factors Ergon. Soc. 2023, 67, 978–979. [Google Scholar] [CrossRef]
- Antwi-Afari, M.F.; Anwer, S.; Umer, W.; Mi, H.Y.; Yu, Y.; Moon, S.; Hossain, M.U. Machine Learning-Based Identification and Classification of Physical Fatigue Levels: A Novel Method Based on a Wearable Insole Device. Int. J. Ind. Ergon. 2023, 93, 103404. [Google Scholar] [CrossRef]
- Cutsem, J.; Marcora, S.; Pauw, K.; Bailey, S.; Meeusen, R.; Roelands, B. The Effects of Mental Fatigue on Physical Performance: A Systematic Review. Sports Med. 2017, 47, 1569–1588. [Google Scholar] [CrossRef] [PubMed]
- Rosenthal, T.C.; Majeroni, B.A.; Pretorius, R.; Malik, K. Fatigue: An Overview. Am. Fam. Physician 2008, 78, 1173–1179. [Google Scholar] [PubMed]
- Hoffmann, N.; Prokop, G.; Weidner, R. Methodologies for Evaluating Exoskeletons with Industrial Applications. Ergonomics 2021, 65, 276–295. [Google Scholar] [CrossRef] [PubMed]
- Wang, Z.; Wu, X.; Zhang, Y.; Chen, C.; Liu, S.; Liu, Y.; Peng, A.; Ma, Y. A Semi-Active Exoskeleton Based on EMGs Reduces Muscle Fatigue When Squatting. Front. Neurorobot. 2021, 15, 625479. [Google Scholar] [CrossRef]
- Zelik, K.E.; Nurse, C.A.; Schall, M.C.; Sesek, R.F.; Marino, M.C.; Gallagher, S. An Ergonomic Assessment Tool for Evaluating the Effect of Back Exoskeletons on Injury Risk. Appl. Ergon. 2022, 99, 103619. [Google Scholar] [CrossRef]
- Butler, T.; Gillette, J. Exoskeletons: Used as PPE for Injury Prevention. Prof. Saf. 2019, 64, 32–37. [Google Scholar]
- Poon, N.; van Engelhoven, L.; Kazerooni, H.; Harris, C. Evaluation of a Trunk Supporting Exoskeleton for Reducing Muscle Fatigue. Proc. Hum. Factors Ergon. Soc. Annu. Meet. 2019, 63, 980–983. [Google Scholar] [CrossRef]
- Graham, R.B.; Agnew, M.J.; Stevenson, J.M. Effectiveness of an On-Body Lifting Aid at Reducing Low Back Physical Demands during an Automotive Assembly Task: Assessment of EMG Response and User Acceptability. Appl. Ergon. 2009, 40, 936–942. [Google Scholar] [CrossRef]
- de Looze, M.P.; Bosch, T.; Krause, F.; Stadler, K.S.; O’Sullivan, L.W. Exoskeletons for Industrial Application and Their Potential Effects on Physical Work Load. Ergonomics 2016, 59, 671–681. [Google Scholar] [CrossRef] [PubMed]
- Yin, P.; Yang, L.; Wang, C.; Qu, S. Effects of Wearable Power Assist Device on Low Back Fatigue during Repetitive Lifting Tasks. Clin. Biomech. 2019, 70, 59–65. [Google Scholar] [CrossRef] [PubMed]
- De Vries, A.; De Looze, M. The Effect of Arm Support Exoskeletons in Realistic Work Activities: A Review Study. J. Ergon. 2019, 9, 255. [Google Scholar]
- Schmalz, T.; Bornmann, J.; Schirrmeister, B.; Schändlinger, J.; Schuler, M.; Schmalz, T.; Bornmann, J.; Schirrmeister, B.; Schändlinger, J.; Schuler, M. Principle Study about the Effect of an Industrial Exoskeleton on Overhead Work Exoskeleton. Verl. Orthopädie-Tech. Dortm. Ger. Tech. Rep. Orthop. Tech. 2019, 6, 10–3390. [Google Scholar]
- De Bock, S.; Ampe, T.; Rossini, M.; Tassignon, B.; Lefeber, D.; Rodriguez-guerrero, C.; Roelands, B.; Geeroms, J.; Meeusen, R.; Pauw, K. De Passive Shoulder Exoskeleton Support Partially Mitigates Fatigue-Induced Effects in Overhead Work. Appl. Ergon. 2023, 106, 103903. [Google Scholar] [CrossRef]
- Thamsuwan, O.; Milosavljevic, S.; Srinivasan, D.; Trask, C. Potential Exoskeleton Uses for Reducing Low Back Muscular Activity during Farm Tasks. Am. J. Ind. Med. 2020, 63, 1017–1028. [Google Scholar] [CrossRef]
- Kang, S.H.; Mirka, G.A. Effect of Trunk Flexion Angle and Time on Lumbar and Abdominal Muscle Activity While Wearing a Passive Back-Support Exosuit Device during Simple Posture-Maintenance Tasks. Ergonomics 2023, 66, 2182–2192. [Google Scholar] [CrossRef]
- Kazerooni, H.; Tung, W.; Pillai, M. Evaluation of Trunk-Supporting Exoskeleton. Proc. Hum. Factors Ergon. Soc. Annu. Meet. 2019, 63, 1080–1083. [Google Scholar] [CrossRef]
- Bosch, T.; van Eck, J.; Knitel, K.; de Looze, M. The Effects of a Passive Exoskeleton on Muscle Activity, Discomfort and Endurance Time in Forward Bending Work. Appl. Ergon. 2016, 54, 212–217. [Google Scholar] [CrossRef]
- Kermavnar, T.; de Vries, A.W.; de Looze, M.P.; O’Sullivan, L.W. Effects of Industrial Back-Support Exoskeletons on Body Loading and User Experience: An Updated Systematic Review. Ergonomics 2021, 64, 685–711. [Google Scholar] [CrossRef]
- Poliero, T.; Sposito, M.; Toxiri, S.; Di Natali, C.; Iurato, M.; Sanguineti, V.; Caldwell, D.G.; Ortiz, J. Versatile and Non-Versatile Occupational Back-Support Exoskeletons: A Comparison in Laboratory and Field Studies. Wearable Technol. 2021, 2, e12. [Google Scholar] [CrossRef] [PubMed]
- Alemi, M.M.; Madinei, S.; Kim, S.; Srinivasan, D.; Nussbaum, M.A. Effects of Two Passive Back-Support Exoskeletons on Muscle Activity, Energy Expenditure, and Subjective Assessments during Repetitive Lifting. Hum. Factors 2020, 62, 458–474. [Google Scholar] [CrossRef] [PubMed]
- Schmalz, T.; Colienne, A.; Bywater, E.; Fritzsche, L.; Gärtner, C.; Bellmann, M.; Reimer, S.; Ernst, M. A Passive Back-Support Exoskeleton for Manual Materials Handling: Reduction of Low Back Loading and Metabolic Effort during Repetitive Lifting. IISE Trans. Occup. Ergon. Hum. Factors 2022, 10, 7–20. [Google Scholar] [CrossRef] [PubMed]
- Koopman, A.S.; Toxiri, S.; Power, V.; Kingma, I.; van Dieën, J.H.; Ortiz, J.; de Looze, M.P. The Effect of Control Strategies for an Active Back-Support Exoskeleton on Spine Loading and Kinematics during Lifting. J. Biomech. 2019, 91, 14–22. [Google Scholar] [CrossRef] [PubMed]
- Abdoli-E, M.; Stevenson, J.M. The Effect of On-Body Lift Assistive Device on the Lumbar 3D Dynamic Moments and EMG during Asymmetric Freestyle Lifting. Clin. Biomech. 2008, 23, 372–380. [Google Scholar] [CrossRef]
- Kuber, P.M.; Abdollahi, M.; Alemi, M.M.; Rashedi, E. A Systematic Review on Evaluation Strategies for Field Assessment of Upper-Body Industrial Exoskeletons: Current Practices and Future Trends. Ann. Biomed. Eng. 2022, 50, 1203–1231. [Google Scholar] [CrossRef]
- Kuber, P.M.; Kulkarni, A.R.; Rashedi, E. Machine Learning-Based Fatigue Level Prediction for Exoskeleton-Assisted Trunk Flexion Tasks Using Wearable Sensors. Appl. Sci. 2024, 14, 4563. [Google Scholar] [CrossRef]
- Kuber, P.M.; Kulkarni, A.R.; Rashedi, E. Predicting Perceived Back Fatigue during Exoskeleton Supported Trunk Bending Tasks Using Machine Learning. In Proceedings of the Human Factors and Ergonomics Society Annual Meeting; Sage: Los Angeles, CA, USA, 2024. [Google Scholar] [CrossRef]
- Geovanni, H.J. Using Deep Learning for Motion Analysis of 3D Motion Capture Data for Forecasting Motion and Fatigue; Texas State University: San Marcos, TX, USA, 2021; Volume 3. [Google Scholar]
- Liu, C.; Vehí, J.; Avari, P.; Reddy, M.; Oliver, N.; Georgiou, P.; Herrero, P. Long-Term Glucose Forecasting Using a Physiological Model and Deconvolution of the Continuous Glucose Monitoring Signal. Sensors 2019, 19, 4338. [Google Scholar] [CrossRef]
- Jiang, Y.; Malliaras, P.; Chen, B.; Kulić, D. Real-Time Forecasting of Exercise-Induced Fatigue from Wearable Sensors. Comput. Biol. Med. 2022, 148, 105905. [Google Scholar] [CrossRef]
- Moniri, A.; Terracina, D.; Rodriguez-Manzano, J.; Strutton, P.H.; Georgiou, P. Real-Time Forecasting of SEMG Features for Trunk Muscle Fatigue Using Machine Learning. IEEE Trans. Biomed. Eng. 2021, 68, 718–727. [Google Scholar] [CrossRef]
- Hajifar, S.; Sun, H.; Megahed, F.M.; Jones-Farmer, L.A.; Rashedi, E.; Cavuoto, L.A. A Forecasting Framework for Predicting Perceived Fatigue: Using Time Series Methods to Forecast Ratings of Perceived Exertion with Features from Wearable Sensors. Appl. Ergon. 2021, 90, 103262. [Google Scholar] [CrossRef] [PubMed]
- Masum, S.K. Forecasting from Physiological Time Series through Supervised Learning; University of Portsmouth: Portsmouth, UK, 2019. [Google Scholar]
- Islam, R.; Desai, K.; Quarles, J. Towards Forecasting the Onset of Cybersickness by Fusing Physiological, Head-Tracking and Eye-Tracking with Multimodal Deep Fusion Network; IEEE: Piscataway, NJ, USA, 2022; pp. 121–130. [Google Scholar] [CrossRef]
- Jaimes, L.G.; Gagneja, K.; Akbaş, M.I.; Vergara-Laurens, I.J. Future Stress, Forecasting Physiological Signals. In Proceedings of the 2017 IEEE 7th Annual Computing and Communication Workshop and Conference (CCWC), Las Vegas, NV, USA, 9–11 January 2017. [Google Scholar] [CrossRef]
- Masum, S.; Chiverton, J.P.; Liu, Y.; Vuksanovic, B. Investigation of Machine Learning Techniques in Forecasting of Blood Pressure Time Series Data. Lect. Notes Comput. Sci. 2019, 11927I, 269–282. [Google Scholar] [CrossRef]
- Umematsu, T.; Sano, A.; Taylor, S.; Picard, R.W. Improving Students’ Daily Life Stress Forecasting Using Lstm Neural Networks. In Proceedings of the 2019 IEEE EMBS International Conference on Biomedical & Health Informatics (BHI), Chicago, IL, USA, 19–22 May 2019. [Google Scholar] [CrossRef]
- Shi, X.; Xu, S.; Qin, P.; He, G.; Leng, Z. Prediction Method of Lower Limb Muscle Fatigue Based on Combining Random Forest and Gated Recurrent Unit Neural Network. In Proceedings of the 2021 IEEE International Conference on Real-Time Computing and Robotics (RCAR), Xining, China, 15–19 July 2021; pp. 1016–1022. [Google Scholar] [CrossRef]
- Bala, S.; Vishnu, V.Y.; Joshi, D. MEFFNet: Forecasting Myoelectric Indices of Muscle Fatigue in Healthy and Post-Stroke During Voluntary and FES-Induced Dynamic Contractions. IEEE Trans. Neural Syst. Rehabil. Eng. 2024, 32, 2598–2611. [Google Scholar] [CrossRef] [PubMed]
- Poliero, T.; Fanti, V.; Sposito, M.; Caldwell, D.G.; Natali, C. Di Active and Passive Back-Support Exoskeletons: A Comparison in Static and Dynamic Tasks. IEEE Robot. Autom. Lett. 2022, 7, 8463–8470. [Google Scholar] [CrossRef]
- Rashedi, E.; Kim, S.; Nussbaum, M.A.; Agnew, M.J. Ergonomic Evaluation of a Wearable Assistive Device for Overhead Work. Ergonomics 2014, 57, 1864–1874. [Google Scholar] [CrossRef]
- Agyemang, E.F.; Mensah, J.A.; Ocran, E.; Opoku, E.; Nortey, E.N.N. Time Series Based Road Traffic Accidents Forecasting via SARIMA and Facebook Prophet Model with Potential Changepoints. Heliyon 2023, 9, e22544. [Google Scholar] [CrossRef]
- Melard, G.; Pasteels, J.M. Automatic ARIMA Modeling Including Interventions, Using Time Series Expert Software. Int. J. Forecast. 2000, 16, 497–508. [Google Scholar] [CrossRef]
- De Bock, S.; Ghillebert, J.; Govaerts, R.; Tassignon, B.; Rodriguez-Guerrero, C.; Crea, S.; Veneman, J.; Geeroms, J.; Meeusen, R.; De Pauw, K. Benchmarking Occupational Exoskeletons: An Evidence Mapping Systematic Review. Appl. Ergon. 2022, 98, 103582. [Google Scholar] [CrossRef]
- Ivaldi, S.; Maurice, P.; Gomes, W.; Theurel, J.; Wioland, L.; Chenuel, B.; Settembre, N. Using Exoskeletons to Assist Medical Staff during Prone Positioning of Mechanically Ventilated COVID-19 Patients: A Pilot Study. In Advances in Human Factors and Ergonomics in Healthcare and Medical Devices: Proceedings of the AHFE 2021 Virtual Conference on Human Factors and Ergonomics in Healthcare and Medical Devices, July 25–29, 2021, USA; Springer: Berlin/Heidelberg, Germany, 2021. [Google Scholar]






| Demographic Factor | Mean (SD) | Range |
|---|---|---|
| Age in yrs. | 20.8 (2.8) | 18–28 |
| Height in cm | 180 (3.09) | 176–186 |
| Weight in kg | 72.3 (5.7) | 65.68–82.44 |
| Body-Mass Index in kg/m2 | 22.19 (2.2) | 19.42–26.14 |
| No. | Parameter | Description |
|---|---|---|
| 1 | nAmpEMGs3_SUS | Normalized peak amplitude in RES during sustained bending |
| 2 | nAmpEMGs1_R | Normalized peak amplitude in LES during retraction |
| 3 | nAmpEMGs3_R | Normalized peak amplitude in RES during retraction |
| 4 | nAmpEMGs1_SE | Normalized peak amplitude in LES during standing at the end |
| 5 | nMeanEMGs1_SS | Normalized mean amplitude in LES during standing at the start |
| 6 | nMeanEMGs3_SS | Normalized mean amplitude in RES during standing at the start |
| 7 | nMeanEMGs1_B | Normalized mean amplitude in LES during bending |
| 8 | nMeanEMGs1_R | Normalized mean amplitude in LES during retraction |
| 9 | nMeanEMGs1_SE | Normalized mean amplitude in LES during standing at the end |
| 10 | nMeanEMGs3_SE | Normalized mean amplitude in RES during standing at the end |
| 11 | n_MedianFreqs1_R | Normalized median frequency in LES during retraction |
| 12 | n_MedianFreqs3_R | Normalized median frequency in RES during retraction |
| Condition | Model Name | Average | Max | Min | SD |
|---|---|---|---|---|---|
| E | ARIMA | 0.563 | 1.000 | 0.010 | 0.268 |
| ARIMA with External Features | 0.862 | 3.338 | 0.219 | 1.003 | |
| Prophet | 0.615 | 1.079 | 0.337 | 0.241 | |
| Prophet with External Features | 1.537 | 3.538 | 0.564 | 0.905 | |
| All Models | 0.832 | 3.538 | 0.010 | 0.722 | |
| NE | ARIMA | 1.036 | 1.936 | 0.250 | 0.452 |
| ARIMA with External Features | 1.743 | 2.492 | 0.376 | 0.603 | |
| Prophet | 0.671 | 1.133 | 0.250 | 0.288 | |
| Prophet with External Features | 1.450 | 4.274 | 0.487 | 1.233 | |
| All Models | 1.103 | 4.274 | 0.250 | 0.782 |
| Participant Number | Model | Assistance | RMSE |
|---|---|---|---|
| 1 | ARIMA | E | 0.511 |
| NE | 1.936 | ||
| ARIMA with External Features | E | 0.369 | |
| NE | 2.492 | ||
| Prophet | E | 0.399 | |
| NE | 1.133 | ||
| Prophet with External Features | E | 0.914 | |
| NE | 0.559 | ||
| 2 | ARIMA | E | 0.616 |
| NE | 0.988 | ||
| ARIMA with External Features | E | 0.451 | |
| NE | 0.376 | ||
| Prophet | E | 0.626 | |
| NE | 0.523 | ||
| Prophet with External Features | E | 0.564 | |
| NE | 4.274 | ||
| 3 | ARIMA | E | 0.471 |
| NE | 1.000 | ||
| ARIMA with External Features | E | 0.468 | |
| NE | 1.578 | ||
| Prophet | E | 0.915 | |
| NE | 0.559 | ||
| Prophet with External Features | E | 1.929 | |
| NE | 1.863 | ||
| 4 | ARIMA | E | 0.723 |
| NE | 0.250 | ||
| ARIMA with External Features | E | 1.519 | |
| NE | 1.450 | ||
| Prophet | E | 0.337 | |
| NE | 0.250 | ||
| Prophet with External Features | E | 1.181 | |
| NE | 2.136 | ||
| 5 | ARIMA | E | 1.000 |
| NE | 1.224 | ||
| ARIMA with External Features | E | 3.338 | |
| NE | 2.121 | ||
| Prophet | E | 1.079 | |
| NE | 0.954 | ||
| Prophet with External Features | E | 0.983 | |
| NE | 0.487 | ||
| 6 | ARIMA | E | 0.707 |
| NE | 0.866 | ||
| ARIMA with External Features | E | 0.306 | |
| NE | 1.965 | ||
| Prophet | E | 0.446 | |
| NE | 0.817 | ||
| Prophet with External Features | E | 3.538 | |
| NE | 0.585 | ||
| 7 | ARIMA | E | 0.538 |
| NE | 1.323 | ||
| ARIMA with External Features | E | 0.577 | |
| NE | 1.650 | ||
| Prophet | E | 0.560 | |
| NE | 0.330 | ||
| Prophet with External Features | E | 2.176 | |
| NE | 0.912 | ||
| 8 | ARIMA | E | 0.010 |
| NE | 0.866 | ||
| ARIMA with External Features | E | 0.219 | |
| NE | 2.088 | ||
| Prophet | E | 0.568 | |
| NE | 0.656 | ||
| Prophet with External Features | E | 1.081 | |
| NE | 1.645 | ||
| 9 | ARIMA | E | 0.500 |
| NE | 0.866 | ||
| ARIMA with External Features | E | 0.512 | |
| NE | 1.965 | ||
| Prophet | E | 0.607 | |
| NE | 0.817 | ||
| Prophet with External Features | E | 1.466 | |
| NE | 0.585 |
| Participant | ARIMA with External Features (% Benefits) | Prophet (% Benefits) |
|---|---|---|
| 1 | 54.082 | 39.482 |
| 2 | 66.667 | 66.667 |
| 3 | 17.172 | 17.528 |
| 6 | 23.979 | 17.528 |
| 7 | 55.259 | 61.987 |
| 8 | 60.575 | 58.174 |
| 10 | 29.821 | 15.912 |
| 11 | 141.091 | 140.131 |
| 13 | 48.683 | 43.145 |
| Mean | 55.259 | 51.172 |
| SD | 34.394 | 36.557 |
| Median | 54.082 | 43.145 |
Disclaimer/Publisher’s Note: The statements, opinions and data contained in all publications are solely those of the individual author(s) and contributor(s) and not of MDPI and/or the editor(s). MDPI and/or the editor(s) disclaim responsibility for any injury to people or property resulting from any ideas, methods, instructions or products referred to in the content. |
© 2024 by the authors. Licensee MDPI, Basel, Switzerland. This article is an open access article distributed under the terms and conditions of the Creative Commons Attribution (CC BY) license (https://creativecommons.org/licenses/by/4.0/).
Share and Cite
Kuber, P.M.; Kulkarni, A.R.; Rashedi, E. How Effective Are Forecasting Models in Predicting Effects of Exoskeletons on Fatigue Progression? Sensors 2024, 24, 5971. https://doi.org/10.3390/s24185971
Kuber PM, Kulkarni AR, Rashedi E. How Effective Are Forecasting Models in Predicting Effects of Exoskeletons on Fatigue Progression? Sensors. 2024; 24(18):5971. https://doi.org/10.3390/s24185971
Chicago/Turabian StyleKuber, Pranav Madhav, Abhineet Rajendra Kulkarni, and Ehsan Rashedi. 2024. "How Effective Are Forecasting Models in Predicting Effects of Exoskeletons on Fatigue Progression?" Sensors 24, no. 18: 5971. https://doi.org/10.3390/s24185971
APA StyleKuber, P. M., Kulkarni, A. R., & Rashedi, E. (2024). How Effective Are Forecasting Models in Predicting Effects of Exoskeletons on Fatigue Progression? Sensors, 24(18), 5971. https://doi.org/10.3390/s24185971

