Daily-Life Walking Speed, Quality and Quantity Derived from a Wrist Motion Sensor: Large-Scale Normative Data for Middle-Aged and Older Adults
Abstract
1. Introduction
2. Materials and Methods
2.1. Development of the Watch Walk Digital Biomarkers
2.2. Derivation of Normative Values for the Watch Walk Digital Biomarkers from the UK Biobank Dataset
2.3. Reliability and External Validity of the Watch Walk Digital Biomarkers
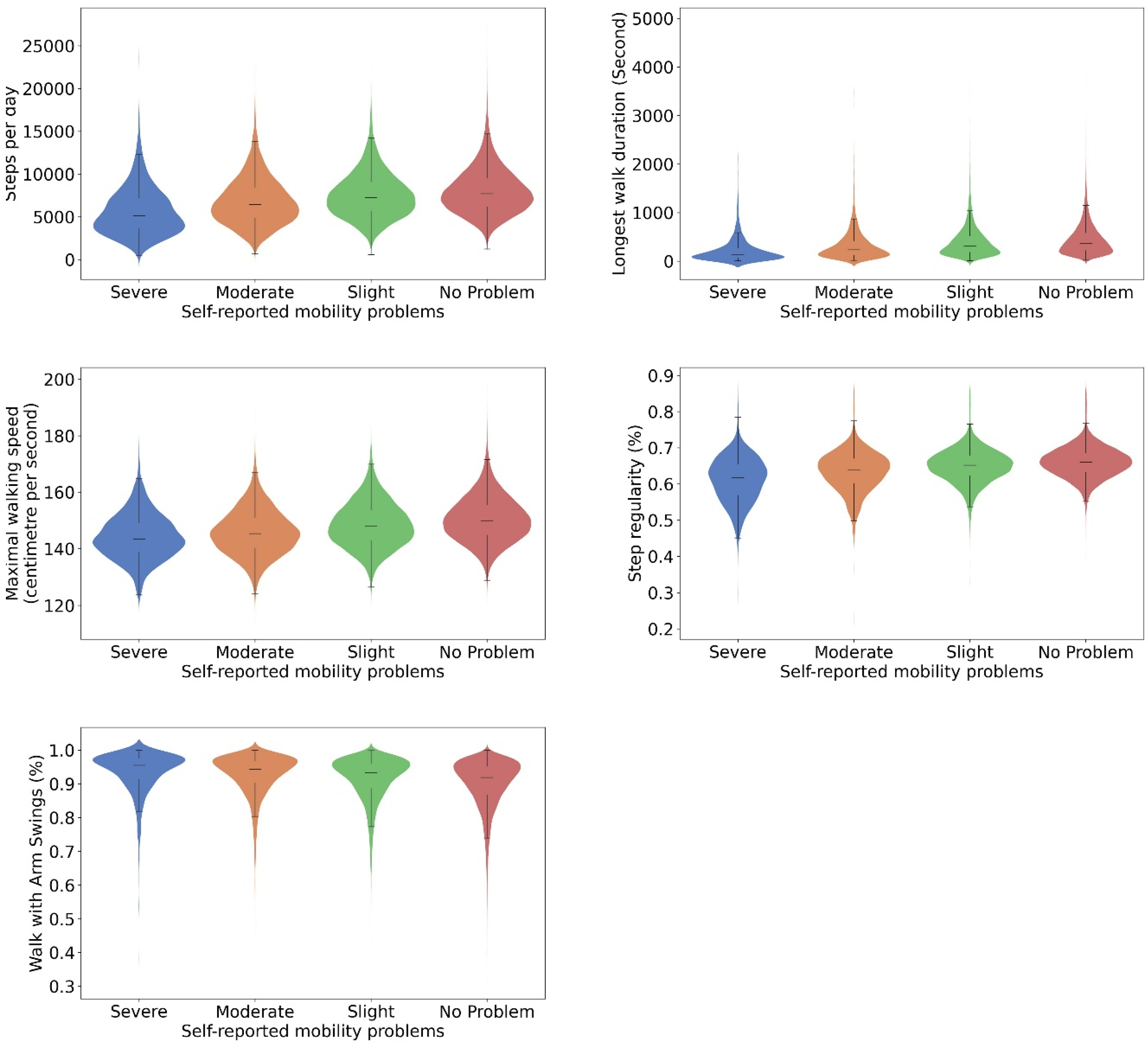
3. Results
3.1. Participant Characteristics
3.2. Normative Values
3.3. Sex and Age Group Differences
3.4. Reliability and External Validity of the Watch Walk Digital Biomarkers
4. Discussion
5. Conclusions
Supplementary Materials
Author Contributions
Funding
Institutional Review Board Statement
Informed Consent Statement
Data Availability Statement
Acknowledgments
Conflicts of Interest
References
- Brodie, M.A.; Coppens, M.J.; Ejupi, A.; Gschwind, Y.J.; Annegarn, J.; Schoene, D.; Wieching, R.; Lord, S.R.; Delbaere, K. Comparison between clinical gait and daily-life gait assessments of fall risk in older people. Geriatr. Gerontol. Int. 2017, 17, 2274–2282. [Google Scholar] [CrossRef] [PubMed]
- Punt, M.; Bruijn, S.M.; Wittink, H.; van de Port, I.G.; van Dieën, J.H. Do clinical assessments, steady-state or daily-life gait characteristics predict falls in ambulatory chronic stroke survivors? J. Rehabil. Med. 2017, 49, 402–409. [Google Scholar] [CrossRef] [PubMed]
- Shah, V.V.; McNames, J.; Mancini, M.; Carlson-Kuhta, P.; Spain, R.I.; Nutt, J.G.; El-Gohary, M.; Curtze, C.; Horak, F.B. Laboratory versus daily life gait characteristics in patients with multiple sclerosis, Parkinson’s disease, and matched controls. J. Neuro Eng. Rehabil. 2020, 17, 159. [Google Scholar] [CrossRef] [PubMed]
- Chan, L.L.Y.; Arbona, C.H.; Brodie, M.A.; Lord, S.R. Prediction of injurious falls in older adults using digital gait biomarkers extracted from large-scale wrist sensor data. Age Ageing 2023, 52, afad179. [Google Scholar] [CrossRef] [PubMed]
- Bohannon, R.W.; Wang, Y.C. Four-Meter Gait Speed: Normative Values and Reliability Determined for Adults Participating in the NIH Toolbox Study. Arch. Phys. Med. Rehabil. 2019, 100, 509–513. [Google Scholar] [CrossRef] [PubMed]
- Boulifard, D.A.; Ayers, E.; Verghese, J. Home-Based Gait Speed Assessment: Normative Data and Racial/Ethnic Correlates Among Older Adults. J. Am. Med. Dir. Assoc. 2019, 20, 1224–1229. [Google Scholar] [CrossRef]
- Van Ancum, J.M.; van Schooten, K.S.; Jonkman, N.H.; Huijben, B.; van Lummel, R.C.; Meskers, C.G.M.; Maier, A.B.; Pijnappels, M. Gait speed assessed by a 4-m walk test is not representative of daily-life gait speed in community-dwelling adults. Maturitas 2019, 121, 28–34. [Google Scholar] [CrossRef]
- Rojer, A.G.M.; Coni, A.; Mellone, S.; Van Ancum, J.M.; Vereijken, B.; Helbostad, J.L.; Taraldsen, K.; Mikolaizak, S.; Becker, C.; Aminian, K.; et al. Robustness of In-Laboratory and Daily-Life Gait Speed Measures over One Year in High Functioning 61- to 70-Year-Old Adults. Gerontology 2021, 67, 650–659. [Google Scholar] [CrossRef] [PubMed]
- Zalewski, K.R.; Smith, J.C.; Malzahn, J.; VanHart, M.; O’Connell, D. Measures of physical ability are unrelated to objectively measured physical activity behavior in older adults residing in continuing care retirement communities. Arch. Phys. Med. Rehabil. 2009, 90, 982–986. [Google Scholar] [CrossRef] [PubMed]
- Troiano, R.P.; McClain, J.J.; Brychta, R.J.; Chen, K.Y. Evolution of accelerometer methods for physical activity research. Br. J. Sports Med. 2014, 48, 1019–1023. [Google Scholar] [CrossRef] [PubMed]
- Chapman, B.P.; Lucey, E.; Boyer, E.W.; Babu, K.M.; Smelson, D.; Carreiro, S. Perceptions on wearable sensor-based interventions for monitoring of opioid therapy: A qualitative study. Front. Digit. Health 2022, 4, 969642. [Google Scholar] [CrossRef] [PubMed]
- Lim, S.E.R.; Dodds, R.; Bacon, D.; Sayer, A.A.; Roberts, H.C. Physical activity among hospitalised older people: Insights from upper and lower limb accelerometry. Aging Clin. Exp. Res. 2018, 30, 1363–1369. [Google Scholar] [CrossRef] [PubMed]
- Huberty, J.; Ehlers, D.K.; Kurka, J.; Ainsworth, B.; Buman, M. Feasibility of three wearable sensors for 24 hour monitoring in middle-aged women. BMC Womens Health 2015, 15, 55. [Google Scholar] [CrossRef] [PubMed]
- Doherty, A.; Jackson, D.; Hammerla, N.; Plötz, T.; Olivier, P.; Granat, M.H.; White, T.; van Hees, V.T.; Trenell, M.I.; Owen, C.G.; et al. Large Scale Population Assessment of Physical Activity Using Wrist Worn Accelerometers: The UK Biobank Study. PLoS ONE 2017, 12, e0169649. [Google Scholar] [CrossRef] [PubMed]
- Belcher, B.R.; Wolff-Hughes, D.L.; Dooley, E.E.; Staudenmayer, J.; Berrigan, D.; Eberhardt, M.S.; Troiano, R.P. US Population-referenced Percentiles for Wrist-Worn Accelerometer-derived Activity. Med. Sci. Sports Exerc. 2021, 53, 2455–2464. [Google Scholar] [CrossRef] [PubMed]
- Koolhaas, C.M.; van Rooij, F.J.A.; Schoufour, J.D.; Cepeda, M.; Tiemeier, H.; Brage, S.; Franco, O.H. Objective Measures of Activity in the Elderly: Distribution and Associations with Demographic and Health Factors. J. Am. Med. Dir. Assoc. 2017, 18, 838–847. [Google Scholar] [CrossRef] [PubMed]
- Scarlett, S.; Nolan, H.; Kenny, R.A.; O’Connell, M.D.L. Objective Sleep Duration in Older Adults: Results from the Irish Longitudinal Study on Ageing. J. Am. Geriatr. Soc. 2020, 68, 120–128. [Google Scholar] [CrossRef] [PubMed]
- Chan, L.L.Y.; Choi, T.C.M.; Lord, S.R.; Brodie, M.A. Development and large-scale validation of the Watch Walk wrist-worn digital gait biomarkers. Sci. Rep. 2022, 12, 16211. [Google Scholar] [CrossRef] [PubMed]
- van Hees, V.T.; Sabia, S.; Jones, S.E.; Wood, A.R.; Anderson, K.N.; Kivimäki, M.; Frayling, T.M.; Pack, A.I.; Bucan, M.; Trenell, M.I.; et al. Estimating sleep parameters using an accelerometer without sleep diary. Sci. Rep. 2018, 8, 12975. [Google Scholar] [CrossRef] [PubMed]
- Hajna, S.; Ross, N.A.; Brazeau, A.-S.; Bélisle, P.; Joseph, L.; Dasgupta, K. Associations between neighbourhood walkability and daily steps in adults: A systematic review and meta-analysis. BMC Public Health 2015, 15, 768. [Google Scholar] [CrossRef] [PubMed]
- Kiselev, J.; Nuritdinow, T.; Spira, D.; Buchmann, N.; Steinhagen-Thiessen, E.; Lederer, C.; Daumer, M.; Demuth, I. Long-term gait measurements in daily life: Results from the Berlin Aging Study II (BASE-II). PLoS ONE 2019, 14, e0225026. [Google Scholar] [CrossRef] [PubMed]
- Obuchi, S.P.; Kawai, H.; Murakawa, K. Reference value on daily living walking parameters among Japanese adults. Geriatr. Gerontol. Int. 2020, 20, 664–669. [Google Scholar] [CrossRef] [PubMed]
- Hayashida, I.; Tanimoto, Y.; Takahashi, Y.; Kusabiraki, T.; Tamaki, J. Correlation between muscle strength and muscle mass, and their association with walking speed, in community-dwelling elderly Japanese individuals. PLoS ONE 2014, 9, e111810. [Google Scholar] [CrossRef] [PubMed]
- Wolff, C.; Steinheimer, P.; Warmerdam, E.; Dahmen, T.; Slusallek, P.; Schlinkmann, C.; Chen, F.; Orth, M.; Pohlemann, T.; Ganse, B. Effects of age, body height, body weight, body mass index and handgrip strength on the trajectory of the plantar pressure stance-phase curve of the gait cycle. Front. Bioeng. Biotechnol. 2023, 11, 1110099. [Google Scholar] [CrossRef] [PubMed]
- Pollard, T.M.; Wagnild, J.M. Gender differences in walking (for leisure, transport and in total) across adult life: A systematic review. BMC Public Health 2017, 17, 341. [Google Scholar] [CrossRef] [PubMed]
- Kidokoro, T.; Peterson, S.J.; Reimer, H.K.; Tomkinson, G.R. Walking speed and balance both improved in older Japanese adults between 1998 and 2018. J. Exerc. Sci. Fit. 2021, 19, 204–208. [Google Scholar] [CrossRef] [PubMed]
- Murayama, H.; Amagasa, S.; Inoue, S.; Fujiwara, T.; Shobugawa, Y. Sekentei and objectively-measured physical activity among older Japanese people: A cross-sectional analysis from the NEIGE study. BMC Public Health 2019, 19, 1331. [Google Scholar] [CrossRef] [PubMed]
- Tomkinson, G.R.; Kidokoro, T.; Dufner, T.J.; Noi, S.; Fitzgerald, J.S.; Brown-Borg, H.M. Temporal trends in 6-minute walking distance for older Japanese adults between 1998 and 2017. J. Sport Health Sci. 2021, 10, 462–469. [Google Scholar] [CrossRef] [PubMed]
- Airlie, J.; Forster, A.; Birch, K.M. An investigation into the optimal wear time criteria necessary to reliably estimate physical activity and sedentary behaviour from ActiGraph wGT3X+ accelerometer data in older care home residents. BMC Geriatr. 2022, 22, 136. [Google Scholar] [CrossRef] [PubMed]
- Buckley, C.; Cavadino, A.; Del Din, S.; Lord, S.; Taylor, L.; Rochester, L.; Kerse, N. Quantifying Reliable Walking Activity with a Wearable Device in Aged Residential Care: How Many Days Are Enough? Sensors 2020, 20, 6314. [Google Scholar] [CrossRef] [PubMed]
- Czech, M.D.; Psaltos, D.; Zhang, H.; Adamusiak, T.; Calicchio, M.; Kelekar, A.; Messere, A.; Van Dijk, K.R.A.; Ramos, V.; Demanuele, C.; et al. Age and environment-related differences in gait in healthy adults using wearables. NPJ Digit. Med. 2020, 3, 127. [Google Scholar] [CrossRef] [PubMed]
- Mueller, A.; Hoefling, H.A.; Muaremi, A.; Praestgaard, J.; Walsh, L.C.; Bunte, O.; Huber, R.M.; Fürmetz, J.; Keppler, A.M.; Schieker, M.; et al. Continuous Digital Monitoring of Walking Speed in Frail Elderly Patients: Noninterventional Validation Study and Longitudinal Clinical Trial. JMIR Mhealth Uhealth 2019, 7, e15191. [Google Scholar] [CrossRef] [PubMed]
- Fry, A.; Littlejohns, T.J.; Sudlow, C.; Doherty, N.; Adamska, L.; Sprosen, T.; Collins, R.; Allen, N.E. Comparison of Sociodemographic and Health-Related Characteristics of UK Biobank Participants with Those of the General Population. Am. J. Epidemiol. 2017, 186, 1026–1034. [Google Scholar] [CrossRef] [PubMed]








| n (%) Unless Otherwise Stated | Excluded (N = 11,785) | Included 5 Days (N = 73,438) | Included 3 Days (N = 91,876) | Total (N = 103,661) | p-Value between Excluded and Included 5 Days |
|---|---|---|---|---|---|
| Age Mean (SD) | 61.7 (7.9) | 62.4 (7.8) | 62.3 (7.9) | 62.2 (7.9) | <0.001 † |
| Female | 6501 (55.2%) | 39,636 (54.0%) | 51,766 (56.3%) | 58,267 (56.2%) | <0.001 |
| Ethnicity | <0.001 | ||||
| White | 11,252 (95.9%) | 70,967 (97.0%) | 88,727 (96.9%) | 99,979 (96.8%) | |
| Black | 132 (1.1%) | 733 (1.0%) | 948 (1.0%) | 1080 (1.0%) | |
| Asian | 250 (2.1%) | 954 (1.3%) | 1198 (1.3%) | 1448 (1.4%) | |
| Other | 94 (0.8%) | 541 (0.7%) | 693 (0.8%) | 787 (0.8%) | |
| Prefer not to answer | 57 | 243 | 310 | 367 | |
| BMI status | <0.001 | ||||
| Normal | 4353 (36.9%) | 28,275 (38.5%) | 35,655 (38.8%) | 40,008 (38.6%) | |
| Underweight | 239 (2.0%) | 445 (0.6%) | 587 (0.6%) | 826 (0.8%) | |
| Overweight | 4815 (40.9%) | 30,387 (41.4%) | 37,738 (41.1%) | 42,553 (41.1%) | |
| Obese | 2378 (20.2%) | 14,331 (19.5%) | 17,896 (19.5%) | 20,274 (19.6%) | |
| Self-reported mobility problem | <0.01 | ||||
| Unable to walk | 30 (0.4%) | 44 (0.1%) | 62 (0.1%) | 92 (0.1%) | |
| Severe | 194 (2.5%) | 1047 (2.0%) | 1306 (2.0%) | 1500 (2.1%) | |
| Moderate | 571 (7.4%) | 3561 (6.9%) | 4518 (7.0%) | 5089 (7.0%) | |
| Slight | 1444 (18.6%) | 9525 (18.4%) | 11,935 (18.5%) | 13,379 (18.5%) | |
| No problem | 5526 (71.2%) | 37,607 (72.6%) | 46,688 (72.4%) | 52,214 (72.2%) | |
| Prefer not to answer | 4020 | 21,654 | 27,367 | 31,387 | |
| With history of major depression | 233 (2.0%) | 1150 (1.6%) | 1492 (1.6%) | 1725 (1.7%) | <0.001 |
| With Type 2 Diabetes Mellitus history | 325 (2.8%) | 2023 (2.8%) | 2479 (2.7%) | 2804 (2.7%) | 0.12 |
| With stroke history | 157 (1.3%) | 904 (1.2%) | 1176 (1.3%) | 1333 (1.3%) | 0.01 |
| With Parkinson’s disease history | 27 (0.2%) | 121(0.2%) | 148 (0.2%) | 175 (0.2%) | 0.61 |
| With dementia history | 9 (0.1%) | 35 (0.0%) | 52 (0.1%) | 61 (0.1%) | 0.02 |
| Sex | Age Group | ICC | ||||||
|---|---|---|---|---|---|---|---|---|
| Digital Sleep and Gait Biomarkers, Units | Female (N = 39,636) | Male (N = 33,802) | 45 to 54 (N = 14,620) | 55 to 64 (N = 25,112) | 65 to 74 (N = 31,361) | 75 to 79 (N = 2345) | Total (N = 73,438) | |
| Sleep | ||||||||
| Sleep duration, hour † | 8.28 (0.96) | 8.49 (1.18) | 8.17 (0.97) | 8.32 (1.03) | 8.51 (1.12) | 8.54 (1.17) | 8.38 (1.07) | 0.92 [0.85, 0.96] |
| Bedtime, hour of the day † | 23:17 (1 hr 4 min) | 23:11 (1 hr 13 min) | 23:13 (1 hr 11 min) | 23.14 (1 h 9 min) | 23:16 (1 hr 7min) | 23:15 (1 hr 7 min) | 23:15 (1 hr 8 min) | 0.91 [0.84, 0.96] |
| Gait Quantity | ||||||||
| Steps per day † | 7981 (2746) | 7477 (2705) | 8208 (2689) | 8041 (2765) | 7396 (2675) | 6487 (2622) | 7749 (2739) | 0.96 [0.92, 0.98] |
| Walk Length distribution | ||||||||
| Longest continuous walk duration, second ‡ | 330.7 [186.4, 542.4] | 336.0 [192.0, 556.8] | 354.4 [210.7, 566.3] | 355.3 [200.0, 575.4] | 313.3 [176.6, 524.0] | 252.6 [136.6, 450.9] | 332.8 [188.8, 548.7] | 0.93 [0.88, 0.97] |
| % Walk ≥ 8 s † | 37.8 (5.20) | 40.3 (5.78) | 40.4 (5.20) | 39.5 (5.47) | 38.0 (5.67) | 36.4 (6.09) | 38.9 (5.63) | 0.96 [0.94, 0.98] |
| % Walk ≥ 60 s ‡ | 1.5 [1.0, 2.6] | 1.9 [1.0, 3.3] | 1.9 [1.0, 3.1] | 1.8 [1.0, 3.0] | 1.5 [0.8, 2.7] | 1.3 [5.8, 2.5] | 1.7 [8.5, 2.9] | 0.92 [0.86, 0.97] |
| Gait Speed and Intensity | ||||||||
| Maximal walking speed, centimetre per second † | 145.5 (6.78) | 153.9 (7.61) | 152.3 (7.87) | 150.1 (8.03) | 147.7 (8.18) | 145.3 (8.30) | 149.4 (8.29) | 0.98 [0.97, 0.99] |
| Usual walking speed, centimetre per second † | 111.2 (6.64) | 118.5 (7.65) | 117.7 (7.59) | 115.4 (7.69) | 112.8 (7.80) | 110.5 (7.77) | 114.6 (7.98) | 0.97 [0.95, 0.99] |
| Cadence median, spm † | 101.6 (3.17) | 100.1 (3.07) | 101.1 (3.12) | 101.0 (3.18) | 100.7 (3.25) | 100.6 (3.51) | 100.9 (3.22) | 0.89 [0.81, 0.95] |
| Gait Quality | ||||||||
| Step-time variability, millisecond † | 57.7 (12.3) | 64.7 (15.2) | 59.3 (13.1) | 60.2 (14.1) | 62.1 (14.5) | 63.7 (15.1) | 60.9 (14.2) | 0.95 [0.91, 0.98] |
| Step regularity, % † | 65.6 (4.8) | 65.3 (4.8) | 66.1 (4.4) | 65.8 (4.6) | 64.9 (5.0) | 64.0 (5.3) | 65.4 (4.8) | 0.94 [0.89, 0.97] |
| Stride regularity, % † | 52.3 (4.7) | 52.7 (4.5) | 52.9 (4.4) | 52.7 (4.5) | 52.2 (4.7) | 51.6 (4.8) | 52.5 (4.6) | 0.94 [0.89, 0.97] |
| Walk hand positions | ||||||||
| % Walk with Arm Swings‡ | 91.8 [86.5, 95.4] | 93.5 [89.2, 96.2] | 91.8 [86.7, 95.2] | 92.4 [87.2, 95.6] | 93.2 [88.4, 96.2] | 93.6 [89.3, 96.5] | 92.6 [87.7, 95.8] | 0.90 [0.82, 0.96] |
| % Texting‡ | 0.5 [0.3, 0.8] | 0.4 [0.2, 0.7] | 0.4 [0.3, 0.7] | 0.4 [0.2, 0.7] | 0.4 [0.2, 0.8] | 0.5 [0.3, 0.9] | 0.4 [0.2, 0.8] | 0.90 [0.81, 0.95] |
| % Phone call‡ | 0.4 [0.1, 0.9] | 0.3 [0.1, 0.8] | 0.4 [0.1, 0.8] | 0.4 [0.1, 0.9] | 0.3 [0.1, 0.8] | 0.4 [0.1, 0.9] | 0.4 [0.1, 0.8] | 0.80 [0.65, 0.91] |
| % Hands in pockets ‡ | 1.0 [0.5, 1.7] | 0.8 [0.5, 1.5] | 1.2 [0.7, 2.1] | 1.0 [0.5, 1.7] | 0.8 [0.4, 1.3] | 0.6 [0.4, 1.1] | 0.9 [0.5, 1.6] | 0.91 [0.84, 0.96] |
| % Shoulder bag ‡ | 3.6 [1.8, 6.6] | 2.9 [1.5, 5.5] | 3.7 [1.9, 6.6] | 3.4 [1.7, 6.3] | 3.0 [1.5, 5.7] | 2.8 [1.3, 5.3] | 3.3 [1.6, 6.1] | 0.89 [0.79, 0.95] |
| % Briefcase ‡ | 1.6 [0.8, 3.0] | 0.9 [0.5, 1.7] | 1.3 [0.7, 2.6] | 1.2 [0.6, 2.5] | 1.1 [0.5, 2.3] | 1.0 [0.5, 2.1] | 1.2 [0.6, 2.4] | 0.93 [0.87, 0.97] |
| % Static which includes texting and cell phone ‡ | 1.0 [0.5, 1.8] | 0.8 [0.4, 1.5] | 0.9 [0.5, 1.6] | 0.9 [0.5, 1.6] | 0.9 [0.5, 1.6] | 1.0 [0.5, 1.8] | 0.9 [0.5, 1.6] | 0.87 [0.77, 0.94] |
| % Adaptive which includes shoulder bag, brief case and hands in pockets ‡ | 6.9 [3.7, 11.7] | 5.4 [3.0, 9.2] | 7.0 [3.9, 11.8] | 6.4 [3.6, 11.0] | 5.6 [3.1, 9.8] | 5.1 [2.7, 8.8] | 6.1 [3.4, 10.6] | 0.91 [0.83, 0.96] |
Disclaimer/Publisher’s Note: The statements, opinions and data contained in all publications are solely those of the individual author(s) and contributor(s) and not of MDPI and/or the editor(s). MDPI and/or the editor(s) disclaim responsibility for any injury to people or property resulting from any ideas, methods, instructions or products referred to in the content. |
© 2024 by the authors. Licensee MDPI, Basel, Switzerland. This article is an open access article distributed under the terms and conditions of the Creative Commons Attribution (CC BY) license (https://creativecommons.org/licenses/by/4.0/).
Share and Cite
Chan, L.L.Y.; Lord, S.R.; Brodie, M.A. Daily-Life Walking Speed, Quality and Quantity Derived from a Wrist Motion Sensor: Large-Scale Normative Data for Middle-Aged and Older Adults. Sensors 2024, 24, 5159. https://doi.org/10.3390/s24165159
Chan LLY, Lord SR, Brodie MA. Daily-Life Walking Speed, Quality and Quantity Derived from a Wrist Motion Sensor: Large-Scale Normative Data for Middle-Aged and Older Adults. Sensors. 2024; 24(16):5159. https://doi.org/10.3390/s24165159
Chicago/Turabian StyleChan, Lloyd L. Y., Stephen R. Lord, and Matthew A. Brodie. 2024. "Daily-Life Walking Speed, Quality and Quantity Derived from a Wrist Motion Sensor: Large-Scale Normative Data for Middle-Aged and Older Adults" Sensors 24, no. 16: 5159. https://doi.org/10.3390/s24165159
APA StyleChan, L. L. Y., Lord, S. R., & Brodie, M. A. (2024). Daily-Life Walking Speed, Quality and Quantity Derived from a Wrist Motion Sensor: Large-Scale Normative Data for Middle-Aged and Older Adults. Sensors, 24(16), 5159. https://doi.org/10.3390/s24165159
