Assessment of Irrigation Efficiency by Coupling Remote Sensing and Ground-Based Data: Case Study of Sprinkler Irrigation of Alfalfa in the Saratovskoye Zavolgie Region of Russia
Abstract
1. Introduction
1.1. Actual Situation in Agricultural Irrigation Sector of RF
1.2. Quantification of the Irrigation Efficiency
1.3. Indicators of the Efficiency of the Irrigation Water Use by the Agricultural Crops
2. Materials and Methods
2.1. Study Area
Weather Conditions, Harvest and Irrigation Timing
2.2. Ground and Satellite Data Set Collection
2.2.1. Meteorological Data Sets
2.2.2. Harvesting Data Sets
2.2.3. Irrigation Regime Data Sets
2.2.4. Time Series of ETa and Its Components
2.3. Indicators of Water Efficiency of Irrigation
3. Results
3.1. Statistical Analyzing of Gathered Data Sets
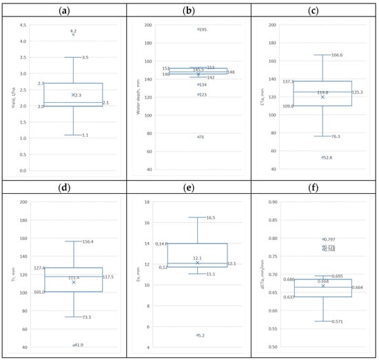
3.1.1. Results of the First Part of Statistical Analysis
3.1.2. Results of the Second Part of Statistical Analysis
3.2. Results of Assessment of Water Efficiency of Irrigation Indicators
3.2.1. Ranking of the Values Indicators of Water Productivity
3.2.2. Ranking of the Values of Indicators of Water Use Effectiveness
4. Discussion
5. Conclusions
Author Contributions
Funding
Institutional Review Board Statement
Informed Consent Statement
Data Availability Statement
Conflicts of Interest
References
- Rybal’skii, N.G.; Dumnov, A.D. Vodnye Resursy i Vodnoe Khozyaistvo Rossii v 2015 Godu (Statisticheskii Sbornik); NIA-Priroda: Moscow, Russia, 2016. [Google Scholar]
- Utkuzova, D.N.; Han, V.M.; Vil’fand, R.M. Statistical Analysis of Extreme Drought and Wet Events in Russia. Atmos. Ocean. Opt. 2015, 28, 336–346. [Google Scholar] [CrossRef]
- Zhang, X.; Guo, H.; Yin, W.; Wang, R.; Li, J.; Yue, Y.; Wang, J. Mapping Drought Risk (Wheat) of the World. In World Atlas of Natural Disaster Risk; Shi, P., Kasperson, R., Eds.; Springer: Berlin/Heidelberg, Germany, 2015; pp. 227–242. [Google Scholar]
- Fahad, S.; Bajwa, A.A.; Nazir, U.; Anjum, S.A.; Farooq, A.; Zohaib, A.; Sadia, S.; Nasim, W.; Adkins, S.; Saud, S.; et al. Crop Production under Drought and Heat Stress: Plant Responses and Management Options. Front. Plant Sci. 2017, 8, 1147. [Google Scholar] [CrossRef]
- Karim, R.; Rahman, M.A. Drought Risk Management for Increased Cereal Production in Asian Least Developed Countries. Weather Clim. Extrem. 2015, 7, 24–35. [Google Scholar] [CrossRef]
- Estes, L.D.; Beukes, H.; Bradley, B.A.; Debats, S.R.; Oppenheimer, M.; Ruane, A.C.; Schulze, R.; Tadross, M. Projected Climate Impacts to South African Maize and Wheat Production in 2055: A Comparison of Empirical and Mechanistic Modeling Approaches. Glob. Chang. Biol. 2013, 19, 3762–3774. [Google Scholar] [CrossRef] [PubMed]
- Daryanto, S.; Wang, L.; Jacinthe, P.-A. Global Synthesis of Drought Effects on Cereal, Legume, Tuber and Root Crops Production: A Review. Agric. Water Manag. 2017, 179, 18–33. [Google Scholar] [CrossRef]
- Daryanto, S.; Wang, L.; Jacinthe, P.-A. Global Synthesis of Drought Effects on Maize and Wheat Production. PLoS ONE 2016, 11, e0156362. [Google Scholar] [CrossRef] [PubMed]
- Daryanto, S.; Wang, L.; Jacinthe, P.-A. Global Synthesis of Drought Effects on Food Legume Production. PLoS ONE 2015, 10, e0127401. [Google Scholar] [CrossRef] [PubMed]
- Boutraa, T. Improvement of Water Use Efficiency in Irrigated Agriculture: A Review. J. Agron. 2010, 9, 1–8. [Google Scholar] [CrossRef]
- Hoekstra, A.Y. Wise Freshwater Allocation: Water Footprint Caps by River Basin, Benchmarks by Product and Fair Water Footprint Shares by Community; Unesco-IHE Institute dor Water Education: Delft, The Netherlands, 2013. [Google Scholar]
- Georgiadi, A.G.; Koronkevich, N.I.; Barabanova, E.A.; Zaitseva, I.S.; Kashutina, E.A.; Milyukova, I.P.; Shaporenko, S.I. Izmeneniya Stoka v Krupnykh Rechnykh Basseinakh Evropeiskoi i Aziatskoi Chastei Rossii. In Proceedings of the Vodnye Resursy: Novye Vyzovy i Puti Resheniya, Sochi, Russia, 2–5 October 2017; Sbornik trudov. Lik: Novocherkassk, Russia, 2017; pp. 155–160. [Google Scholar]
- Bos, M.G.; Nugteren, J. On Irrigation Efficiencies; ILRI Publication: Wageningen, The Netherlands, 1974; Volume 19. [Google Scholar]
- Kosolapov, A.E. Tsimlyanskoe Vodokhranilishche v Usloviyakh Dlitel’nogo Perioda Ponizhennoi Vodnosti. In Proceedings of the Vodnye Resursy: Novye Vyzovy i Puti Resheniya, Sochi, Russia, 2–5 October 2017; Lik: Novocherkassk, Russia, 2017; pp. 31–36. [Google Scholar]
- Luck, M.; Landis, M.; Gassert, F. Aqueduct Water Stress Projections: Decadal Projections of Water Supply and Demand Using CMIP5 GCMs; Technical Note; World Resources Institute: Washington, DC, USA, 2015; Available online: https://www.wri.org/research/aqueduct-water-stress-projections-decadal-projections-water-supply-and-demand-using-cmip5 (accessed on 30 December 2022).
- Levidow, L.; Zaccaria, D.; Maia, R.; Vivas, E.; Todorovic, M.; Scardigno, A. Improving Water-Efficient Irrigation: Prospects and Difficulties of Innovative Practices. Agric. Water Manag. 2014, 146, 84–94. [Google Scholar] [CrossRef]
- Burt, C.; Styles, S.W. Modern Water Control and Management Practices in Irrigation: Impact on Performance; International Programme for Technology and Research in Irrigation and Drainage; Food and Agriculture Organization of the United Nations: Rome, Italy, 1999; ISBN 9251042829. [Google Scholar]
- Howell, T. Enhancing Water Use Efficiency in Irrigated Agriculture. Agron. J. 2001, 93, 281. [Google Scholar] [CrossRef]
- Perry, C.; Steduto, P.; Allen, R.G.; Burt, C.M. Increasing Productivity in Irrigated Agriculture: Agronomic Constraints and Hydrological Realities. Agric. Water Manag. 2009, 96, 1517–1524. [Google Scholar] [CrossRef]
- Frederiksen, H.D.; Allen, R.G. A Common Basis for Analysis, Evaluation and Comparison of Offstream Water Uses. Water Int. 2011, 36, 266–282. [Google Scholar] [CrossRef]
- Gleick, P.H.; Christian-Smith, J.; Cooley, H. Water-Use Efficiency and Productivity: Rethinking the Basin Approach. Water Int. 2011, 36, 784–798. [Google Scholar] [CrossRef]
- Battilani, A. Approaches to Improve the Productivity of Water Use in Irrigation. Available online: https://www.eesc.europa.eu/en/documents/approaches-improve-productivity-water-use-irrigation-adriano-battilani#downloads (accessed on 23 December 2022).
- Madden, J.; Knowles, J.; Buckingham, A. Investing in the Modernisation of Irrigation Infrastructure—The Challenges and Opportunities for Government and Agriculture. Farm Policy J. 2007, 4, 13–23. [Google Scholar]
- Hsiao, T.C.; Steduto, P.; Fereres, E. A Systematic and Quantitative Approach to Improve Water Use Efficiency in Agriculture. Irrig. Sci. 2007, 25, 209–231. [Google Scholar] [CrossRef]
- Qureshi, M.E.; Ranjan, R.; Qureshi, S.E. An Empirical Assessment of the Value of Irrigation Water: The Case Study of Murrumbidgee Catchment. Aust. J. Agric. Resour. Econ. 2010, 54, 99–118. [Google Scholar] [CrossRef]
- Passioura, J. Increasing Crop Productivity When Water Is Scarce—From Breeding to Field Management. Agric. Water Manag. 2006, 80, 176–196. [Google Scholar] [CrossRef]
- Faurès, J.-M.; Svendsen, M.; Turral, H. Reinventing Irrigation. In Water for Food, Water for Life; Molden, D., Ed.; Earthscan, and Colombo; International Water Management Institute: London, UK, 2007; pp. 353–394. [Google Scholar]
- Kairis, O.; Kosmas, C.; Karavitis, C.; Ritsema, C.; Salvati, L.; Acikalin, S.; Alcalá, M.; Alfama, P.; Atlhopheng, J.; Barrera, J.; et al. Evaluation and Selection of Indicators for Land Degradation and Desertification Monitoring: Types of Degradation, Causes, and Implications for Management. Environ. Manag. 2014, 54, 971–982. [Google Scholar] [CrossRef]
- Kosmas, C.; Kairis, O.; Karavitis, C.; Ritsema, C.; Salvati, L.; Acikalin, S.; Alcalá, M.; Alfama, P.; Atlhopheng, J.; Barrera, J.; et al. Evaluation and Selection of Indicators for Land Degradation and Desertification Monitoring: Methodological Approach. Environ. Manag. 2014, 54, 951–970. [Google Scholar] [CrossRef]
- Bandara, K.M.P.S. Assessing Irrigation Performance by Using Remote Sensing; Wageningen University: Wageningen, The Netherlands, 2006. [Google Scholar]
- Qureshi, M.E.; Grafton, R.Q.; Kirby, M.; Hanjra, M.A. Understanding Irrigation Water Use Efficiency at Different Scales for Better Policy Reform: A Case Study of the Murray—Darling Basin, Australia. Water Policy 2011, 13, 1–17. [Google Scholar] [CrossRef]
- Dong, X.; Xu, W.; Zhang, Y.; Leskovar, D.; Dong, X.; Xu, W.; Zhang, Y.; Leskovar, D.I. Effect of Irrigation Timing on Root Zone Soil Temperature, Root Growth and Grain Yield and Chemical Composition in Corn. Agronomy 2016, 6, 34. [Google Scholar] [CrossRef]
- Li, T.; Sun, M.; Fu, Q.; Cui, S.; Liu, D. Analysis of Irrigation Canal System Characteristics in Heilongjiang Province and the Influence on Irrigation Water Use Efficiency. Water 2018, 10, 1101. [Google Scholar] [CrossRef]
- Dong, L.; Lihui, Z.; Heng, L.; Qiang, F.; Mo, L.; Faiz, M.A.; Ali, S.; Tianxiao, L.; Khan, M.I. Optimization of Irrigation Water Use Efficiency Evaluation Indicators Based on DPSIR-ISD Model. Water Supply 2020, 20, 83–94. [Google Scholar] [CrossRef]
- Cai, X.; Rosegrant, M.W.; Ringler, C. Physical and Economic Efficiency of Water Use in the River Basin: Implications for Efficient Water Management. Water Resour. Res. 2003, 39. [Google Scholar] [CrossRef]
- Cai, X.; McKinney, D.C.; Lasdon, L.S. A Framework for Sustainability Analysis in Water Resources Management and Application to the Syr Darya Basin. Water Resour. Res. 2002, 38, 21-1–21-14. [Google Scholar] [CrossRef]
- Rosegrant, M.W.; Ringler, C.; McKinney, D.C.; Cai, X.; Keller, A.; Donoso, G. Integrated Economic–Hydrologic Water Modeling at the Basin Scale: The Maipo River Basin. Agric. Econ. 2000, 24, 33–46. [Google Scholar] [CrossRef]
- Burt, C.M.; Clemmens, A.J.; Strelkoff, T.S.; Solomon, K.H.; Bliesner, R.D.; Hardy, L.A.; Howell, T.A.; Eisenhauer, D.E. Irrigation Performance Measures: Efficiency and Uniformity. J. Irrig. Drain. Eng. 1997, 123, 423–442. [Google Scholar] [CrossRef]
- Clemmens, A.J.; Allen, R.G.; Burt, C.M. Technical Concepts Related to Conservation of Irrigation and Rainwater in Agricultural Systems. Water Resour. Res. 2008, 44. [Google Scholar] [CrossRef]
- Mead, E. Report of Experiments in Irrigation and Meteorology; Colorado Agricultural College: Fort Collins, CO, USA, 1887. [Google Scholar]
- Maximov, N.A. A. A Study of the Physiological Basis of Drought Resistance. In The Plant in Relation to Water; Allen and Unwin: London, UK, 1929. [Google Scholar]
- Maximov, N.A. Razvitie Ucheniya o Vodnom Rezhime i Zasukhoustoichivosti Rastenii Ot Timiryazeva Do Nashikh Dnei. Timiryazevskie Chteniya, t. 4; AN SSSR: Moscow, Russia, 1944. [Google Scholar]
- Viets, F.G. Fertilizers and the Efficient Use of Water. Adv. Agron. 1962, 14, 223–264. [Google Scholar] [CrossRef]
- Ali, M.H.; Talukder, M.S.U. Increasing Water Productivity in Crop Production—A Synthesis. Agric. Water Manag. 2008, 95, 1201–1213. [Google Scholar] [CrossRef]
- Sinclair, T.R.; Tanner, C.B.; Bennett, J.M. Water-Use Efficiency in Crop Production. Bioscience 1984, 34, 36–40. [Google Scholar] [CrossRef]
- Jones, H.G. Drought Tolerance and Water-Use Efficiency. In Water Deficits Plant Responses from Cell to Community; Smith, J.A.C., Griffiths, H., Eds.; Bios Scientific Publishers Ltd.: Oxford, UK, 1993; pp. 193–204. [Google Scholar]
- Jones, H.G. What Is Water Use Efficiency. In Water Use Efficiency in Plant Biology; Bacon, M.A., Ed.; Blackwell Publishing: Oxford, UK, 2004; pp. 27–41. [Google Scholar]
- Steduto, P.; Hsiao, T.C.; Fereres, E. On the Conservative Behavior of Biomass Water Productivity. Irrig. Sci. 2007, 25, 189–207. [Google Scholar] [CrossRef]
- Farg, E.; Arafat, S.M.; Abd El-Wahed, M.S.; El-Gindy, A.M. Estimation of Evapotranspiration ETc and Crop Coefficient Kc of Wheat, in South Nile Delta of Egypt Using Integrated FAO-56 Approach and Remote Sensing Data. Egypt. J. Remote Sens. Space Sci. 2012, 15, 83–89. [Google Scholar] [CrossRef]
- Burt, C.; Styles, S. Modern Water Control and Management Practices in Irrigation: Impact on Performance; Irrigation Training and Research Center: San Luis Obispo, CA, USA, 1998. [Google Scholar]
- Zeyliger, A.; Ermolaeva, O. SEBAL Model Using to Estimate Irrigation Water Efficiency & Water Requirement of Alfalfa Crop. In Proceedings of the Geophysical Research Abstracts EGU General Assembly, Vienna, Austria, 7–12 April 2013; Volume 15, pp. 2013–12671. [Google Scholar]
- Li, H.; Luo, Y.; Zhao, C.; Yang, G. Remote Sensing of Regional Crop Transpiration of Winter Wheat Based on MODIS Data and FAO-56 Crop Coefficient Method. Intell. Autom. Soft Comput. 2013, 19, 285–294. [Google Scholar] [CrossRef]
- Bastiaanssen, W.G.M. SEBAL-Based Sensible and Latent Heat Fluxes in the Irrigated Gediz Basin, Turkey. J. Hydrol. 2000, 229, 87–100. [Google Scholar] [CrossRef]
- Cowan, I.R. Regulation of Water Use in Relation to Carbon Gain in Higher Plants. In Physiological Plant Ecology II; Springer: Berlin/Heidelberg, Germany, 1982; pp. 589–613. [Google Scholar]
- Khanal, S.; Fulton, J.; Shearer, S. An Overview of Current and Potential Applications of Thermal Remote Sensing in Precision Agriculture. Comput. Electron. Agric. 2017, 139, 22–32. [Google Scholar] [CrossRef]
- Zhou, Z.; Majeed, Y.; Diverres Naranjo, G.; Gambacorta, E.M.T. Assessment for Crop Water Stress with Infrared Thermal Imagery in Precision Agriculture: A Review and Future Prospects for Deep Learning Applications. Comput. Electron. Agric. 2021, 182, 106019. [Google Scholar] [CrossRef]
- Sishodia, R.P.; Ray, R.L.; Singh, S.K. Applications of Remote Sensing in Precision Agriculture: A Review. Remote Sens. 2020, 12, 3136. [Google Scholar] [CrossRef]
- Njuki, E.; Bravo-Ureta, B.E. Irrigation Water Use and Technical Efficiencies: Accounting for Technological and Environmental Heterogeneity Using Random Parameters Irrigation Water Use and Technical Efficiencies: Accounting for Technological and Environmental Heterogeneity in U.S. Agriculture Using Random Parameters. Water Res. Econ. 2018, 24, 1–12. [Google Scholar]
- Zeyliger, A.M.; Ermolaeva, O.S. Water Stress Regime of Irrigated Crops Based on Remote Sensing and Ground-Based Data. Agronomy 2021, 11, 1117. [Google Scholar] [CrossRef]
- Feddes, R.A.; Kowalik, P.J.; Zaradny, H. Simulation of Field Water Use and Crop Yield; Wiley: New York, NY, USA, 1978; ISBN 0470264632. [Google Scholar]
- Zeyliger, A.M.; Ermolaeva, O.S.; Muzylev, E.L.; Startseva, Z.P.; Sukharev, Y.I. Computer Analysis of Water Stress Regimes of an Irrigated Agrocoenosis Using the SWAP Model and Ground and Space Monitoring Data. Curr. Probl. Remote Sens. Earth Space 2019, 16, 33–43. [Google Scholar] [CrossRef]
- Pichugina, N.V. Natural and Agricultural Zoning of the Saratov Zavolzhja. Grozn. Estestv.’j Byulleten’ 2019, 4, 32–40. [Google Scholar]
- Su, Z. The Surface Energy Balance System (SEBS) for Estimation of Turbulent Heat Fluxes. Hydrol. Earth Syst. Sci. 2002, 6, 85–99. [Google Scholar] [CrossRef]
- Allen, R.G.; Pereira, L.S. Crop Evapotranspiration (Guidelines for Computing Crop Water Requirements). FAO Rome 1998, 300, D05109. [Google Scholar]
- Zeyliger, A.; Ermolaeva, O. Ocenka Ehffektivnosti Ispol’zovaniya Polivnoj Vody Posevami Sel’skohozyajstvennyh Kul’tur s Ispol’zovaniem Modeli SEBAL. In Proceedings of the Dvenadcataya Vserossijskaya Otkrytaya Konferenciya “Sovremennye Problemy Distancionnogo Zondirovaniya Zemli iz Kosmosa” Fizicheskie Osnovy, Metody i Tekhnologii Monitoringa Okruzhayushchej Sredy, Prirodnyh i Antropogennyh ob”ektov, Moscow, Russia, 10–14 November 2014; IKI RAN: Moscow, Russia, 2014. [Google Scholar]
- Zeyliger, A.; Ermolaeva, O. Informacionno-Tekhnologicheskie Osnovy Prostranstvenno-Differencirovannogo Dozhdevaniya Posevov Sel’skohozyajstvennyh Kul’tur. Mezhdunarodnyj Nauchno Issledovatel’skij Zhurnal 2016, 9-2, 41–44. [Google Scholar] [CrossRef]
- Zeyliger, A.; Ermolaeva, O. Komp’yuternyj Kod Ocenki Ehvapotranspiracii Agrocenozov Po Dannym DZZ. In Proceedings of the XIV Vserossijskaya Otkrytaya Konferenciya «SOVREMENNYE PROBLEMY DISTANCIONNOGO ZONDIROVANIYA ZEMLI IZ KOSMOSA» Fizicheskie Osnovy, Metody i Tekhnologii Monitoringa Okruzhayushchej Sredy, Potencial’no Opasnyh Yavlenij i ob’ektov, Moscow, Russia, 14–29 November 2016; IKI RAN: Moscow, Russia, 2016; p. 353. [Google Scholar]
- Zeyliger, A. Napravleniya i Instrumenty Informacionno- Tekhnologicheskogo Razvitiya Agrarnogo Sektora Ehkonomiki RF. In Proceedings of the Doklady TSKHA: Sbornik statej. Vyp. 289. CHast’ IV, Moscow, Russia, 6–8 December 2016; Izdatel’stvo RGAU-MSKHA: Moscow, Russia, 2017; pp. 24–26. [Google Scholar]
- Molden, D.; Sakthivadivel, R. Water Accounting to Assess Use and Productivity of Water. Int. J. Water Resour. Dev. 1999, 15, 55–71. [Google Scholar] [CrossRef]
- Zeyliger, A.; Ermolaeva, O.; Antonov, D.; Serebrennukov, F.; Kravchuk, A.; Zatinatsky, S. Results of the Analysis of Water Stress Regimes for Irrigated Crops Based on Remote Sensing Data. Adv. Sci. Technol. Innov. 2022, 319–322. [Google Scholar] [CrossRef]
- Zeiliger, A.M.; Ermolaeva, O.S. Informatsionnye Tekhnologii v Monitoringe Bogarnykh i Oroshaemykh Agrotsenozov (Information Technologies in Monitoring of the Bogarny and Irrigated Agrocenosis). Sovrem. Naukoemkie Tekhnologii 2016, 10, 62–66. [Google Scholar]
- Wichelns, D. Do Estimates of Water Productivity Enhance Understanding of Farm-Level Water Management? Water 2014, 6, 778–795. [Google Scholar] [CrossRef]
- Wichelns, D. Water Productivity and Water Footprints Are Not Helpful in Determining Optimal Water Allocations or Efficient Management Strategies. Water Int. 2015, 40, 1059–1070. [Google Scholar] [CrossRef]
- Steduto, P.; Hsiao, T.C.; Fereres, E.; Raes, D. Crop Yield Response to Water; Food and Agriculture Organization of the United Nations: Rome, Italy, 2012. [Google Scholar]
- Greaves, G.E.; Wang, Y.M. Yield Response, Water Productivity, and Seasonal Water Production Functions for Maize under Deficit Irrigation Water Management in Southern Taiwan. Plant Prod. Sci. 2017, 20, 353–365. [Google Scholar] [CrossRef]
- Grove, B.; Oosthuizen, L.K. Stochastic Efficiency Analysis of Deficit Irrigation with Standard Risk Aversion. Agric. Water Manag. 2010, 97, 792–800. [Google Scholar] [CrossRef]







| Crop | Water Productivity | Water Efficiency | ||||||||||
|---|---|---|---|---|---|---|---|---|---|---|---|---|
| , t/mm | Rank by | , mm/mm | Rank by | , mm/mm | Rank by | , mm/mm | Rank by | , mm/mm | Rank by | , mm/mm | Rank by | |
| 1 | 1.38 | 14 | 1.42 | 19 | 1.51 | 19 | 0.81 | 6 | 0.72 | 6 | 0.664 | 10 |
| 2 | 1.34 | 15 | 1.47 | 18 | 1.57 | 17 | 0.79 | 7 | 0.71 | 7 | 0.663 | 8 |
| 3 | 1.31 | 17 | 1.57 | 14 | 1.69 | 13 | 0.69 | 14 | 0.60 | 14 | 0.688 | 15 |
| 4 | 1.33 | 16 | 1.68 | 10 | 1.81 | 10 | 0.69 | 13 | 0.61 | 13 | 0.695 | 16 |
| 5 | 1.39 | 12 | 1.57 | 13 | 1.68 | 14 | 0.75 | 11 | 0.67 | 11 | 0.648 | 7 |
| 6 | 1.55 | 8 | 1.52 | 16 | 1.60 | 16 | 0.86 | 4 | 0.78 | 4 | 0.633 | 5 |
| 7 | 1.38 | 13 | 1.55 | 15 | 1.65 | 15 | 0.77 | 9 | 0.69 | 9 | 0.664 | 9 |
| 8 | 1.42 | 11 | 1.60 | 12 | 1.70 | 12 | 0.76 | 10 | 0.68 | 10 | 0.641 | 6 |
| 9 | 0.86 | 18 | 1.65 | 11 | 1.72 | 11 | 0.46 | 18 | 0.43 | 18 | 0.776 | 18 |
| 10 | 0.80 | 19 | 1.50 | 17 | 1.56 | 18 | 0.46 | 19 | 0.42 | 19 | 0.768 | 17 |
| 11 | 1.59 | 7 | 1.82 | 9 | 1.94 | 9 | 0.82 | 5 | 0.74 | 5 | 0.576 | 2 |
| 12 | 1.42 | 10 | 1.91 | 8 | 2.08 | 8 | 0.68 | 15 | 0.59 | 15 | 0.681 | 13 |
| 13 | 1.45 | 9 | 2.02 | 7 | 2.54 | 4 | 0.66 | 16 | 0.47 | 17 | 0.797 | 19 |
| 14 | 1.70 | 5 | 2.43 | 2 | 2.68 | 2 | 0.60 | 17 | 0.51 | 16 | 0.684 | 14 |
| 15 | 1.68 | 6 | 2.07 | 6 | 2.24 | 7 | 0.70 | 12 | 0.61 | 12 | 0.681 | 12 |
| 16 | 1.87 | 4 | 2.19 | 5 | 2.36 | 6 | 0.79 | 8 | 0.70 | 8 | 0.675 | 11 |
| 17 | 2.85 | 2 | 2.11 | 3 | 2.57 | 3 | 1.05 | 1 | 0.91 | 2 | 0.571 | 1 |
| 18 | 2.96 | 1 | 2.50 | 1 | 2.96 | 1 | 0.94 | 3 | 0.84 | 3 | 0.611 | 4 |
| 19 | 2.61 | 3 | 2.07 | 4 | 2.43 | 5 | 1.04 | 2 | 0.93 | 1 | 0.577 | 3 |
Disclaimer/Publisher’s Note: The statements, opinions and data contained in all publications are solely those of the individual author(s) and contributor(s) and not of MDPI and/or the editor(s). MDPI and/or the editor(s) disclaim responsibility for any injury to people or property resulting from any ideas, methods, instructions or products referred to in the content. |
© 2023 by the authors. Licensee MDPI, Basel, Switzerland. This article is an open access article distributed under the terms and conditions of the Creative Commons Attribution (CC BY) license (https://creativecommons.org/licenses/by/4.0/).
Share and Cite
Zeyliger, A.M.; Ermolaeva, O.S.; Pchelkin, V.V. Assessment of Irrigation Efficiency by Coupling Remote Sensing and Ground-Based Data: Case Study of Sprinkler Irrigation of Alfalfa in the Saratovskoye Zavolgie Region of Russia. Sensors 2023, 23, 2601. https://doi.org/10.3390/s23052601
Zeyliger AM, Ermolaeva OS, Pchelkin VV. Assessment of Irrigation Efficiency by Coupling Remote Sensing and Ground-Based Data: Case Study of Sprinkler Irrigation of Alfalfa in the Saratovskoye Zavolgie Region of Russia. Sensors. 2023; 23(5):2601. https://doi.org/10.3390/s23052601
Chicago/Turabian StyleZeyliger, Anatoly Mikhailovich, Olga Sergeevna Ermolaeva, and Viktor Vladimirovich Pchelkin. 2023. "Assessment of Irrigation Efficiency by Coupling Remote Sensing and Ground-Based Data: Case Study of Sprinkler Irrigation of Alfalfa in the Saratovskoye Zavolgie Region of Russia" Sensors 23, no. 5: 2601. https://doi.org/10.3390/s23052601
APA StyleZeyliger, A. M., Ermolaeva, O. S., & Pchelkin, V. V. (2023). Assessment of Irrigation Efficiency by Coupling Remote Sensing and Ground-Based Data: Case Study of Sprinkler Irrigation of Alfalfa in the Saratovskoye Zavolgie Region of Russia. Sensors, 23(5), 2601. https://doi.org/10.3390/s23052601

