Microstrip Copper Nanowires Antenna Array for Connected Microwave Liquid Sensors
Abstract
1. Introduction
2. Antenna Sensor Design and Realization
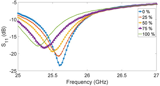
3. Experimental Analysis
4. Conclusions
Author Contributions
Funding
Institutional Review Board Statement
Informed Consent Statement
Data Availability Statement
Conflicts of Interest
References
- Mao, Y.J.; Zhang, Y.J.; Chen, Z.R.; Tong, M.S. A Noncontact Microwave Sensor Based on Cylindrical Resonator for Detecting Concentration of Liquid Solutions. IEEE Sens. J. 2020, 21, 1208–1214. [Google Scholar] [CrossRef]
- Cetinkaya, A.; Kaya, S.I.; Yence, M.; Budak, F.; Ozkan, S.A. Ionic liquid-based materials for electrochemical sensor applications in environmental samples. Trends Environ. Anal. Chem. 2023, 37, e00188. [Google Scholar] [CrossRef]
- Cardillo, E.; Sapienza, G.; Li, C.; Caddemi, A. Head Motion and Eyes Blinking Detection: A mm-Wave Radar for Assisting People with Neurodegenerative Disorders. In Proceedings of the 2020 50th European Microwave Conference (EuMC), Utrecht, The Netherlands, 12–14 January 2021; pp. 925–928. [Google Scholar] [CrossRef]
- Caddemi, A.; Cardillo, E. Automotive Anti-Abandon Systems: A Millimeter-Wave Radar Sensor for the Detection of Child Presence. In Proceedings of the 2019 14th International Conference on Advanced Technologies, Systems and Services in Telecommunications (TELSIKS), Nis, Serbia, 23–25 October 2019; pp. 94–97. [Google Scholar] [CrossRef]
- Caddemi, A.; Cardillo, E.; Patanè, S.; Triolo, C. Light Exposure Effects on the DC Kink of AlGaN/GaN HEMTs. Electronics 2019, 8, 698. [Google Scholar] [CrossRef]
- Juan, C.G.; Bronchalo, E.; Potelon, B.; Quendo, C.; Avila-Navarro, E.; Sabater-Navarro, J.M. Concentration Measurement of Microliter-Volume Water–Glucose Solutions Using Q Factor of Microwave Sensors. IEEE Trans. Instrum. Meas. 2018, 68, 2621–2634. [Google Scholar] [CrossRef]
- Cardillo, E.; Cananzi, R.; Vita, P. Wideband Versatile Receiver for CubeSat Microwave Front-Ends. Sensors 2022, 22, 9004. [Google Scholar] [CrossRef] [PubMed]
- Haq, T.; Ruan, C.; Zhang, X.; Ullah, S.; Fahad, A.K.; He, W. Extremely Sensitive Microwave Sensor for Evaluation of Dielectric Characteristics of Low-Permittivity Materials. Sensors 2020, 20, 1916. [Google Scholar] [CrossRef] [PubMed]
- Haq, T.; Koziel, S. Inverse Modeling and Optimization of CSRR-Based Microwave Sensors for Industrial Applications. IEEE Trans. Microw. Theory Tech. 2022, 70, 4796–4804. [Google Scholar] [CrossRef]
- Tseng, C.-H.; Yang, C.-Y. Novel Microwave Frequency-Locked-Loop-Based Sensor for Complex Permittivity Measurement of Liquid Solutions. IEEE Trans. Microw. Theory Tech. 2022, 70, 4556–4565. [Google Scholar] [CrossRef]
- Chavoshi, M.; Martinic, M.; Nauwelaers, B.; Markovic, T.; Schreurs, D. Design of Uncoupled and Cascaded Array of Resonant Microwave Sensors for Dielectric Characterization of Liquids. IEEE Trans. Microw. Theory Tech. 2022, 1–9. [Google Scholar] [CrossRef]
- Soltan, A.; Sadeghzadeh, R.; Mohammad-Ali-Nezhad, S. Microwave sensor for liquid classification and permittivity estimation of dielectric materials. Sens. Actuators A Phys. 2022, 336, 113397. [Google Scholar] [CrossRef]
- Wiltshire, B.D.; Zarifi, M.H. TiO2 nanotube-integrated microwave planar resonator sensor for ultraviolet transmission-based liquid characterization. Sens. Actuators B Chem. 2021, 341, 130014. [Google Scholar] [CrossRef]
- Saxena, G.; Chintakindi, S.; Kasim, M.A.; Maduri, P.K.; Awasthi, Y.; Kumar, S.; Kansal, S.; Jain, R.; Sharma, M.K.; Dewan, C. Metasurface inspired wideband high isolation THz MIMO antenna for nano communication including 6G applications and liquid sensors. Nano Commun. Netw. 2022, 34, 100421. [Google Scholar] [CrossRef]
- Donelli, M.; Manekiya, M.; Iannacci, J. Modulated Scattering Technique (MST) Devices Hybridized with RF-MEMS Micro-switches for Next Generation IoT and 5G Smart. Sensors 2022, 904, 407–413. [Google Scholar] [CrossRef]
- Wu, B.; Zhang, X.; Huang, B.; Zhao, Y.; Cheng, C.; Chen, H. High-Performance Wireless Ammonia Gas Sensors Based on Reduced Graphene Oxide and Nano-Silver Ink Hybrid Material Loaded on a Patch Antenna. Sensors 2017, 17, 2070. [Google Scholar] [CrossRef]
- Gugliandolo, G.; Naishadham, K.; Donato, N.; Neri, G.; Fernicola, V. Sensor-Integrated Aperture Coupled Patch Antenna. In Proceedings of the 2019 IEEE International Symposium on Measurements & Networking (M&N), Catania, Italy, 8–10 July 2019; pp. 1–5. [Google Scholar] [CrossRef]
- Mahajan, R.C.; Vyas, V. Wideband microstrip antenna for the detection of solutes in water. Eng. Rep. 2020, 3, e12336. [Google Scholar] [CrossRef]
- Lee, H.; Naishadham, K.; Tentzeris, M.M.; Shaker, G. A novel highly-sensitive antenna-based “smart skin” gas sensor utilizing carbon nanotubes and inkjet printing. In Proceedings of the 2011 IEEE International Symposium on Antennas and Propagation (APSURSI), Spokane, WA, USA, 3–8 July 2011; pp. 1593–1596. [Google Scholar] [CrossRef]
- Lee, H.; Shaker, G.; Naishadham, K.; Song, X.; McKinley, M.; Wagner, B.; Tentzeris, M. Carbon-Nanotube Loaded Antenna-Based Ammonia Gas Sensor. IEEE Trans. Microw. Theory Tech. 2011, 59, 2665–2673. [Google Scholar] [CrossRef]
- Yang, L.; Zhang, R.; Staiculescu, D.; Wong, C.P.; Tentzeris, M.M. A Novel Conformal RFID-Enabled Module Utilizing Inkjet-Printed Antennas and Carbon Nanotubes for Gas-Detection Applications. IEEE Antennas Wirel. Propag. Lett. 2009, 8, 653–656. [Google Scholar] [CrossRef]
- Cardillo, E.; Cananzi, R.; Vita, P.; Caddemi, A. Dual-Conversion Microwave Down Converter for Nanosatellite Electronic Warfare Systems. Appl. Sci. 2022, 12, 1524. [Google Scholar] [CrossRef]
- Caddemi, A.; Cardillo, E.; Patane, S.; Triolo, C. An Accurate Experimental Investigation of an Optical Sensing Microwave Amplifier. IEEE Sens. J. 2018, 18, 9214–9221. [Google Scholar] [CrossRef]
- Caddemi, A.; Cardillo, E.; Crupi, G. Light activation of noise at microwave frequencies: A study on scaled gallium arsenide HEMT’s. IET Circuits Devices Syst. 2018, 12, 242–248. [Google Scholar] [CrossRef]
- Caddemi, A.; Cardillo, E.; Crupi, G. Comparative analysis of microwave low-noise amplifiers under laser illumination. Microw. Opt. Technol. Lett. 2016, 58, 2437–2443. [Google Scholar] [CrossRef]
- Stepniowski, W.J.; Misiolek, W.Z. Review of Fabrication Methods, Physical Properties, and Applications of Nanostructured Copper Oxides Formed via Electrochemical Oxidation. Nanomaterials 2018, 8, 379. [Google Scholar] [CrossRef]
- Hamid, H.; Lockman, Z.; Hattori, T.; Razak, K. Performance of zinc oxide particles as liquid ethanol sensor. Mater. Today Proc. 2019, 17, 976–981. [Google Scholar] [CrossRef]
- Quattrocchi, A.; Montanini, R.; Latino, M.; Donato, N. PMMA-coated fiber Bragg grating sensor for measurement of Ethanol in liquid solution: Manufacturing and metrological evaluation. Acta IMEKO 2021, 10, 133–138. [Google Scholar] [CrossRef]
- Balanis, C.A. Antenna Theory: Analysis and Design, 4th ed.; John Wiley: Hoboken, NJ, USA, 2016. [Google Scholar]
- Allam, N.K.; Grimes, C.A. Electrochemical fabrication of complex copper oxide nanoarchitectures via copper anodization in aqueous and non-aqueous electrolytes. Mater. Lett. 2011, 65, 1949–1955. [Google Scholar] [CrossRef]
- Bhowmick, T.; Nag, S.; Majumder, S. Understanding the ethanol and acetone sensing behaviour of CuO thin films through elements of gas diffusion theory. Mater. Chem. Phys. 2021, 262, 124286. [Google Scholar] [CrossRef]
- Xu, M.; Ran, X.; Chen, R.; Chen, M.; Qi, R.; Dai, C.; Luo, C.; Peng, H.; Lin, H. Controlled oxidation of Cu particles by H2O2 to form Cu/CuO nanostructure with enhanced gas sensing performance. Appl. Surf. Sci. 2023, 618. [Google Scholar] [CrossRef]
- Umar, A.; Ibrahim, A.A.; Ammar, H.; Nakate, U.T.; Albargi, H.B.; Hahn, Y. Urchin like CuO hollow microspheres for selective high response ethanol sensor application: Experimental and theoretical studies. Ceram. Int. 2021, 47, 12084–12095. [Google Scholar] [CrossRef]
- Hsu, C.-L.; Tsai, J.-Y.; Hsueh, T.-J. Ethanol gas and humidity sensors of CuO/Cu2O composite nanowires based on a Cu through-silicon via approach. Sens. Actuators B Chem. 2016, 224, 95–102. [Google Scholar] [CrossRef]
- Faisal, M.; Khan, S.B.; Rahman, M.M.; Jamal, A.; Umar, A. Ethanol chemi-sensor: Evaluation of structural, optical and sensing properties of CuO nanosheets. Mater. Lett. 2011, 65, 1400–1403. [Google Scholar] [CrossRef]
- Umar, A.; Lee, J.-H.; Kumar, R.; Al-Dossary, O.; Ibrahim, A.A.; Baskoutas, S. Development of highly sensitive and selective ethanol sensor based on lance-shaped CuO nanostructures. Mater. Des. 2016, 105, 16–24. [Google Scholar] [CrossRef]
- Pozar, D.M. Microwave Engineering; Wiley: New York, NY, USA, 1998. [Google Scholar]









| Element ID | Value |
|---|---|
| L1 | 3.20 mm |
| L2 | 1.05 mm |
| L3 | 6.30 mm |
| L4 | 5.70 mm |
| L5 | 1.90 mm |
| L6 | 1.80 mm |
| W1 | 3.80 mm |
| W2 | 300.00 μm |
| W3 | 500.00 μm |
| W4 | 870.00 μm |
Disclaimer/Publisher’s Note: The statements, opinions and data contained in all publications are solely those of the individual author(s) and contributor(s) and not of MDPI and/or the editor(s). MDPI and/or the editor(s) disclaim responsibility for any injury to people or property resulting from any ideas, methods, instructions or products referred to in the content. |
© 2023 by the authors. Licensee MDPI, Basel, Switzerland. This article is an open access article distributed under the terms and conditions of the Creative Commons Attribution (CC BY) license (https://creativecommons.org/licenses/by/4.0/).
Share and Cite
Cardillo, E.; Tavella, F.; Ampelli, C. Microstrip Copper Nanowires Antenna Array for Connected Microwave Liquid Sensors. Sensors 2023, 23, 3750. https://doi.org/10.3390/s23073750
Cardillo E, Tavella F, Ampelli C. Microstrip Copper Nanowires Antenna Array for Connected Microwave Liquid Sensors. Sensors. 2023; 23(7):3750. https://doi.org/10.3390/s23073750
Chicago/Turabian StyleCardillo, Emanuele, Francesco Tavella, and Claudio Ampelli. 2023. "Microstrip Copper Nanowires Antenna Array for Connected Microwave Liquid Sensors" Sensors 23, no. 7: 3750. https://doi.org/10.3390/s23073750
APA StyleCardillo, E., Tavella, F., & Ampelli, C. (2023). Microstrip Copper Nanowires Antenna Array for Connected Microwave Liquid Sensors. Sensors, 23(7), 3750. https://doi.org/10.3390/s23073750

