A Simultaneous Measurement Sensor for Temperature and Curvature Based on Congruent Quasi-Helical Long-Period Fiber Grating
Abstract
1. Introduction
2. Fabrication and Principle
3. Experimental Results
3.1. Experimental Setup
3.2. Curvature Experiment
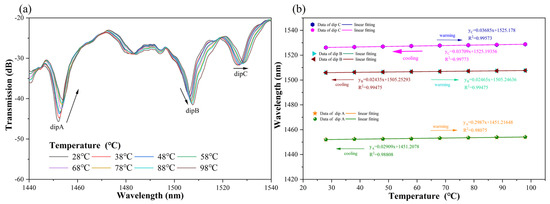
3.3. Temperature Experiment
3.4. Simultaneous Measurement
3.5. Sensor Measurement Error Analysis
4. Conclusions
Author Contributions
Funding
Institutional Review Board Statement
Informed Consent Statement
Data Availability Statement
Conflicts of Interest
References
- Ma, J.; Wu, S.; Cheng, H.; Yang, X.; Wang, S.; Lu, P. Sensitivity-enhanced temperature sensor based on encapsulated S-taper fiber Modal interferometer. Opt. Laser Technol. 2021, 139, 106933. [Google Scholar] [CrossRef]
- Ma, S.; Xu, Y.; Pang, Y.; Zhao, X.; Li, Y.; Qin, Z.; Liu, Z.; Lu, P.; Bao, X. Optical Fiber Sensors for High-Temperature Monitoring: A Review. Sensors 2022, 22, 5722. [Google Scholar] [CrossRef] [PubMed]
- Amanzadeh, M.; Aminossadati, S.M.; Kizil, M.S.; Rakić, A.D. Recent developments in fibre optic shape sensing. Measurement 2018, 128, 119–137. [Google Scholar] [CrossRef]
- Mignani, A.G.; Baldini, F. Biomedical sensors using optical fibres. Rep. Prog. Phys. 1996, 59, 1–28. [Google Scholar] [CrossRef]
- Liu, C.; Jiang, Y.; Du, B.; Wang, T.; Feng, D.; Jiang, B.; Yang, D. Strain-insensitive twist and temperature sensor based on seven-core fiber. Sens. Actuators A Phys. 2019, 290, 172–176. [Google Scholar] [CrossRef]
- Ran, J.; Chen, Y.; Wang, G.; Zhong, Z.; Zhang, J.; Xu, O.; Huang, Q.; Lei, X. Mechanically Induced Long-Period Fiber Gratings and Applications. Photonics 2024, 11, 223. [Google Scholar] [CrossRef]
- Ran, Z.; He, X.; Rao, Y.; Sun, D.; Qin, X.; Zeng, D.; Chu, W.; Li, X.; Wei, Y. Fiber-optic microstructure sensors: A review. Photonic Sens. 2021, 11, 227–261. [Google Scholar] [CrossRef]
- Li, X.; Liang, J.; Li, J.; Ye, J.; Liu, Y.; Chen, M.; Zhang, Z.; Qu, S. Highly sensitive curvature and temperature sensor based on double groove structure and hollow core fiber. IEEE Sens. J. 2022, 22, 9454–9461. [Google Scholar] [CrossRef]
- Sahota, J.K.; Gupta, N.; Dhawan, D. Fiber Bragg grating sensors for monitoring of physical parameters: A comprehensive review. Opt. Eng. 2020, 59, 060901. [Google Scholar] [CrossRef]
- Shao, M.; Liu, B.; Wang, Y.; Liu, Y.; Qiao, X. Optical fiber Fabry-Perot humidity sensor based on BPQDs-PVA sandwiched in SMF. IEEE Photonic Technol. Lett. 2023, 35, 1379–1382. [Google Scholar] [CrossRef]
- Alberto, N.; Domingues, M.F.; Marques, C.; André, P.; Antunes, P. Optical Fiber Magnetic Field Sensors Based on Magnetic Fluid: A Review. Sensors 2018, 18, 4325. [Google Scholar] [CrossRef] [PubMed]
- Cai, H.; Xiao, X.; Dai, Y.; Huang, F.; Sun, Q.; Yan, Z. Refracive Index Sensor Based on a Chip of Etched Thin Cladding Waveguide Bragg Grating. In Proceedings of the 2022 Asia Communications and Photonics Conference (ACP), Southern University of Science and Technology, Shenzhen, China, 5–8 November 2022. [Google Scholar]
- Zhao, Y.; Liu, S.; Luo, J.; Chen, Y.; Fu, C.; Xiong, C.; Wang, S.; Jing, S.; Bai, Z.; Liao, C.; et al. Torsion, refractive index, and temperature sensors based on an improved helical long period fiber grating. J. Lightwave Technol. 2020, 38, 2504–2510. [Google Scholar] [CrossRef]
- Ma, C.; Wang, J.; Yuan, L. Review of Helical Long-Period Fiber Gratings. Photonics 2021, 8, 193. [Google Scholar] [CrossRef]
- Min, R.; Ortega, B.; Marques, C. Latest Achievements in Polymer Optical Fiber Gratings: Fabrication and Applications. Photonics 2019, 6, 36. [Google Scholar] [CrossRef]
- Li, Y.-P.; Chen, L.; Zhang, Y.-X.; Zhang, W.-G.; Wang, S.; Zhang, Y.-S.; Yan, T.-Y.; Hu, W.; Li, X.-Y.; Geng, P.-C. Realizing torsion detection using berry phase in an angle-chirped long-period fiber grating. Opt. Express 2017, 25, 13448–13454. [Google Scholar] [CrossRef]
- Li, X.; Zhang, Y.; Zhang, W.; Yan, T. High-sensitivity temperature-independent force sensor based on PS-LPFG formed by inserting a microbend. J. Opt. 2017, 19, 035801. [Google Scholar] [CrossRef]
- Xue, L.; Timoteo, B.S.M.; Qiu, W.; Wang, Z. Broadband Circular Polarizer Based on Chirped Double-Helix Chiral Fiber Grating. Materials 2022, 15, 3366. [Google Scholar] [CrossRef]
- Shang, R.; Zhang, W.; Zhu, W.; Geng, P.; Ruan, J.; Gao, S.; Li, X.; Cao, Q.; Zeng, X. Fabrication of twisted long period fiber gratings with high frequency CO2 laser pulses and its bend sensing. J. Opt. 2013, 15, 075402. [Google Scholar] [CrossRef]
- Zhong, J.; Liu, S.; Zou, T.; Yan, W.; Chen, P.; Liu, B.; Sun, Z.; Wang, Y. High-Sensitivity Optical Fiber-Based Glucose Sensor Using Helical Intermediate-Period Fiber Grating. Sensors 2022, 22, 6824. [Google Scholar] [CrossRef] [PubMed]
- Barrera, D.; Madrigal, J.; Sales, S. Long period gratings in multicore optical fibers for directional curvature sensor implementation. J. Lightwave Technol. 2018, 36, 1063–1068. [Google Scholar] [CrossRef]
- Yu, Y.; Wang, K.; Zhang, X.; Zhang, Q.; Yang, Y.; Wang, Z.; Wang, Y.; Huang, Y.; Wen, J.; Chen, W.; et al. High-sensitive curvature sensor based on negative curvature hollow core fiber. IEEE Sens J. 2023, 23, 4849–4855. [Google Scholar] [CrossRef]
- Zhao, Y.; Wang, X.; Peng, H.; Ding, M.; Chen, S.; Liu, Y.; He, Z. Multiparameter Measurements for Bending, Torsion and Temperature by Long-Period Gratings in Three-Core Fiber. IEEE Sens. J. 2024, 24, 1471–1478. [Google Scholar] [CrossRef]
- Costa, L.; Gresil, M.; Frazão, O. Simultaneous measurement of physical parameters using FBGs embedded in unidirectional and bidirectional composite materials. Smart Mater. Struct. 2015, 25, 015007. [Google Scholar] [CrossRef]
- Chen, Y.; Ma, M.; Tian, F.; Zeng, Z.; Xiu, Z.; Liu, S.; Yang, X.; Li, L.; Zhang, J.; Liu, C.; et al. Temperature and salinity sensing characteristics of embedded core optical fiber based on surface plasmon resonance. Heliyon 2023, 9, 2405–8440. [Google Scholar] [CrossRef] [PubMed]
- James, S.W.; Tatam, R.P. Optical fibre long-period grating sensors: Characteristics and application. Meas. Sci. Technol. 2003, 14, 49. [Google Scholar] [CrossRef]
- Zhu, C.; Huang, S.; Tang, C.; Yang, G.; Zhao, Y.; Li, H. Miniature Temperature-Independent Curvature Sensor Based on a Phase-Shifted Long-Period Fiber Grating Using Deep Tapering. IEEE Sens. J. 2023, 23, 14174–14181. [Google Scholar] [CrossRef]
- Wang, Y.; Wang, D.; Jin, W.; Rao, Y.; Peng, G. Asymmetric long period fiber gratings fabricated by use of CO2 laser to carve periodic grooves on the optical fiber. Appl. Phys. Lett. 2006, 89, 151105. [Google Scholar] [CrossRef]
- Zhu, T.; Shi, L.; Liu, M.; Huang, W. Sensing and Demodulation of Special Long-Period Fiber Gratings Induced by Scanning CO2 Laser Pulses. J. Sens. 2012, 2012, 539095. [Google Scholar] [CrossRef]
- Ke, H.; Chiang, K.; Peng, J. Analysis of phase-shifted long-period fiber gratings. IEEE Photonic Technol. Lett. 1998, 10, 1596–1598. [Google Scholar] [CrossRef]
- Dong, S.; Dong, B.; Yu, C.; Guo, Y. High sensitivity optical fiber curvature sensor based on cascaded fiber interferometer. J. Lightwave Technol. 2017, 36, 1125–1130. [Google Scholar] [CrossRef]
- Cheng, H.; Wu, S.; Wang, Q.; Wang, S.; Lu, P. In-line hybrid fiber sensor for curvature and temperature measurement. IEEE Photonics J. 2019, 11, 1–11. [Google Scholar] [CrossRef]
- Zhu, X.; Pan, Y.; Sun, A.; Liu, W.; Song, M.; Liu, X.; Cao, J.; Zhang, G.; Yang, Y.; Liang, Z.; et al. High sensitivity Mach–Zehnder interferometer based on peanut-shaped hollow-core fiber. Opt. Commun. 2023, 542, 129566. [Google Scholar] [CrossRef]
- Zhao, Y.; Chen, S.; Guo, Y.; Jiang, Y.; Chen, S.; Mou, C.; Liu, Y.; He, Z. Multiparameter sensor based on long-period grating in few-mode ring-core fiber for vector curvature and torsion measurement. Opt. Laser Technol. 2024, 175, 11089. [Google Scholar] [CrossRef]
- Dong, X.; Xie, Y.; Ou, J.; Wu, C.; Li, J.; Guan, B. Supermode Bragg grating inscribed in a strongly coupled seven-core fiber and its responses to temperature and curvature. Opt. Express 2023, 31, 3258–3268. [Google Scholar] [CrossRef] [PubMed]
- Madrigal, J.; Barrera, D.; Hervás, J.; Chen, H.; Sales, S. Directional curvature sensor based on long period gratings in multicore optical fiber. In Proceedings of the 2017 25th Optical Fiber Sensors Conference (OFS), Jeju, Republic of Korea, 24–28 April 2017. [Google Scholar]










| Sensor Structure | Curvature Sensitivity | Range | Temperature Sensitivity | Ref. |
|---|---|---|---|---|
| MIs-CFIs | 4.36 nm/m−1 | 0–1.134 m−1 | 71 pm/°C | [31] |
| ARROW-MZI | −4.28 dB/m−1 | 10.72–11.60 m−1 | 25.75 pm/°C | [32] |
| PSS-MZI | −0.68 nm/m−1 | 0.261–3.807 m−1 | 25.42 pm/°C | [33] |
| RCF-LPFG | 0.879 dB/m−1 | 5–9.466 m−1 | 1.4 dB/°C | [34] |
| SCF-FBG | −3.91 nm/m−1 | 0.18–0.50 m−1 | 11.8 pm/°C | [35] |
| SCF-LPFG | −4.85 dB/m−1 | 0–1.77 m−1 | / | [36] |
| THIS WORK | 11.88 nm/m−1 | 0.156–0.494 m−1 | 36.85 pm/°C | / |
Disclaimer/Publisher’s Note: The statements, opinions and data contained in all publications are solely those of the individual author(s) and contributor(s) and not of MDPI and/or the editor(s). MDPI and/or the editor(s) disclaim responsibility for any injury to people or property resulting from any ideas, methods, instructions or products referred to in the content. |
© 2024 by the authors. Licensee MDPI, Basel, Switzerland. This article is an open access article distributed under the terms and conditions of the Creative Commons Attribution (CC BY) license (https://creativecommons.org/licenses/by/4.0/).
Share and Cite
Sun, H.; Gong, Z.; Qin, X.; Shen, W.; Ma, H.; Pan, Q.; Tong, C.; Yuan, C. A Simultaneous Measurement Sensor for Temperature and Curvature Based on Congruent Quasi-Helical Long-Period Fiber Grating. Sensors 2024, 24, 5621. https://doi.org/10.3390/s24175621
Sun H, Gong Z, Qin X, Shen W, Ma H, Pan Q, Tong C, Yuan C. A Simultaneous Measurement Sensor for Temperature and Curvature Based on Congruent Quasi-Helical Long-Period Fiber Grating. Sensors. 2024; 24(17):5621. https://doi.org/10.3390/s24175621
Chicago/Turabian StyleSun, Haoen, Zaiqiang Gong, Xiangjie Qin, Wenhao Shen, Haiqin Ma, Qiuhong Pan, Chengguo Tong, and Cheng Yuan. 2024. "A Simultaneous Measurement Sensor for Temperature and Curvature Based on Congruent Quasi-Helical Long-Period Fiber Grating" Sensors 24, no. 17: 5621. https://doi.org/10.3390/s24175621
APA StyleSun, H., Gong, Z., Qin, X., Shen, W., Ma, H., Pan, Q., Tong, C., & Yuan, C. (2024). A Simultaneous Measurement Sensor for Temperature and Curvature Based on Congruent Quasi-Helical Long-Period Fiber Grating. Sensors, 24(17), 5621. https://doi.org/10.3390/s24175621

