Rapid Design Optimization and Calibration of Microwave Sensors Based on Equivalent Complementary Resonators for High Sensitivity and Low Fabrication Tolerance
Abstract
1. Introduction
2. Design and Optimization
3. Sensitivity Analysis
4. Fabrication and Measurement
5. Calibration Procedure and Results
6. Application Case Study: Oil Measurement
7. Conclusions
Author Contributions
Funding
Institutional Review Board Statement
Informed Consent Statement
Data Availability Statement
Conflicts of Interest
References
- Islam, M.R.; Islam, M.T.; Salaheldeen, M.; Bais, B.; Almalki, H.A.; Alsaif, H.; Islam, M.S. Metamaterial sensor based on rectangular enclosed adjacent triple circle split ring resonator with good quality factor for microwave sensing application. Sci. Rep. 2022, 12, 6792. [Google Scholar] [CrossRef] [PubMed]
- Iyer, A.K.; Eleftheriades, G.V. Negative refractive index metamaterials supporting 2-D waves. In Proceedings of the 2002 IEEE MTT-S International Microwave Symposium Digest, Seattle, WA, USA, 2–7 June 2002; Volume 2, pp. 1067–1070. [Google Scholar] [CrossRef]
- Oliner, A. A planar negative-refractive-index medium without resonant elements. In Proceedings of the IEEE MTT-S International Microwave Symposium Digest, Philadelphia, PA, USA, 8–13 June 2003; Volume 1, pp. 191–194. [Google Scholar] [CrossRef]
- Caloz, Z.; Itoh, T. Transmission line approach of left-handed (LH) materials and microstrip implementation of an artificial LH transmission line. IEEE Trans. Antennas Propag. 2004, 52, 1159–1166. [Google Scholar] [CrossRef]
- Mohammadi, S.; Adhikari, K.K.; Jain, M.C.; Zarifi, M.H. High-resolution, sensitivity-enhanced active resonator sensor using substrate-embedded channel for characterizing low-concentration liquid mixtures. IEEE Trans. Microw. Theory Tech. 2022, 70, 576–586. [Google Scholar] [CrossRef]
- Mayani, M.G.; Herraiz-Martínez, F.J.; Jain, M.C.; Domingo, J.M.; Giannetti, R. Resonator-based microwave metamaterial sensors for instrumentation: Survey, classification, and performance comparison. IEEE Trans. Instrum. Meas. 2021, 70, 9503414. [Google Scholar] [CrossRef]
- Pendry, J.B.; Holden, A.J.; Robbins, D.J.; Stewart, W.J. Magnetism from conductors and enhanced nonlinear phenomena. IEEE Trans. Microw. Theory Tech. 1999, 47, 2075–2084. [Google Scholar] [CrossRef]
- Falcone, F.; Lopetegi, T.; Baena, J.D.; Marqués, F.; Sorolla, M. Effective negative epsilon stopband microstrip lines based on complementary split ring resonators. IEEE Microw. Wirel. Compon. Lett. 2004, 14, 280–282. [Google Scholar] [CrossRef]
- Baena, J.D.; Bonache, J.; Martín, F.; Sillero, R.M.; Falcone, F.; Lopetegi, T.; Laso, M.A.G.; García, J.; Gil, I.; Portillo, M.F.; et al. Equivalent-circuit models for split-ring resonators and complementary split-ring resonators coupled to planar transmission lines. IEEE Trans. Microw. Theory Tech. 2005, 53, 1451–1461. [Google Scholar] [CrossRef]
- Vélez, A.; Bonache, J.; Martín, F. Varactor-loaded complementary split ring resonators (vlcsrr) and their application to tunable metamaterial transmission lines. IEEE Microw. Wirel. Compon. Lett. 2008, 18, 28–30. [Google Scholar] [CrossRef]
- Hou, R.; Ren, J.; Zuo, M.; Yin, Y.Z. Magnetoelectric dipole filtering antenna based on CSRR with third harmonic suppression. IEEE Antennas Wirel. Propag. Lett. 2021, 20, 1337–1341. [Google Scholar] [CrossRef]
- Haq, T.; Khan, M.F.; Siddiqui, O.F. Design and implementation of waveguide bandpass filter using complementary metaresonator. Appl. Phys. A. 2016, 34, 34. [Google Scholar] [CrossRef]
- Dong, Y.D.; Yang, T.; Itoh, T. Substrate Integrated Waveguide Loaded by Complementary Split-Ring Resonators and Its Applications to Miniaturized Waveguide Filters. IEEE Trans. Microw. Theory Tech. 2009, 57, 2211–2223. [Google Scholar] [CrossRef]
- Alahnomi, R.A.; Zakaria, Z.; Yussof, Z.M.; Althuwayb, A.A.; Alhegazi, A.; Alsariera, H.; Rahman, A. Review of recent microwave planar resonator based sensors: Techniques of complex permittivity extraction, applications, open challenges and future research directions. Sensors 2021, 21, 2267. [Google Scholar] [CrossRef]
- Rawat, V.; Kitture, R.; Kumari, D.; Rajesh, H.; Banerjee, S.; Kale, S.N. Hazardous materials sensing: An electrical metamaterial approach. J. Magnetism Magn. Mater. 2016, 415, 77–81. [Google Scholar] [CrossRef]
- Chuma, E.L.; Iano, Y.; Fontgalland, G.; Roger, L.L.B. Microwave sensor for liquid dielectric characterization based on metamaterial complementary split ring resonator. IEEE Sens. J. 2018, 18, 9978–9983. [Google Scholar] [CrossRef]
- Boybay, M.S.; Ramahi, O.M. Non-destructive thickness measurement using quasi-static resonators. IEEE Microw. Wirel. Compon. Lett. 2013, 23, 217–219. [Google Scholar] [CrossRef]
- Salim, A.; Lim, S. Complementary split ring resonator loaded microfluidic ethanol chemical sensor. Sensors 2016, 16, 1802. [Google Scholar] [CrossRef]
- Lee, C.S.; Yang, C.L. Thickness and permittivity measurement in multi layered dielectric structures using complementary split ring resonator. IEEE Sens. J. 2014, 14, 695–700. [Google Scholar] [CrossRef]
- Ebrahimi, A.; Withayachumnankul, W.; Al-Sarawi, S.; Abbott, D. High sensitivity metamaterial inspired sensor for microfluidic dielectric characterization. IEEE Sens. J. 2014, 14, 1345–1351. [Google Scholar] [CrossRef]
- Lee, C.S.; Yang, C.L. Single compound complementary split ring resonator for simultaneously measuring the permittivity and thickness of dual layer dielectric materials. IEEE Trans. Microw. Theory Tech. 2015, 63, 2010–2023. [Google Scholar] [CrossRef]
- Jang, C.; Park, J.K.; Lee, H.J.; Yun, G.H.; Yook, J.G. Non-invasive fluidic glucose detection based on dual microwave complementary split ring resonators with a switching circuit for environmental effect elimination. IEEE Sens. J. 2020, 20, 8520–8527. [Google Scholar] [CrossRef]
- Zhang, X.; Ruan, C.J.; Wang, W.; Cao, Y. Submersible high sensitivity microwave sensor for edible oil detection and quality analysis. IEEE Sens. J. 2021, 21, 13230–13238. [Google Scholar] [CrossRef]
- Tiwari, N.K.; Singh, S.P.; Akhtar, M.J. Novel improved sensitivity planar microwave probe for adulteration detection in edible oils. IEEE Microw. Wirel. Compon. Lett. 2019, 29, 164–166. [Google Scholar] [CrossRef]
- Haq, T.; Ruan, C.J.; Zhang, X.; Kosar, A.; Ullah, S. Low cost and compact wideband microwave notch filter based on miniaturized complementary metaresonator. Appl. Phys. A. 2019, 125, 662. [Google Scholar] [CrossRef]
- Ansari, M.A.H.; Jha, A.K.; Akhter, Z.; Akhtar, M.J. Multi-Band RF Planar Sensor Using Complementary Split Ring Resonator for Testing of Dielectric Materials. IEEE Sens. J. 2018, 18, 6596–6606. [Google Scholar] [CrossRef]
- Javed, A.; Arif, A.; Zubair, M.; Mehmood, M.Q.; Riaz, K. A low-cost multiple complementary split-ring resonator-based microwave sensor for contactless dielectric characterization of liquids. IEEE Sens. J. 2020, 20, 11326–11334. [Google Scholar] [CrossRef]
- Jiang, Q.; Yu, Y.; Zhao, Y.; Zhang, Y.; Liu, L.; Li, Z. Ultra compact effective localized surface plasmonic sensor for permittivity measurement of aqueous ethanol solution with high sensitivity. IEEE Trans. Instrum. Meas. 2021, 70, 6008709. [Google Scholar] [CrossRef]
- Parvathi, S.L.; Gupta, R. Two channel dual band microwave EBG sensor for simultaneous dielectric detection of liquids. Int. J. Electron. Commun. 2022, 146, 154099. [Google Scholar] [CrossRef]
- Armghan, A.; Alanazi, T.M.; Altaf, A.; Haq, T. Characterization of dielectric substrates using dual band microwave sensor. IEEE Access 2021, 9, 62779–62787. [Google Scholar] [CrossRef]
- Cao, Y.; Ruan, C.J.; Chen, K.; Zhang, X. Research on a high-sensitivity asymmetric metamaterial structure and its application as microwave sensor. Sci. Rep. 2022, 12, 1255. [Google Scholar] [CrossRef]
- Qureshi, S.A.; Abidin, Z.Z.; Ashyap, A.; Majid, H.A.; Kamarudin, M.R.; Yue, M.; Zulkipli, M.S.; Nebhen, J. Millimetre wave metamaterial based sensor for characterization of cooking oils. Int. J. Antennas Propag. 2021, 10, 5520268. [Google Scholar] [CrossRef]
- Akgol, O.; Unal, E.; Bagmanci, M.; Karaaslan, M.; Sevim, U.K.; Ozturk, M.; Bhadauria, A. A nondestructive method for determining fiber content and fiber ratio in concentrates using a metamaterial sensor based on a V shaped resonator. J. Electron. Matter. 2019, 48, 2469–2481. [Google Scholar] [CrossRef]
- Haq, T.; Ruan, C.J.; Zhang, X.; Ullah, S. Complementary metamaterial sensor for nondestructive evaluation of dielectric substrates. Sensors 2019, 19, 2100. [Google Scholar] [CrossRef]
- Conn, A.R.; Gould, N.I.M.; Toint, P.L. Trust Region Methods; MPS-SIAM Series on Optimization; SIAM Digital Library: Philadelphia, PA, USA, 2000. [Google Scholar]
- Koziel, S.; Pietrenko-Dabrowska, A. Expedited optimization of antenna input characteristics with adaptive Broyden updates. Eng. Comput. 2019, 37, 3. [Google Scholar] [CrossRef]
- Haq, T.; Ruan, C.J.; Ullah, S.; Kosar, A. Dual notch microwave sensors based on complementary metamaterial resonators. IEEE Access 2019, 7, 153489–153498. [Google Scholar] [CrossRef]
- Haq, T.; Koziel, S. Inverse Modeling and Optimization of CSRR-Based Microwave Sensors for Industrial Applications. IEEE Trans. Microw. Theory Tech. 2022, 70, 4796–4804. [Google Scholar] [CrossRef]
- DeSouza, J.D.; Scherer, M.D.; Cáceres, C.A.S.; Caires, A.R.L.; M’Peko, J.C.A. A close dielectric spectroscopic analysis of diesel/biodiesel blends and potential dielectric approaches for biodiesel content assessment. Fuel 2013, 105, 705–710. [Google Scholar] [CrossRef]
- Zhang, X.; Ruan, C.J.; Cao, Y. A dual-mode microwave sensor for edible oil characterization using magnetic-LC Resonators. Sens. Actuators A Phys. 2022, 333, 113275. [Google Scholar] [CrossRef]
- Kumar, A.V.P.; Goel, A.; Kumar, R.; Ojha, A.K.; John, J.K.; Joy, J. Dielectric characterization of common edible oils in the higher microwave frequencies using cavity perturbation. J. Microw. Power Electromagn. Energy 2019, 53, 48–56. [Google Scholar] [CrossRef]
- Mathew, T.; Vyas, A.D.; Tripathi, D. Dielectric properties of some edible and medicinal oils at microwave frequency. Canadian J. Pure Appl. Sci. 2009, 3, 953–957. [Google Scholar]
- Lee, C.S.; Bai, B.; Song, Q.R.; Wang, Z.Q.; Li, G.F. Open complementary split ring resonator sensor for dropping based liquid dielectric characterization. IEEE Sens. J. 2019, 19, 11880–11890. [Google Scholar] [CrossRef]
- Rowe, D.J.; Malki, S.; Abduljabar, A.A.; Porch, A.; Barrow, D.A.; Allender, C.J. Improved split ring resonator for microfluidic sensing. IEEE Trans. Microw. Theory Tech. 2014, 62, 689–699. [Google Scholar] [CrossRef]
- Ebrahimi, A.; Scott, J.; Ghorbani, K. Ultrahigh sensitivity microwave sensor for microfluidic complex permittivity measurement. IEEE Trans. Microw. Theory Tech. 2019, 67, 4269–4277. [Google Scholar] [CrossRef]
- Alahnomi, R.A.; Zakaria, Z.; Ruslan, E.; Ab Rashid, S.R.; Mohd Bahar, A.A. High Q sensor based on symmetrical split ring resonator with spurlines for solid material detection. IEEE Sens. J. 2017, 17, 2766–2775. [Google Scholar] [CrossRef]
- Romera, G.G.; Herraiz-Martinez, M.J.; Gil, M.; Martinez-Martinez, J.J.; Segovia-Vargas, D. Submersible printed split ring resonator based sensor for thin film detection and permittivity characterization. IEEE Sens. J. 2016, 16, 3587–3596. [Google Scholar] [CrossRef]
- Su, L.; Mata-Contreras, J.; Velez, P.; Fernandez-Prieto, A.; Martin, F. Analytical method to estimate the complex permittivity of oil samples. Sensors 2016, 18, 984. [Google Scholar] [CrossRef]
- Alotaibi, S.A.; Cui, Y.; Tentzeris, M.M. CSRR Based Sensors for Relative Permittivity Measurement with Improved and Uniform Sensitivity Throughout [0.9–10.9] GHz Band. IEEE Sens. J. 2020, 20, 4667–4678. [Google Scholar] [CrossRef]
- Hao, H.; Wang, D.; Wang, Z.; Yin, B.; Ruan, W. Design of a High Sensitivity Microwave Sensor for Liquid Dielectric Constant Measurement. Sensors 2020, 20, 5598. [Google Scholar] [CrossRef]
- Armghan, A. Complementary metaresonator sensor with dual notch resonance for evaluation of vegetable oils in C and X bands. Appl. Sci. 2021, 11, 5734. [Google Scholar] [CrossRef]
- Haq, T.; Ruan, C.J.; Zhang, X.; Ullah, S.; Fahad, A.K.; He, W. Extremely sensitive microwave sensor for evaluation of dielectric characteristics of low permittivity materials. Sensors 2020, 20, 1916. [Google Scholar] [CrossRef]
- Zheng, H.X. Measurements of complex permittivity using dielectric resonator at 60 GHz. In Proceedings of the 2006 7th International Symposium on Antennas, Propagation & EM Theory, Guilin, China, 26–29 October 2006. [Google Scholar] [CrossRef]
- Omer, A.E.; Shaker, G.; Safavi-Naeini, S.; Ngo, K.; Shubair, R.M.; Alquie, G.; Deshours, F.; Kokabi, H. Multiple-cell microfluidic dielectric resonator for liquid sensing applications. IEEE Sens. J. 2021, 5, 6094–6104. [Google Scholar] [CrossRef]
- Mayani, M.G.; Herraiz-Martinez, F.J.; Domingo, J.M.; Giannetti, R.; Garia, C.R.M. A novel dielectric resonator-based passive sensor for drop-volume binary mixtures classification. IEEE Sens. J. 2021, 18, 20156–20165. [Google Scholar] [CrossRef]














| Rogers RO4003C (5 × 5 mm) | Circular Complementary Split Ring Resonator (CC-SRR) | Square Complementary Split Ring Resonator (SC-SRR) | ||||
|---|---|---|---|---|---|---|
| Thickness of Sample Under Test (mm) | Resonance Frequency (GHz) | Bandwidth (GHz) | Loaded Q Factor | Resonance Frequency (GHz) | Bandwidth (GHz) | Loaded Q Factor |
| 0.1 | 13.85 | 2.95 | 4.69 | 13.84 | 1.91 | 7.24 |
| 0.2 | 13.31 | 1.89 | 7.04 | 13.27 | 1.69 | 7.85 |
| 0.3 | 13.00 | 1.73 | 7.51 | 12.93 | 1.56 | 8.28 |
| 0.4 | 12.78 | 1.66 | 7.69 | 12.71 | 1.47 | 8.64 |
| 0.5 | 12.62 | 1.57 | 8.03 | 12.57 | 1.43 | 8.79 |
| 0.6 | 12.51 | 1.53 | 8.13 | 12.47 | 1.40 | 8.90 |
| 0.7 | 12.44 | 1.51 | 8.23 | 12.39 | 1.38 | 8.97 |
| 0.8 | 12.38 | 1.48 | 8.36 | 12.33 | 1.36 | 9.06 |
| 0.9 | 12.34 | 1.47 | 8.39 | 12.29 | 1.34 | 9.17 |
| 1.0 | 12.30 | 1.46 | 8.42 | 12.26 | 1.33 | 9.21 |
| 1.1 | 12.27 | 1.45 | 8.46 | 12.23 | 1.33 | 9.19 |
| 1.2 | 12.25 | 1.44 | 8.50 | 12.21 | 1.32 | 9.25 |
| 1.3 | 12.23 | 1.44 | 8.49 | 12.19 | 1.32 | 9.23 |
| 1.4 | 12.22 | 1.44 | 8.48 | 12.18 | 1.32 | 9.22 |
| 1.5 | 12.20 | 1.44 | 8.47 | 12.17 | 1.32 | 9.21 |
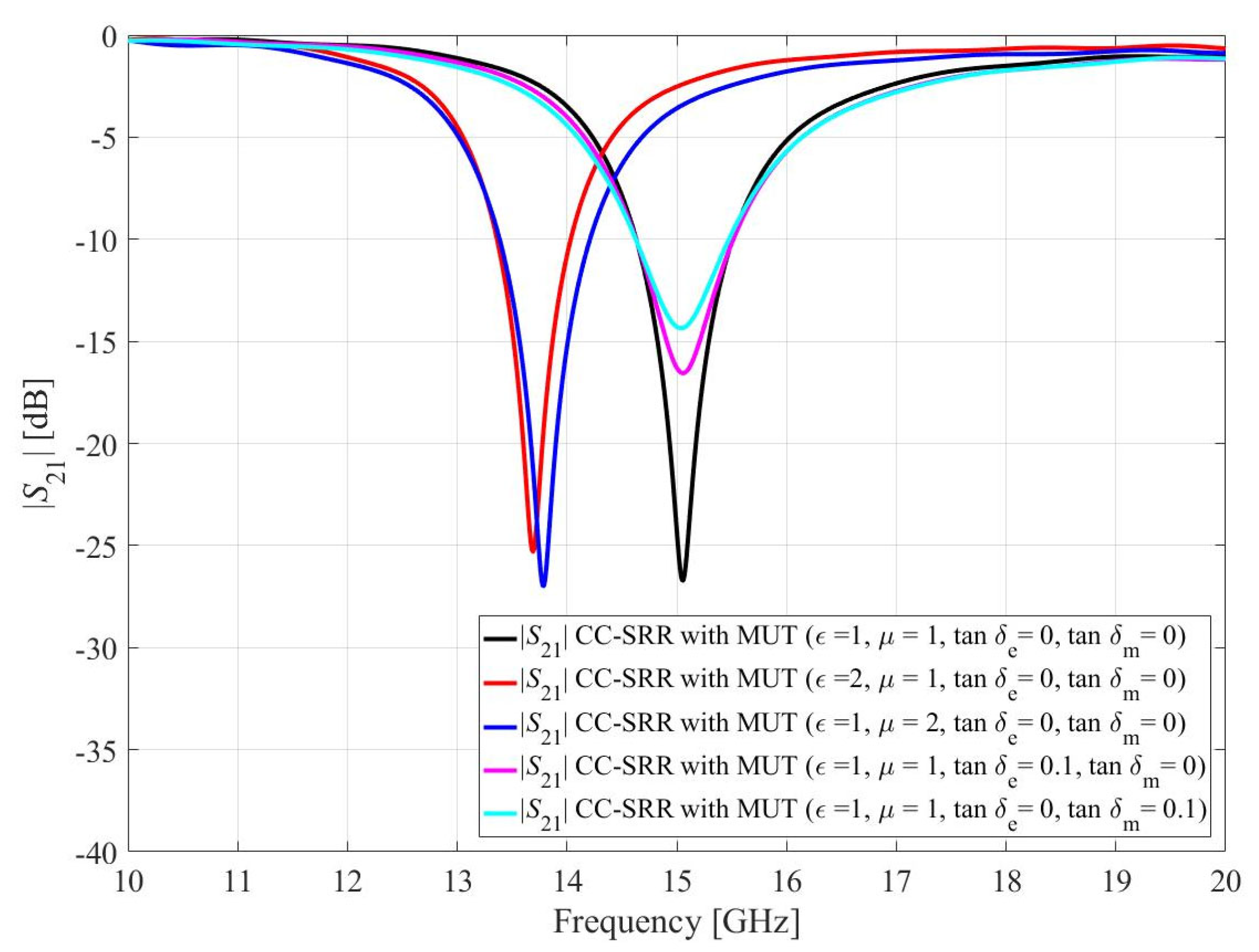
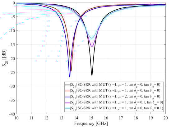
| Sample Under Test (SUT) | Transmission Coefficient (S21) for CC-SRR | Transmission Coefficient (S21) for SC-SRR | |||||
|---|---|---|---|---|---|---|---|
| εr | µr | tanδe | tanδm | {GHz} | {dB} | {GHz} | {dB} |
| 1 | 1 | 0 | 0 | 15.05 | −26.73 | 15.06 | −26.12 |
| 2 | 1 | 0 | 0 | 13.69 | −25.31 | 13.67 | −24.53 |
| 1 | 2 | 0 | 0 | 13.78 | −27 | 13.57 | −26.72 |
| 1 | 1 | 0.1 | 0 | 15.05 | −16.55 | 15.06 | −15.69 |
| 1 | 1 | 0 | 0.1 | 15.05 | −14.35 | 15.06 | −12.75 |
| Materials for Calibration | Relative Permittivity (εr) | Measured Resonant Frequency | |
|---|---|---|---|
| Mean {GHz} | Standard Dev. {GHz} | ||
| TLY-5 | 2.2 | 13.49 | 0.069 |
| AD250C | 2.5 | 13.11 | 0.086 |
| RO4003C | 3.38 | 12.36 | 0.084 |
| RF-35 | 3.5 | 12.10 | 0.122 |
| FR4 | 4.3 | 12.09 | 0.116 |
| Ref. | Resonator Architecture | Sample Under Test (SUT) | Optimization of Geometric Parameters | Calibration Method | Resonant Frequency {GHz} | Relative Sensitivity (%) |
|---|---|---|---|---|---|---|
| [43] | OCSRR | DI Water, butanol, ethanol, and methanol | No | Curve Fitting | 0.33 | 0.504 |
| [44] | SRR | Micro fluids | Yes | N.A | 1.72 | 0.78 |
| [45] | SIR | Water and methanol | No | Curve Fitting | 1.91 | 0.84 |
| [46] | SSRR | Rogers 5880, Rogers 4350, and FR-4 | No | Polynomial Fittings | 2.22 | 1.51 |
| [47] | SRR | Foam and FR4 polyethylene | No | N.A | 1.8 | 3.04 |
| [48] | CSRR | Oil samples | No | N.A | 2.5 | 3.58 |
| [49] | CSRR | Roger substrates | No | N.A | 5.39 | 5.54 |
| [50] | SRR | Lubricating oil and iron powder | No | Curve Fitting | 7.69 | 3.45 |
| [51] | CMSRR | Vegetable oils | No | Curve Fitting | 7.2 | 5.21 |
| [52] | CSSSR | Teflon and glass | No | Curve Fitting | 15.12 | 6.7 |
| [53] | Dielectric Rod Resonator | Single crystal sapphire, polycrystalline ceramics, and cordierite | No | N.A | 60 | 3.27 |
| [54] | Dielectric Resonator | Distilled water, bacteriostatic water, saline, and methanol | No | N.A | 2.3 | 1.6 |
| [55] | Dielectric Resonator | Ethanol-water solution | No | N.A | 2.48 | 0.04 |
| This Work | Square CSRR | Dielectric substrates and oils | Yes | Inverse Regression Model | 14.62 | 7.01 |
Disclaimer/Publisher’s Note: The statements, opinions and data contained in all publications are solely those of the individual author(s) and contributor(s) and not of MDPI and/or the editor(s). MDPI and/or the editor(s) disclaim responsibility for any injury to people or property resulting from any ideas, methods, instructions or products referred to in the content. |
© 2023 by the authors. Licensee MDPI, Basel, Switzerland. This article is an open access article distributed under the terms and conditions of the Creative Commons Attribution (CC BY) license (https://creativecommons.org/licenses/by/4.0/).
Share and Cite
Haq, T.; Koziel, S. Rapid Design Optimization and Calibration of Microwave Sensors Based on Equivalent Complementary Resonators for High Sensitivity and Low Fabrication Tolerance. Sensors 2023, 23, 1044. https://doi.org/10.3390/s23021044
Haq T, Koziel S. Rapid Design Optimization and Calibration of Microwave Sensors Based on Equivalent Complementary Resonators for High Sensitivity and Low Fabrication Tolerance. Sensors. 2023; 23(2):1044. https://doi.org/10.3390/s23021044
Chicago/Turabian StyleHaq, Tanveerul, and Slawomir Koziel. 2023. "Rapid Design Optimization and Calibration of Microwave Sensors Based on Equivalent Complementary Resonators for High Sensitivity and Low Fabrication Tolerance" Sensors 23, no. 2: 1044. https://doi.org/10.3390/s23021044
APA StyleHaq, T., & Koziel, S. (2023). Rapid Design Optimization and Calibration of Microwave Sensors Based on Equivalent Complementary Resonators for High Sensitivity and Low Fabrication Tolerance. Sensors, 23(2), 1044. https://doi.org/10.3390/s23021044
