Influences of CNT Dispersion Methods, W/C Ratios, and Concrete Constituents on Piezoelectric Properties of CNT-Modified Smart Cementitious Materials
Abstract
1. Introduction
2. Materials and Methods
2.1. Materials
2.2. CNT Dispersion Methods
2.3. Samples Preparation
2.4. Experimental Setup
3. Results
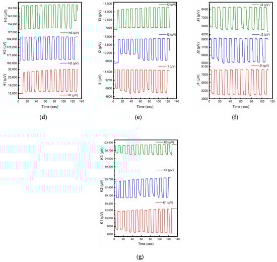
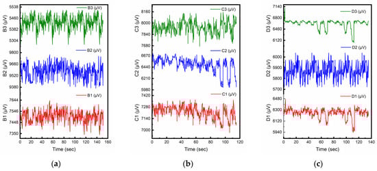
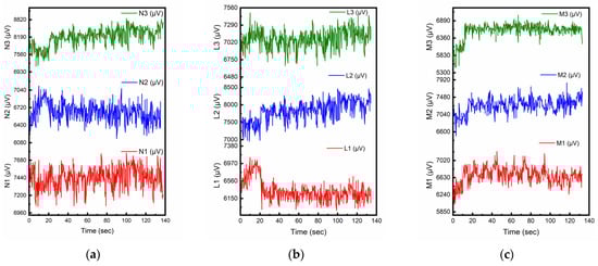
3.1. Direct Mixing Method
3.2. CMC Surface Treatment Method
3.3. NaDDBS Surface Treatment Method
4. Discussion
4.1. Influences of Dispersion Methods
4.2. Influences of The Water Cement Ratios
4.3. Influences of Concrete Constituents
5. Conclusions and Future Work
- The comparison between three different dispersion methods showed that the CNT-modified cementitious materials with CMC surface treatment showed functional and significant piezoelectric responses with better consistency, whereas direct mixing and NaDDBS surface treatment failed to exhibit an obvious piezoelectricity in CNT-modified cementitious materials.
- With the increase in the W/C cement ratio, the piezoelectric sensitivities of both CNT-modified cementitious materials with and without sand addition were improved significantly, which was consistent with previous research findings. Specifically, this study found that by increasing the W/C ratio from 0.4 to 0.6, the piezoelectric responses can potentially increase by more than eight times.
- Adding aggregates significantly reduced the piezoelectric sensitivities of CNT-modified cementitious materials. Especially, for CNT-modified smart concrete with both fine and coarse aggregates, the sensing ability could decline to 78% of that of pure cement. When fabricating CNT-modified smart concrete, the influences of aggregates should be considered.
Author Contributions
Funding
Institutional Review Board Statement
Informed Consent Statement
Data Availability Statement
Acknowledgments
Conflicts of Interest
References
- Zhang, H.; Bilotti, E.; Peijs, T. The use of carbon nanotubes for damage sensing and structural health monitoring in laminated composites: A review. Nanocomposites 2015, 1, 167–184. [Google Scholar] [CrossRef]
- Thostenson, E.; Chou, T.-W. Carbon Nanotube-Based Health Monitoring of Mechanically Fastened Composite Joints. Compos. Sci. Technol. 2008, 68, 2557–2561. [Google Scholar] [CrossRef]
- Agdas, D.; Bridge, J.; Martinez, J.; Lasa, I. Comparison of Visual Inspection and Structural-Health Monitoring As Bridge Condition Assessment Methods. J. Perform. Constr. Facil. 2015, 30, 04015049. [Google Scholar] [CrossRef]
- Insa-Iglesias, M.; Jenkins, M.D.; Morison, G. 3D visual inspection system framework for structural condition monitoring and analysis. Autom. Constr. 2021, 128, 103755. [Google Scholar] [CrossRef]
- Lopez-Higuera, J.M.; Cobo, L.R.; Incera, A.Q.; Cobo, A. Fiber Optic Sensors in Structural Health Monitoring. J. Light. Technol. 2011, 29, 587–608. [Google Scholar] [CrossRef]
- Dong, B.; Xing, F.; Li, Z. Electrical Response of Cement-Based Piezoelectric Ceramic Composites under Mechanical Loadings. Smart Mater. Res. 2011, 2011, 236719. [Google Scholar] [CrossRef]
- Rizzo, P.; Enshaeian, A. Challenges in Bridge Health Monitoring: A Review. Sensors 2021, 21, 4336. [Google Scholar] [CrossRef]
- Kralovec, C.; Schagerl, M. Review of Structural Health Monitoring Methods Regarding a Multi-Sensor Approach for Damage Assessment of Metal and Composite Structures. Sensors 2020, 20, 826. [Google Scholar] [CrossRef]
- Abdullah, W.; Mohammed, A.; Abdullah, A. Self Sensing Concrete: A Brief Review. In Proceedings of the ISER 211th International Conference, Sydney, Australia, 24–25 July 2019. [Google Scholar]
- Han, B.; Ramachandran, K.P.V.; Murali, G.; Vatin, N. A Review on Principles, Theories and Materials for Self Sensing Concrete for Structural Applications. Materials 2022, 15, 3831. [Google Scholar]
- Le, H.V.; Kim, M.K.; Kim, S.U.; Chung, S.-Y.; Kim, D.J. Enhancing self-stress sensing ability of smart ultra-high performance concretes under compression by using nano functional fillers. J. Build. Eng. 2021, 44, 102717. [Google Scholar] [CrossRef]
- Ding, S.; Ruan, Y.; Yu, X.; Han, B.; Ni, Y.-Q. Self-monitoring of smart concrete column incorporating CNT/NCB composite fillers modified cementitious sensors. Constr. Build. Mater. 2019, 201, 127–137. [Google Scholar] [CrossRef]
- Egorov, V.I.; Maksimova, O.G.; Koibuchi, H.; Jug, G.; Bernard, C.; Chenal, J.M.; Lame, O.; Diguet, G.; Sebald, G.; Cavaillé, J.Y.; et al. Finsler geometry modeling of reverse piezoelectric effect in PVDF. J. Phys. Conf. Ser. 2019, 1391, 012014. [Google Scholar] [CrossRef]
- D’Alessandro, A.; Meoni, A.; Ubertini, F.; Materazzi, A. Strain Measurement in a Reinforced Concrete Beam Using Embedded Smart Concrete Sensors; Springer International Publishing: New York, NY, USA, 2020. [Google Scholar]
- Cullinan, M.; Panas, R.; DiBiasio, C.; Culpepper, M. Scaling electromechanical sensors down to the nanoscale. Sens. Actuators A Phys. 2012, 187, 162–173. [Google Scholar] [CrossRef]
- D’Alessandro, A.; Ubertini, F.; Materazzi, A.L. Self-sensing concrete nanocomposites for smart structures. Int. J. Civ. Environ. Eng. 2016, 10, 599–604. [Google Scholar]
- Teng, F.; Luo, J.; Gao, Y.; Zhou, X.; Zhang, J.; Gao, S.; Sun, S. Piezoresistive/piezoelectric intrinsic sensing properties of carbon nanotube cement-based smart composite and its electromechanical sensing mechanisms: A review. Nanotechnol. Rev. 2021, 10, 1873–1894. [Google Scholar] [CrossRef]
- Mendoza Reales, O.A.; Dias Toledo Filho, R. A review on the chemical, mechanical and microstructural characterization of carbon nanotubes-cement based composites. Constr. Build. Mater. 2017, 154, 697–710. [Google Scholar] [CrossRef]
- Alessandro, A.D.; Ubertini, F.; Materazzi, A.L.; Laflamme, S.; Cancelli, A.; Micheli, L. Carbon cement-based sensors for dynamic monitoring of structures. In Proceedings of the 2016 IEEE 16th International Conference on Environment and Electrical Engineering (EEEIC), Florence, Italy, 7–10 June 2016; pp. 1–4. [Google Scholar]
- Il’ina, M.V.; Il’in, O.I.; Blinov, Y.F.; Konshin, A.A.; Konoplev, B.G.; Ageev, O.A. Piezoelectric Response of Multi-Walled Carbon Nanotubes. Materials 2018, 11, 638. [Google Scholar] [CrossRef]
- Ruoff, R.; Qian, D.; Liu, W. Mechanical properties of carbon nanotubes: Theoretical predictions and experimental measurements. C. R. Phys. 2003, 4, 993–1008. [Google Scholar] [CrossRef]
- Kim, H.-i.; Wang, M.; Lee, S.K.; Kang, J.; Nam, J.-D.; Ci, L.; Suhr, J. Tensile properties of millimeter-long multi-walled carbon nanotubes. Sci. Rep. 2017, 7, 9512. [Google Scholar] [CrossRef]
- Gillani, S.S.-u.-H.; Khitab, A.; Ahmad, S.; Khushnood, R.A.; Ferro, G.A.; Saleem Kazmi, S.M.; Qureshi, L.A.; Restuccia, L. Improving the mechanical performance of cement composites by carbon nanotubes addition. Procedia Struct. Integr. 2017, 3, 11–17. [Google Scholar] [CrossRef]
- Rocha, V.; Ludvig, P. Influence of Carbon Nanotubes on the Mechanical Behavior and Porosity of Cement Pastes Prepared by A Dispersion on Cement Particles in Isopropanol Suspension. Materials 2020, 13, 3164. [Google Scholar] [CrossRef] [PubMed]
- Chia, L.; Huang, Y. Dispersion effectiveness of carbon nanotubes in smart cementitious materials. Adv. Cem. Res. 2017, 29, 246–257. [Google Scholar] [CrossRef]
- Wang, J.; Pui, D.Y.H. Dispersion and filtration of carbon nanotubes (CNTs) and measurement of nanoparticle agglomerates in diesel exhaust. Chem. Eng. Sci. 2013, 85, 69–76. [Google Scholar] [CrossRef][Green Version]
- Zhang, D.; Huang, Y.; Wang, Y. Bonding performances of epoxy coatings reinforced by carbon nanotubes (CNTs) on mild steel substrate with different surface roughness. Compos. Part A Appl. Sci. Manuf. 2021, 147, 106479. [Google Scholar] [CrossRef]
- Silvestro, L.; Jean Paul Gleize, P. Effect of carbon nanotubes on compressive, flexural and tensile strengths of Portland cement-based materials: A systematic literature review. Constr. Build. Mater. 2020, 264, 120237. [Google Scholar] [CrossRef]
- Zhang, D.; Huang, Y. Dispersion characterizations and adhesion properties of epoxy composites reinforced by carboxymethyl cellulose surface treated carbon nanotubes. Powder Technol. 2022, 404, 117505. [Google Scholar] [CrossRef]
- Yu, X.; Kwon, E. A carbon nanotube/cement composite with piezoresistive properties. Smart Mater. Struct. 2009, 18, 055010. [Google Scholar] [CrossRef]
- Huang, Y.Y.; Terentjev, E.M. Dispersion of Carbon Nanotubes: Mixing, Sonication, Stabilization, and Composite Properties. Polymers 2012, 4, 275–295. [Google Scholar] [CrossRef]
- Mendoza Reales, O.; Arias, Y.; Delgado, C.; Ochoa, J.; Quintero-Orozco, J.; Toledo Filho, R. Surfactants as Dispersants for Carbon Nanotubes in Water: Hydration of Cement. In Proceedings of the 10th ACI/RILEM International Conference on Cementitious Materials and Alternative Binders for Sustainable Concrete, Montreal, QC, Canada, 2–4 October 2017. [Google Scholar]
- Han, B.; Yu, X. Effect of Surfactants on Pressure-Sensitivity of CNT Filled Cement Mortar Composites. Front. Mater. 2014, 1, 27. [Google Scholar] [CrossRef]
- Han, B.; Yu, X.; Kwon, E. A self-sensing carbon nanotube/cement composite for traffic monitoring. Nanotechnology 2012, 20, 445501. [Google Scholar] [CrossRef]
- Adresi, M.; Hassani, A.; Javadian, S.; Tulliani, J.-M. Determining the Surfactant Consistent with Concrete in order to Achieve the Maximum Possible Dispersion of Multiwalled Carbon Nanotubes in Keeping the Plain Concrete Properties. J. Nanotechnol. 2016, 2016, 2864028. [Google Scholar] [CrossRef]
- Mendoza Reales, O.; Ocampo, C.; Arias, Y.; Ochoa, J.; Quintero-Orozco, J.; Silva, E.; Toledo Filho, R. Reinforcing Effect of Carbon Nanotubes/Surfactant Dispersions in Portland Cement Pastes. Adv. Civ. Eng. 2018, 2018, 2057940. [Google Scholar] [CrossRef]
- Chia, L.; Huang, Y.; Lu, P.; Bezbaruah, A.N. Surface Modification of Carbon Nanotubes Using Carboxymethyl Cellulose for Enhanced Stress Sensing in Smart Cementitious Composites. IEEE Sens. J. 2021, 21, 15218–15229. [Google Scholar] [CrossRef]
- Han, B.; Yu, X.; Ou, J. (Eds.) Chapter 10—Carbon-Nanotube-Based Self-Sensing Concrete. In Self-Sensing Concrete in Smart Structures; Butterworth-Heinemann: Oxford, UK, 2014; pp. 315–359. [Google Scholar]
- Zhu, P.; Deng, G.; Shao, X. Review on Dispersion Methods of Carbon Nanotubes in Cement-based Composites. Cailiao Daobao/Mater. Rev. 2018, 32, 149–158, 166. [Google Scholar] [CrossRef]
- Zhang, D.; Huang, Y. The bonding performances of carbon nanotube (CNT)-reinforced epoxy adhesively bonded joints on steel substrates. Prog. Org. Coat. 2021, 159, 106407. [Google Scholar] [CrossRef]
- Dinesh, A.; Sudharsan, S.T.; Haribala, S. Self-sensing cement-based sensor with carbon nanotube: Fabrication and properties—A review. Mater. Today Proc. 2021, 46, 5801–5807. [Google Scholar] [CrossRef]
- Dong, W.; Li, W.; Luo, Z.; Guo, Y.; Wang, K. Effect of layer-distributed carbon nanotube (CNT) on mechanical and piezoresistive performance of intelligent cement-based sensor. Nanotechnology 2020, 31, 505503. [Google Scholar] [CrossRef]
- Vaisman, L.; Wagner, H.D.; Marom, G. The role of surfactants in dispersion of carbon nanotubes. Adv. Colloid Interface Sci. 2006, 128–130, 37–46. [Google Scholar] [CrossRef]
- Karmakar, S. Electric polarization and depolarization in cement-based materials, studied by apparent electrical resistance measurement. Eur. Phys. J. Plus 2021, 136, 481–485. [Google Scholar]
- Cao, J.; Chung, D.D.L. The role of surfactants in dispersion of carbon nanotubes. Cem. Concr. Res. 2004, 34, 481–485. [Google Scholar] [CrossRef]
- Zhang, D.-W.; Chia, L.; Huang, Y. Effect of Carboxymethyl Cellulose (CMC) Functionalization on Dispersion, Mechanical, and Corrosion Properties of CNT/Epoxy Nanocomposites. Chin. J. Polym. Sci. 2023, 1–10. [Google Scholar] [CrossRef]











| Parameters | Specifications |
|---|---|
| Purity | >95 wt.% |
| Outside diameter | 50–100 nm |
| Inside diameter | 5–10 nm |
| Length | 5–20 um |
| SSA | >60 m2/g |
| Ash | <1.5 wt% |
| Amorphous carbon | <3.0% |
| Electrical conductivity | >100 s/cm |
| Bulk density | 0.28 g/cm3 |
| True density | ~2.1 g/cm3 |
| Dispersion Method | Group | Number of Samples | Description | W/C Ratio | Design Mix |
|---|---|---|---|---|---|
| None | A | 3 | Control (No CNTs and CMC) | 0.6 | 1:2 Cement: Sand |
| Method 1: Direct Mixing | B | 3 | 0.1% CNTs | 0.6 | 1:2 Cement: Sand |
| C | 3 | 0.1% CNTs | 0.5 | 1:2 Cement: Sand | |
| D | 3 | 0.1% CNTs | 0.4 | 1:2 Cement: Sand | |
| Method 2: CMC Surface Treatment | E | 3 | 0.1% CNTs + 0.5% CMC | 0.6 | Cement |
| F | 3 | 0.1% CNTs + 0.5% CMC | 0.5 | Cement | |
| G | 3 | 0.1% CNTs + 0.5% CMC | 0.4 | Cement | |
| H | 3 | 0.1% CNTs + 0.5% CMC | 0.6 | 1:2 Cement: Sand | |
| I | 3 | 0.1% CNTs + 0.5% CMC | 0.5 | 1:2 Cement: Sand | |
| J | 3 | 0.1% CNTs + 0.5% CMC | 0.4 | 1:2 Cement: Sand | |
| K | 3 | 0.1% CNTs + 0.5% CMC | Optimal W/C | 1:2:3 Cement: Sand: Coarse aggregate | |
| Method 3: NaDDBS Surface Treatment | L | 3 | 0.1% CNTs + 0.5% NaDDBS + 0.25% deformer | Optimal W/C | 1:2 Cement: Sand |
| M | 3 | 0.1% CNTs + 0.5% NaDDBS + 0.25% deformer | Optimal W/C | 1:2:3 Cement: Sand: Coarse aggregate | |
| N | 3 | 0.1% CNTs + 0.5% NaDDBS + 0.25% deformer | Optimal W/C | Cement |
Disclaimer/Publisher’s Note: The statements, opinions and data contained in all publications are solely those of the individual author(s) and contributor(s) and not of MDPI and/or the editor(s). MDPI and/or the editor(s) disclaim responsibility for any injury to people or property resulting from any ideas, methods, instructions or products referred to in the content. |
© 2023 by the authors. Licensee MDPI, Basel, Switzerland. This article is an open access article distributed under the terms and conditions of the Creative Commons Attribution (CC BY) license (https://creativecommons.org/licenses/by/4.0/).
Share and Cite
Jannat, T.; Huang, Y.; Zhou, Z.; Zhang, D. Influences of CNT Dispersion Methods, W/C Ratios, and Concrete Constituents on Piezoelectric Properties of CNT-Modified Smart Cementitious Materials. Sensors 2023, 23, 2602. https://doi.org/10.3390/s23052602
Jannat T, Huang Y, Zhou Z, Zhang D. Influences of CNT Dispersion Methods, W/C Ratios, and Concrete Constituents on Piezoelectric Properties of CNT-Modified Smart Cementitious Materials. Sensors. 2023; 23(5):2602. https://doi.org/10.3390/s23052602
Chicago/Turabian StyleJannat, Tofatun, Ying Huang, Zhi Zhou, and Dawei Zhang. 2023. "Influences of CNT Dispersion Methods, W/C Ratios, and Concrete Constituents on Piezoelectric Properties of CNT-Modified Smart Cementitious Materials" Sensors 23, no. 5: 2602. https://doi.org/10.3390/s23052602
APA StyleJannat, T., Huang, Y., Zhou, Z., & Zhang, D. (2023). Influences of CNT Dispersion Methods, W/C Ratios, and Concrete Constituents on Piezoelectric Properties of CNT-Modified Smart Cementitious Materials. Sensors, 23(5), 2602. https://doi.org/10.3390/s23052602

