Experimental Study of Fully Passive, Fully Active, and Active–Passive Upper-Limb Exoskeleton Efficiency: An Assessment of Lifting Tasks
Abstract
:1. Introduction
- I.
- Comparing the efficiency of FP, FA, and AP shoulder exoskeleton in human-in-the-loop (HITL) experiments;
- II.
- Evaluating with 12 criteria within categories of (1) sEMG channels, (2) kinematic data, and (3) survey;
- III.
- Reporting and assessing the influence of sex on these criteria.
2. Methodology
- I.
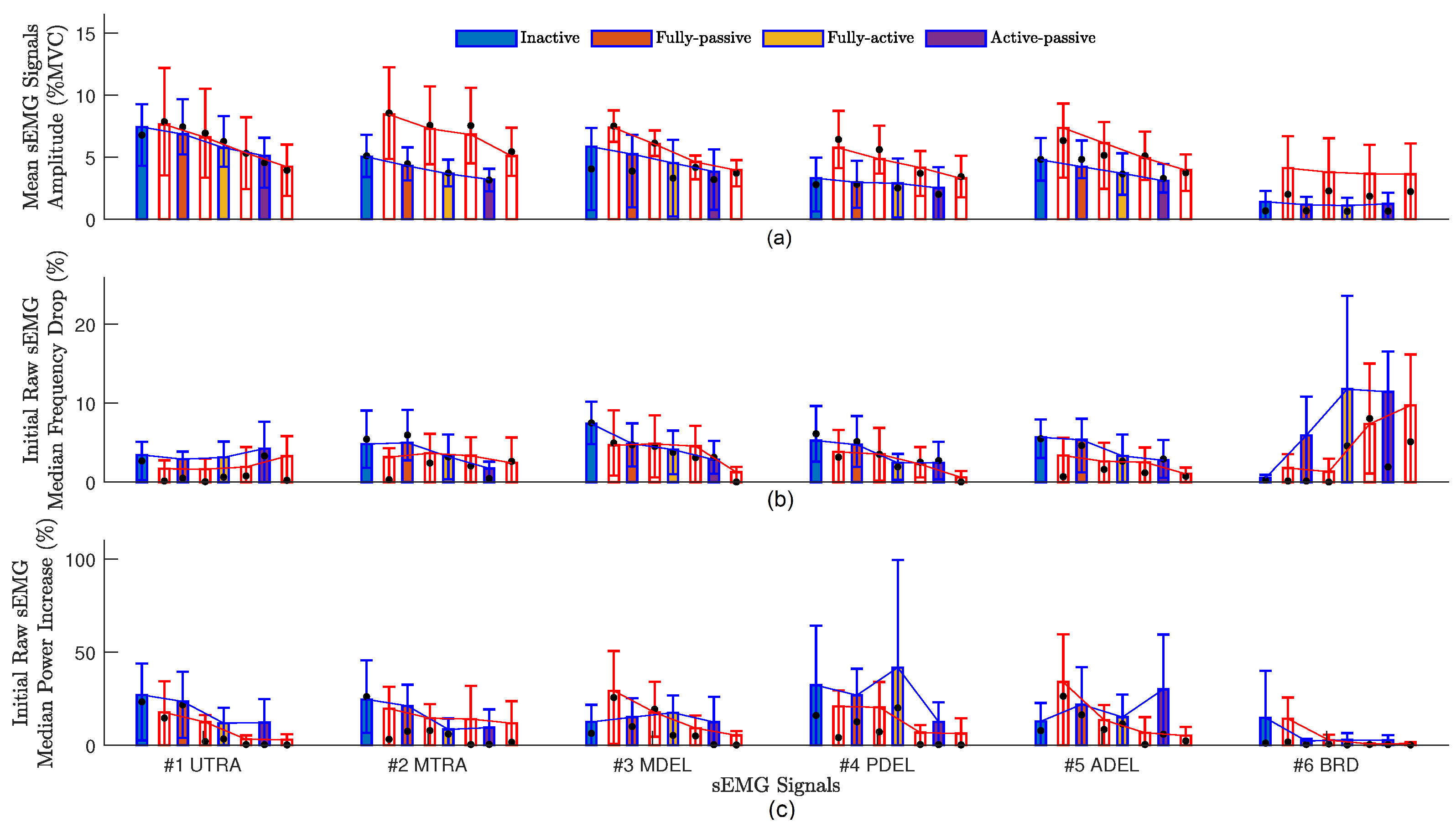
- The Delsys Trigno wireless compact system (Delsys Inc., Natick, MA, USA) is equipped with two integrated sensors designed for the measurement of sEMG to assess muscle activity and an inertial measurement unit (IMU) to capture kinematic data, including Euler angles and angular acceleration. To collect data, these wireless compact units were affixed to the skin at six specific anatomical sites (Figure 1b): #1 upper trapezius (UTRA), #2 middle trapezius (MTRA), #3 middle deltoid (MDEL), #4 posterior deltoid (PDEL), #5 anterior deltoid (ADEL), and #6 brachioradialis (BRD) located on the right forearm, shoulder, and upper trunk musculature. The data obtained from these sensors, encompassing both surface muscle activity and Euler angles, were utilized as inputs for the MuscleNET framework, with further details about MuscleNET available in reference [8].
- II.
- Motorized EVO (Ekso Bionics Holdings Inc., San Rafael, CA, USA) upper limb exoskeleton with built-in three-level passive assistance was used to assist the shoulder elevation joint. The motor was an AK80-9 KV100 BLDC motor (Cubemars, Jiangxi Xintuo Enterprise Co., Nanchang, China) with a built-in relative encoder, mass, rated torque, and 9:1 gear ratio, which was used for the active component. The exoskeleton was optimally designed in [6] after being modeled, including its passive torque-angle function. The active assistance (motor) is controlled with a hierarchical control structure (Figure 1c) that used a subject-specific MuscleNET-driven intention prediction model [8,31].
- Inactive exoskeleton (IE) setting: In this mode, the exoskeleton remains dormant, providing no assistance to the user. This setting serves as a baseline for evaluating the unaided human performance during the task.
- Fully passive (FP) setting: The exoskeleton operates in a passive manner, employing a spring mechanism to generate assistive torque in correlation with the angle of the user’s shoulder elevation. This assists the wearer in counteracting the gravitational forces acting on the lifted object.
- Fully active (FA) setting: Activating the lightweight BLDC motor, this mode delivers targeted assistance based on the user’s muscle contribution and intent. The motor’s engagement is calibrated to provide a measured level of support, enhancing the user’s lifting capability.
- Active–passive (AP) setting: This setting synergistically combines both the passive spring mechanism and the active BLDC motor to jointly deliver assistive torque throughout the user’s exoskeleton elevation angle. The collaboration between these elements aims to optimize the wearer’s performance by harmonizing mechanical support and motorized assistance.
3. Evaluation Criteria
3.1. Surface Electromyography (sEMG) Data
- Measure 1
- Measure 2
- Measure 3
- Increase in median power spectral frequencies in comparison to the initial recording is another indicator of fatigue [33].
- Measure 4
- Measure 5
- Each phase and participant had different sEMG channel amplitudes and patterns. We used the trained machine-learning model MuscleNET [30] to estimate shoulder elevation torque.
- Measure 6
- The instantaneous power of a human joint is the instantaneous torque estimated by MuscleNET [30] times the instantaneous angular velocity measured by the angular rotational sensor attached to the BLDC motor.
- —the mean absolute value;
- x—the amplitude of sEMG signal;
- N—total number of signal points;
- —time-dependent power spectrum density of the sEMG signal;
- —frequency of the signal;
- —the IMDF;
- —the muscle activations
- m—the total number of sEMG channels;
- —the fatigue (Measure 4 or Measure 7).
3.2. Kinematic Data and Inverse Dynamic Simulation
- Measure 7
- By using the recorded joint kinematics and known external force/weight (e.g., exoskeleton assistance torque, the mass of the manipulated object, or the gravitational acceleration), we conducted an inverse dynamic simulation of the scalable musculoskeletal model (Equations (4) and (5)) [36] to estimate the activation of the muscle torque generator (MTG). Equation (3) was then used to calculate the computational fatigue.
- Measure 8
- Measure 9
- Measure 10
- Measure 11
- The participants were expected to hold the kettlebell as long as feasible. The time that the shoulder elevation angle was more than 80% of the maximum angle (approximately as detailed in Section 2 and visualized in Figure 1a) was considered the load tolerance duration. This weight tolerance’s duration was quantitively compared after being recorded during different modes.
- n—the number of independent coordinates = 20;
- —the column matrix of all joint angles;
- —the column matrix of all joint angular speed;
- —the mass matrix;
- —the muscle activation signal;
- —Coriolis, centrifugal, and gravitational effects;
- —the applied joint torques, a column matrix containing for all joints;
- —the excitation-to-activation signal ordinary differential equation (ODE) function;
- —the excitation signal;
- —the active torque–angular–velocity scaling function;
- —the active torque-position scaling function;
- —the peak isometric joint strength;
- —the passive torque function due to viscous damping and nonlinear stiffness;
- —the vector containing the active torques at the joints;
- —the positive direction of joint;
- —the negative direction of the joint;
- —the subject adjustment variables: sex, age, body mass, height, dominant side, and physical activity;
- —the dimensionless heat rate for activation and maintenance, determined to be 0.054;
- —the dimensionless shortening lengthening heat rate, 0.283 for positive power, and 1.423 for negative power;
- —the maximum angular velocity over the entire motion.
3.3. Subjective Feedback
- Measure 12
- After conducting the exoskeleton performance test, participants engaged in a structured survey to gauge their experience comprehensively. This survey encompassed three key dimensions: participants’ self-reported fatigue levels throughout different exoskeleton phases (Table 1), the identification of specific areas of fatigue, and an assessment of comfort while wearing the exoskeleton on a scale of 1 to 10. The scale ranging from 1 to 10 for assessing comfort was a deliberate choice aimed at affording participants a broader spectrum of options to articulate their comfort perceptions. This scale was selected for its capacity to offer granularity in capturing the comfort levels expressed by participants in contrast to a binary scale that would provide only two options (e.g., comfortable or uncomfortable). Through this user feedback survey, we gained valuable insights into the interplay between exoskeleton assistance modes and user experiences. The survey’s structured approach allowed us to capture nuanced aspects of user interactions, offering a perspective that informs the practical usability and impact of the exoskeleton. This feedback enhances our understanding of how users respond to diverse assistance modes.
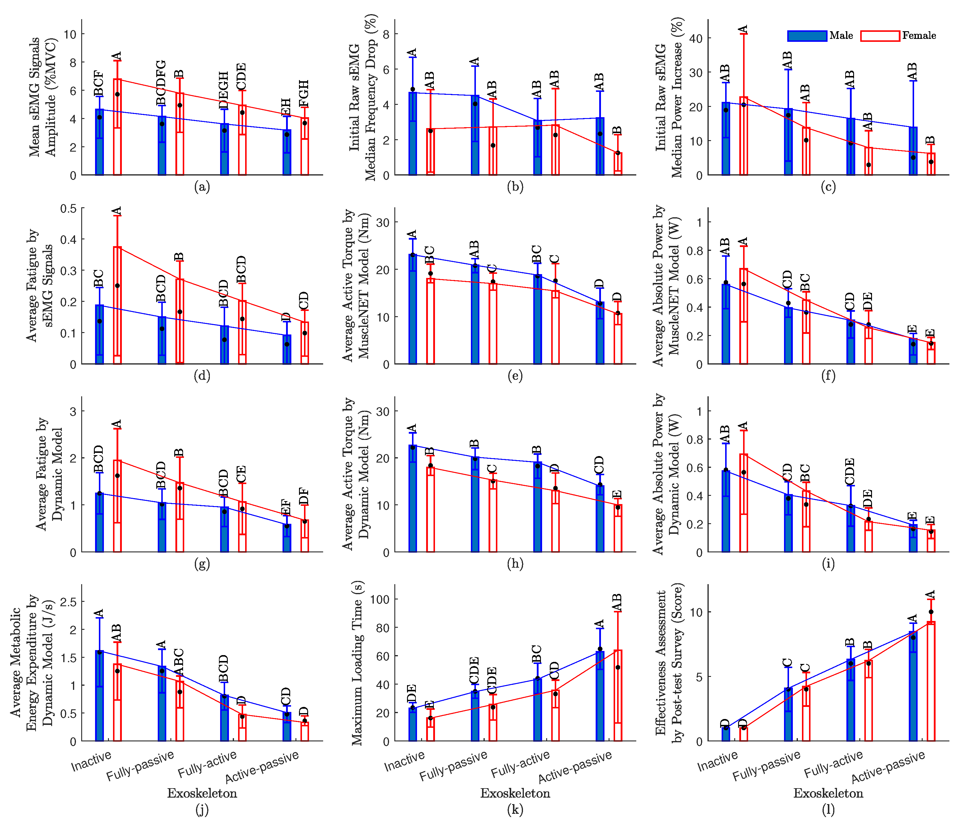
4. Results and Discussions
4.1. Quantitative Evaluation
4.2. Sex Difference Perspective
4.3. Limitations
5. Conclusions
Author Contributions
Funding
Institutional Review Board Statement
Informed Consent Statement
Data Availability Statement
Acknowledgments
Conflicts of Interest
Abbreviations
| ADEL | anterior deltoid |
| AP | active–passive |
| ARV | average rectified value |
| BLDC | brushless direct current |
| BRD | brachioradialis |
| EFE | elbow flexion/extension |
| FA | fully active |
| FP | fully passive |
| HITL | human-in-the-loop |
| IE | inactive exoskeleton |
| IMDF | instantaneous median frequency |
| IMU | inertial measurement unit |
| MAV | mean absolute value |
| MDEL | middle deltoid |
| MMEE | muscle metabolic energy expenditure |
| MSD | musculoskeletal disease |
| MTG | muscle torque genera |
| MTRA | middle trapezius |
| MuscleNET | machine learning mapping electromyography to kinematic and dynamic biomechanical 407 variables |
| MVIC | maximum voluntary isometric contraction |
| ODE | ordinary differential equation |
| PDEL | posterior deltoid |
| RMSE | root mean square of error |
| SAA | shoulder adduction/abduction |
| sEMG | surface electromyography |
| STD | Standard deviation |
| Tukey HSD | Tukey honestly significant difference |
| UTRA | upper trapezius |
References
- Van Rijn, R.M.; Huisstede, B.M.; Koes, B.W.; Burdorf, A. Associations between work-related factors and specific disorders of the shoulder—A systematic review of the literature. Scand. J. Work. Environ. Health 2010, 36, 189–201. [Google Scholar] [CrossRef] [PubMed]
- Cornejo, J.; Huamanchahua, D.; Huaman-Vizconde, S.; Terrazas-Rodas, D.; Sierra-Huertas, J.; Janampa-Espinoza, A.; Gonzales, J.; Cardona, M. Mechatronic exoskeleton systems for supporting the biomechanics of shoulder-elbow-wrist: An innovative review. In Proceedings of the IEEE International IOT, Electronics and Mechatronics Conference, Toronto, ON, Canada, 21–24 April 2021; IEEE: Toronto, ON, Canada, 2021; pp. 1–9. [Google Scholar] [CrossRef]
- Lo, H.S.; Xie, S.Q. Exoskeleton robots for upper-limb rehabilitation: State of the art and future prospects. Med. Eng. Phys. 2012, 34, 261–268. [Google Scholar] [CrossRef] [PubMed]
- McFarland, T.; Fischer, S.L. Considerations for industrial use: A systematic review of the impact of active and passive upper limb exoskeletons on physical exposures. IISE Trans. Occup. Ergon. Hum. Factors 2019, 7, 322–347. [Google Scholar] [CrossRef]
- de Vries, A.W.; de Looze, M.P. The effect of arm support exoskeletons in realistic work activities: A review study. J. Ergon. 2019, 9, 1–9. [Google Scholar] [CrossRef]
- Nasr, A.; Bell, S.; McPhee, J. Optimal design of active-passive shoulder exoskeletons: A computational modeling of human-robot interaction. Multibody Syst. Dyn. 2023, 57, 73–106. [Google Scholar] [CrossRef]
- Kuo, C.H.; Chen, J.W.; Yang, Y.; Lan, Y.H.; Lu, S.W.; Wang, C.F.; Lo, Y.C.; Lin, C.L.; Lin, S.H.; Chen, P.C.; et al. A differentiable dynamic model for musculoskeletal simulation and exoskeleton control. Biosensors 2022, 12, 312. [Google Scholar] [CrossRef] [PubMed]
- Nasr, A.; Hunter, J.; Dickerson, C.R.; McPhee, J. Evaluation of a machine learning-driven active-passive upper limb exoskeleton robot: Experimental human-in-the-loop study. Wearable Technol. 2023, 4, e13. [Google Scholar] [CrossRef]
- Hodson, A.D. Arm Supporting Exoskeletons Efficacy Changes Due to Exoskeleton, Size, and Sex. Ph.D. Thesis, Wichita State University, Wichita, KS, USA, 2021. [Google Scholar]
- Kim, H.K.; Hussain, M.; Park, J.; Lee, J.; Lee, J.W. Analysis of active back-support exoskeleton during manual load-lifting tasks. J. Med. Biol. Eng. 2021, 41, 704–714. [Google Scholar] [CrossRef]
- Alemi, M.M.; Madinei, S.; Kim, S.; Srinivasan, D.; Nussbaum, M.A. Effects of two passive back-support exoskeletons on muscle activity, energy Expenditure, and subjective assessments during repetitive lifting. Hum. Factors 2020, 62, 458–474. [Google Scholar] [CrossRef]
- Cifrek, M.; Medved, V.; Tonković, S.; Ostojić, S. Surface EMG based muscle fatigue evaluation in biomechanics. Clin. Biomech. 2009, 24, 327–340. [Google Scholar] [CrossRef]
- Al-Hayali, N.K.; Nacy, S.M.; Chiad, J.S.; Hussein, O. Analysis and evaluation of a quasi-passive lower limb exoskeleton for gait rehabilitation. Al-Khwarizmi Eng. J. 2021, 17, 36–47. [Google Scholar] [CrossRef]
- Hassan, Z.; Sadik, W. Design quasi passive exoskeleton for below knee prosthesis. J. Eng. Appl. Sci. 2018, 13, 8994–9001. [Google Scholar]
- Pillai, M.V.; Van Engelhoven, L.; Kazerooni, H. Evaluation of a lower leg support exoskeleton on floor and below hip height panel work. Hum. Factors 2020, 62, 489–500. [Google Scholar] [CrossRef] [PubMed]
- Wang, Z.; Wu, X.; Zhang, Y.; Chen, C.; Liu, S.; Liu, Y.; Peng, A.; Ma, Y. A semi-active exoskeleton based on EMGs reduces muscle fatigue when squatting. Front. Neurorobot. 2021, 15, 30. [Google Scholar] [CrossRef] [PubMed]
- Naito, J.; Nakayama, A.; Obinata, G.; Hase, K. Development of a wearable robot for assisting carpentry workers. Int. J. Adv. Robot. Syst. 2007, 4, 48. [Google Scholar] [CrossRef]
- Park, D.; Cho, K.J. Development and evaluation of a soft wearable weight support device for reducing muscle fatigue on shoulder. PLoS ONE 2017, 12, e0173730. [Google Scholar] [CrossRef]
- Winter, A.; Mohajer, N.; Nahavandi, D. Semi-active assistive exoskeleton system for elbow joint. In Proceedings of the IEEE International Conference on Systems, Man, and Cybernetics, Melbourne, Australia, 17–20 October 2021; IEEE: Melbourne, Australia, 2022; pp. 2347–2353. [Google Scholar] [CrossRef]
- Alabdulkarim, S.; Nussbaum, M.A. Influences of different exoskeleton designs and tool mass on physical demands and performance in a simulated overhead drilling task. Appl. Ergon. 2019, 74, 55–66. [Google Scholar] [CrossRef]
- Luger, T.; Cobb, T.J.; Seibt, R.; Rieger, M.A.; Steinhilber, B. Subjective evaluation of a passive lower-limb industrial exoskeleton used during simulated assembly. IISE Trans. Occup. Ergon. Hum. Factors 2019, 7, 175–184. [Google Scholar] [CrossRef]
- Marinou, G.; Millard, M.; Sarabon, N.; Mombaur, K. Comparing the risk of low-back injury using model-based optimization: Improved technique versus exoskeleton assistance. Wearable Technol. 2021, 2, e13. [Google Scholar] [CrossRef]
- Sharafi, S.; Uchida, T.K. Stability of human balance during quiet stance with physiological and exoskeleton time delays. IEEE Robot. Autom. Lett. 2023, 8, 6211–6218. [Google Scholar] [CrossRef]
- Shushtari, M.; Nasiri, R.; Arami, A. Online reference trajectory adaptation: A personalized control strategy for lower limb exoskeletons. IEEE Robot. Autom. Lett. 2022, 7, 128–134. [Google Scholar] [CrossRef]
- Li, N.; Yang, T.; Yang, Y.; Yu, P.; Xue, X.; Zhao, X.; Song, G.; Elhajj, I.H.; Wang, W.; Xi, N.; et al. Bioinspired musculoskeletal model-based soft wrist exoskeleton for stroke rehabilitation. J. Bionic Eng. 2020, 17, 1163–1174. [Google Scholar] [CrossRef]
- Bishop, P.; Cureton, K.; Collins, M. Sex difference in muscular strength in equally-trained men and women. Clin. Biomech. 1987, 2, 236–237. [Google Scholar] [CrossRef] [PubMed]
- Madinei, S.; Alemi, M.M.; Kim, S.; Srinivasan, D.; Nussbaum, M.A. Biomechanical assessment of two back-support exoskeletons in symmetric and asymmetric repetitive lifting with moderate postural demands. Appl. Ergon. 2020, 88, 103156. [Google Scholar] [CrossRef] [PubMed]
- Kim, S.; Nussbaum, M.A.; Mokhlespour Esfahani, M.I.; Alemi, M.M.; Jia, B.; Rashedi, E. Assessing the influence of a passive, upper extremity exoskeletal vest for tasks requiring arm elevation: Part II—“Unexpected” effects on shoulder motion, balance, and spine loading. Appl. Ergon. 2018, 70, 323–330. [Google Scholar] [CrossRef] [PubMed]
- Sposito, M.; Poliero, T.; Di Natali, C.D.; Toxiri, S.; Anastasi, S.; Draicchio, F.; Monica, L.; Caldwell, D.; De Momi, E.D.; Ortiz, J. Physical comfort of occupational exoskeletons: Influence of static fit on subjective scores. ACM Int. Conf. Proc. Ser. 2021, 60–68. [Google Scholar] [CrossRef]
- Nasr, A.; Bell, S.; He, J.; Whittaker, R.L.; Jiang, N.; Dickerson, C.R.; McPhee, J. MuscleNET: Mapping electromyography to kinematic and dynamic biomechanical variables. J. Neural Eng. 2021, 18, 0460d3. [Google Scholar] [CrossRef] [PubMed]
- Nasr, A.; Bell, S.; Whittaker, R.L.; Dickerson, C.R.; McPhee, J. Robust machine learning mapping of sEMG signals to future actuator commands in biomechatronic devices. J. Bionic Eng. 2023, in press. [CrossRef]
- Knaflitz, M.; Bonato, P. Time-frequency methods applied to muscle fatigue assessment during dynamic contractions. J. Electromyogr. Kinesiol. 1999, 9, 337–350. [Google Scholar] [CrossRef]
- Wang, L.; Lu, A.; Zhang, S.; Niu, W.; Zheng, F.; Gong, M. Fatigue-related electromyographic coherence and phase synchronization analysis between antagonistic elbow muscles. Exp. Brain Res. 2015, 233, 971–982. [Google Scholar] [CrossRef]
- Ackermann, M.; van den Bogert, A.J. Optimality principles for model-based prediction of human gait. J. Biomech. 2010, 43, 1055–1060. [Google Scholar] [CrossRef] [PubMed]
- Gillette, J.C.; Saadat, S.; Butler, T. Electromyography-based fatigue assessment of an upper body exoskeleton during automotive assembly. Wearable Technol. 2022, 3, e23. [Google Scholar] [CrossRef]
- Nasr, A.; Hashemi, A.; McPhee, J. Scalable musculoskeletal model for dynamic simulations of upper body movement. Comput. Methods Biomech. Biomed. Eng. 2023, 1–32. [Google Scholar] [CrossRef] [PubMed]
- Kim, J.H.; Roberts, D. A joint-space numerical model of metabolic energy expenditure for human multibody dynamic system. Int. J. Numer. Methods Biomed. Eng. 2015, 31, e02721. [Google Scholar] [CrossRef] [PubMed]
- Nasr, A.; Ferguson, S.; McPhee, J. Model-based design and optimization of passive shoulder exoskeletons. J. Comput. Nonlinear Dyn. 2022, 17, 051004. [Google Scholar] [CrossRef]
- Chow, A.Y.; Dickerson, C.R. Determinants and magnitudes of manual force strengths and joint moments during two-handed standing maximal horizontal pushing and pulling. Ergonomics 2016, 59, 534–544. [Google Scholar] [CrossRef]
- Janssen, I.; Heymsfield, S.B.; Wang, Z.M.; Ross, R. Skeletal muscle mass and distribution in 468 men and women aged 18–88 yr. J. Appl. Physiol. 2000, 89, 81–88. [Google Scholar] [CrossRef]
- Hansen, M. Female hormones: Do they influence muscle and tendon protein metabolism? Proc. Nutr. Soc. 2018, 77, 32–41. [Google Scholar] [CrossRef]
- Dumas, R.; Chèze, L.; Verriest, J.P. Adjustments to McConville et al. and Young et al. body segment inertial parameters. J. Biomech. 2007, 40, 543–553. [Google Scholar] [CrossRef]
- Rubio, J.E.; Tong, J.; Sundaramurthy, A.; Subramani, A.V.; Kote, V.; Baggaley, M.; Edwards, W.B.; Reifman, J. Differences in running biomechanics between young, healthy men and women carrying external loads. Front. Bioeng. Biotechnol. 2023, 11, 1250937. [Google Scholar] [CrossRef]




| Source | Tasks | |||
|---|---|---|---|---|
| Phase Name | Passive | Active | Weight Lifting | Free Motion |
| Sensor Calibration | √ | |||
| Data Gathering | √ | √ | ||
| IE | √ | |||
| FP | √ | √ | ||
| FA | √ | √ | ||
| AP | √ | √ | √ | |
| Criteria | Figure 2 | Signal | Model | Statistical Metric | ||||
|---|---|---|---|---|---|---|---|---|
| Kinematic | sEMG | MuscleNET | Dynamic Model | Normalized RMSE by Mean Value (%) | Subject Wald p-Value | R-Squared | ||
| Measure 1 | (a) | √ | 11.5 | 0.0021 | 0.95 | |||
| Measure 2 | (b) | √ | 52.7 | 0.0336 | 0.57 | |||
| Measure 3 | (c) | √ | 70.1 | 0.0167 | 0.60 | |||
| Measure 4 | (d) | √ | 29.7 | 0.0029 | 0.90 | |||
| Measure 5 | (e) | √ | √ | √ | 12.1 | 0.0307 | 0.91 | |
| Measure 6 | (f) | √ | √ | √ | 30.9 | 0.0312 | 0.82 | |
| Measure 7 | (g) | √ | √ | 21.9 | 0.0033 | 0.90 | ||
| Measure 8 | (h) | √ | √ | 8.0 | 0.0045 | 0.94 | ||
| Measure 9 | (i) | √ | √ | 29.9 | 0.0115 | 0.82 | ||
| Measure 10 | (j) | √ | √ | 28.2 | 0.0270 | 0.76 | ||
| Measure 11 | (k) | √ | 30.5 | 0.0244 | 0.78 | |||
| Measure 12 | (l) | 18.1 | 0.0360 | 0.93 | ||||
| Category | Connections | Least Sq Mean | ||||
|---|---|---|---|---|---|---|
| Exoskeleton Setup | Sex | |||||
| IE | Male | A | 1.451 | |||
| FP | Male | A | 1.333 | |||
| IE | Female | A | B | 1.236 | ||
| FP | Female | A | B | C | 1.067 | |
| FA | Male | B | C | D | 0.816 | |
| AP | Male | B | C | D | 0.710 | |
| FA | Female | D | 0.473 | |||
| AP | Female | D | 0.463 | |||
Disclaimer/Publisher’s Note: The statements, opinions and data contained in all publications are solely those of the individual author(s) and contributor(s) and not of MDPI and/or the editor(s). MDPI and/or the editor(s) disclaim responsibility for any injury to people or property resulting from any ideas, methods, instructions or products referred to in the content. |
© 2023 by the authors. Licensee MDPI, Basel, Switzerland. This article is an open access article distributed under the terms and conditions of the Creative Commons Attribution (CC BY) license (https://creativecommons.org/licenses/by/4.0/).
Share and Cite
Nasr, A.; Dickerson, C.R.; McPhee, J. Experimental Study of Fully Passive, Fully Active, and Active–Passive Upper-Limb Exoskeleton Efficiency: An Assessment of Lifting Tasks. Sensors 2024, 24, 63. https://doi.org/10.3390/s24010063
Nasr A, Dickerson CR, McPhee J. Experimental Study of Fully Passive, Fully Active, and Active–Passive Upper-Limb Exoskeleton Efficiency: An Assessment of Lifting Tasks. Sensors. 2024; 24(1):63. https://doi.org/10.3390/s24010063
Chicago/Turabian StyleNasr, Ali, Clark R. Dickerson, and John McPhee. 2024. "Experimental Study of Fully Passive, Fully Active, and Active–Passive Upper-Limb Exoskeleton Efficiency: An Assessment of Lifting Tasks" Sensors 24, no. 1: 63. https://doi.org/10.3390/s24010063
APA StyleNasr, A., Dickerson, C. R., & McPhee, J. (2024). Experimental Study of Fully Passive, Fully Active, and Active–Passive Upper-Limb Exoskeleton Efficiency: An Assessment of Lifting Tasks. Sensors, 24(1), 63. https://doi.org/10.3390/s24010063

