Mobility of LoRaWAN Gateways for Efficient Environmental Monitoring in Pristine Sites
Abstract
1. Introduction
- We propose a novel architecture for a reliable data collection technique for environmental monitoring in pristine sites using a mobile vehicle-mounted LoRaWAN gateway.
- We analyze different gateway dispatching scenarios and investigate the trade-off between power consumption, end-nodes’ battery life, the freshness of data, and communication reliability.
- We setup and implement real experiments to validate the derived results and the MATLAB simulation results of all proposed scenarios.
- We present a case study of the synchronized transmission scenario in Wadi El-Gemal using the ns-3® network simulator.
2. Background and Related Work
2.1. Background
2.2. Related Work
3. Methodology
3.1. System, Signal, and Channel Models
3.1.1. Mobility Consideration: Doppler Shift
3.1.2. Mobility Consideration: Spreading Factor Allocation and Visibility Time
3.1.3. Path Loss Model
3.2. Gateway Arrival Scenarios
3.2.1. Synchronized Transmission
3.2.2. Semisynchronized Transmission
3.2.3. Nonsynchronized Transmission
3.3. Power Consumption Model
4. Results and Discussion
- Real Experiment Setup
- Simulation Setup
4.1. Effect of Mobility on the Performance Measures
4.2. Simulation of Gateway Arrival Scenarios
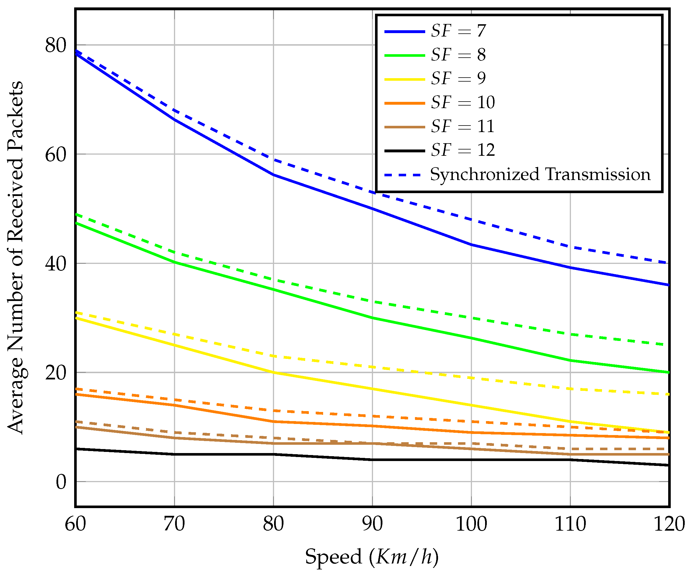
4.2.1. The Synchronized Scenario
4.2.2. The Semisynchronized Scenario
4.2.3. The Nonsynchronized Scenario
4.3. Wadi El-Gemal: A Case Study
5. Conclusions and Future Work
Author Contributions
Funding
Conflicts of Interest
References
- Karagulian, F.; Barbiere, M.; Kotsev, A.; Spinelle, L.; Gerboles, M.; Lagler, F.; Redon, N.; Crunaire, S.; Borowiak, A. Review of the performance of low-cost sensors for air quality monitoring. Atmosphere 2019, 10, 506. [Google Scholar] [CrossRef]
- Salman, N.; Kemp, A.H.; Khan, A.; Noakes, C. Real time wireless sensor network (WSN) based indoor air quality monitoring system. IFAC-PapersOnLine 2019, 52, 324–327. [Google Scholar] [CrossRef]
- Lueker, J.; Bardhan, R.; Sarkar, A.; Norford, L. Indoor air quality among Mumbai’s resettled populations: Comparing Dharavi slum to nearby rehabilitation sites. Build. Environ. 2020, 167, 106419. [Google Scholar] [CrossRef]
- Liu, D.; Cao, C.; Chen, W.; Ni, X.; Tian, R.; Xing, X. Monitoring and predicting the degradation of a semi-arid wetland due to climate change and water abstraction in the Ordos Larus relictus National Nature Reserve, China. Geomat. Nat. Hazards Risk 2017, 8, 367–383. [Google Scholar]
- Chen, Y.; Qiao, S.; Zhang, G.; Xu, Y.J.; Chen, L.; Wu, L. Investigating the potential use of Sentinel-1 data for monitoring wetland water level changes in China’s Momoge National Nature Reserve. PeerJ 2020, 8, e8616. [Google Scholar] [CrossRef] [PubMed]
- Dhingra, S.; Madda, R.B.; Gandomi, A.H.; Patan, R.; Daneshmand, M. Internet of Things mobile–air pollution monitoring system (IoT-Mobair). IEEE Internet Things J. 2019, 6, 5577–5584. [Google Scholar] [CrossRef]
- Asha, P.; Natrayan, L.; Geetha, B.; Beulah, J.R.; Sumathy, R.; Varalakshmi, G.; Neelakandan, S. IoT enabled environmental toxicology for air pollution monitoring using AI techniques. Environ. Res. 2022, 205, 112574. [Google Scholar]
- Toma, C.; Alexandru, A.; Popa, M.; Zamfiroiu, A. IoT solution for smart cities’ pollution monitoring and the security challenges. Sensors 2019, 19, 3401. [Google Scholar]
- Ullo, S.L.; Sinha, G.R. Advances in smart environment monitoring systems using IoT and sensors. Sensors 2020, 20, 3113. [Google Scholar]
- Surendran, N.S.; Siddiqui, N.A.; Mondal, P.; Nandan, A. Repercussion of electromagnetic radiation from cell towers/mobiles and their impact on migratory birds. In Advances in Air Pollution Profiling and Control; Springer: Berlin/Heidelberg, Germany, 2020; pp. 193–202. [Google Scholar]
- Deruelle, F. The different sources of electromagnetic fields: Dangers are not limited to physical health. Electromagn. Biol. Med. 2020, 39, 166–175. [Google Scholar]
- Levitt, B.B.; Lai, H.C.; Manville, A.M. Effects of non-ionizing electromagnetic fields on flora and fauna, part 1. Rising ambient EMF levels in the environment. Rev. Environ. Health 2022, 37, 81–122. [Google Scholar] [CrossRef] [PubMed]
- Manfreda, S.; McCabe, M.F.; Miller, P.E.; Lucas, R.; Pajuelo Madrigal, V.; Mallinis, G.; Ben Dor, E.; Helman, D.; Estes, L.; Ciraolo, G.; et al. On the use of unmanned aerial systems for environmental monitoring. Remote Sens. 2018, 10, 641. [Google Scholar] [CrossRef]
- Tmušić, G.; Manfreda, S.; Aasen, H.; James, M.; Gonçalves, G.; Ben-Dor, E.; Brook, A.; Polinova, M.; Arranz, J.; Mészáros, J.; et al. Current practices in UAS-based environmental monitoring. Remote Sens. 2020, 12, 1001. [Google Scholar] [CrossRef]
- Ikkala, L.; Ronkanen, A.K.; Ilmonen, J.; Similä, M.; Rehell, S.; Kumpula, T.; Päkkilä, L.; Klöve, B.; Marttila, H. Unmanned Aircraft System (UAS) Structure-From-Motion (SfM) for Monitoring the Changed Flow Paths and Wetness in Minerotrophic Peatland Restoration. Remote Sens. 2022, 14, 3169. [Google Scholar] [CrossRef]
- Khanal, S.; Kc, K.; Fulton, J.P.; Shearer, S.; Ozkan, E. Remote sensing in agriculture—Accomplishments, limitations, and opportunities. Remote Sens. 2020, 12, 3783. [Google Scholar] [CrossRef]
- Li, J.; Pei, Y.; Zhao, S.; Xiao, R.; Sang, X.; Zhang, C. A review of remote sensing for environmental monitoring in China. Remote Sens. 2020, 12, 1130. [Google Scholar] [CrossRef]
- Chiaraviglio, L.; Elzanaty, A.; Alouini, M.S. Health risks associated with 5G exposure: A view from the communications engineering perspective. IEEE Open J. Commun. Soc. 2021, 2, 2131–2179. [Google Scholar] [CrossRef]
- Elzanaty, A.; Chiaraviglio, L.; Alouini, M.S. 5G and EMF exposure: Misinformation, open questions, and potential solutions. Front. Commun. Netw. 2021, 2, 635716. [Google Scholar] [CrossRef]
- Ali, Z.; Henna, S.; Akhunzada, A.; Raza, M.; Kim, S.W. Performance evaluation of LoRaWAN for green Internet of Things. IEEE Access 2019, 7, 164102–164112. [Google Scholar] [CrossRef]
- Capuzzo, M.; Delgado, C.; Sultania, A.K.; Famaey, J.; Zanella, A. Enabling Green IoT: Energy-Aware Communication Protocols for Battery-less LoRaWAN Devices. In Proceedings of the 24th International ACM Conference on Modeling, Analysis and Simulation of Wireless and Mobile Systems, Alicante, Spain, 22–26 November 2021; pp. 95–98. [Google Scholar]
- Banti, K.; Karampelia, I.; Dimakis, T.; Boulogeorgos, A.A.A.; Kyriakidis, T.; Louta, M. LoRaWAN Communication Protocols: A Comprehensive Survey under an Energy Efficiency Perspective. Telecom 2022, 3, 322–357. [Google Scholar] [CrossRef]
- Bates, H.; Pierce, M.; Benter, A. Real-Time Environmental Monitoring for Aquaculture Using a LoRaWAN-Based IoT Sensor Network. Sensors 2021, 21, 7963. [Google Scholar] [CrossRef]
- Wang, Y.; Huang, Y.; Song, C. A new smart sensing system using LoRaWAN for environmental monitoring. In Proceedings of the 2019 Computing, Communications and IoT Applications (ComComAp), Shenzhen, China, 26–28 October 2019; pp. 347–351. [Google Scholar]
- Zhang, Y.; Love, D.J.; Krogmeier, J.V.; Anderson, C.R.; Heath, R.W.; Buckmaster, D.R. Challenges and opportunities of future rural wireless communications. IEEE Commun. Mag. 2021, 59, 16–22. [Google Scholar] [CrossRef]
- Soliman, M.A.; El Kafrawy, S.B.; Said, R.E.; Saber, S.A.; Muller-Karger, F.E. Geomatics approach to assess nesting habitat of green turtles Wadi El Gemal, Red Sea, Egypt. Egypt. J. Remote Sens. Space Sci. 2021, 24, 815–824. [Google Scholar] [CrossRef]
- Fakhry, A.M.; El-Keblawy, A.; Shabana, H.A.; Gamal, I.E.; Shalouf, A. Microhabitats affect population size and plant vigor of three critically endangered endemic plants in Southern Sinai Mountains, Egypt. Land 2019, 8, 86. [Google Scholar] [CrossRef]
- Tawfik, R.; Sarhan, M. Ecotourism and Protected Areas Sustainable Financing: A Case Study of Wadi El Gemal Visitor Center. J. Spat. Organ. Dyn. 2021, 9, 156–172. [Google Scholar]
- Alliance, L. A Technical Overview of LoRa and LoRaWAN; White Paper Technical report; The LoRa Alliance: San Ramon, CA, USA, 2015. [Google Scholar]
- Chiani, M.; Elzanaty, A. On the LoRa modulation for IoT: Waveform properties and spectral analysis. IEEE Internet Things J. 2019, 6, 8463–8470. [Google Scholar] [CrossRef]
- Marais, J.M.; Malekian, R.; Abu-Mahfouz, A.M. LoRaand LoRaWAN testbeds: A review. In Proceedings of the 2017 IEEE AFRICON, Cape Town, South Africa, 18–20 September 2017; pp. 1496–1501. [Google Scholar]
- Alliance, L. LoRaWAN® 1.0.4 Specification; Technical Report; LoRa Alliance: San Ramon, CA, USA, 2020. [Google Scholar]
- Pianini, D.; Elzanaty, A.; Giorgetti, A.; Chiani, M. Emerging distributed programming paradigm for cyber-physical systems over LoRaWANs. In Proceedings of the 2018 IEEE Globecom Workshops (GC Wkshps), Abu Dhabi, United Arab Emirates, 9–13 December 2018; pp. 1–6. [Google Scholar]
- Hidayat, M.; Nugroho, A.; Sutiarso, L.; Okayasu, T. Development of environmental monitoring systems based on LoRa with cloud integration for rural area. In IOP Conference Series: Earth and Environmental Science; IOP Publishing: Bristol, UK, 2019; Volume 355, p. 012010. [Google Scholar]
- Klaina, H.; Guembe, I.P.; Lopez-Iturri, P.; Campo-Bescós, M.Ã.; Azpilicueta, L.; Aghzout, O.; Alejos, A.V.; Falcone, F. Analysis of low power wide area network wireless technologies in smart agriculture for large-scale farm monitoring and tractor communications. Measurement 2022, 187, 110231. [Google Scholar] [CrossRef]
- Li, M.; Lin, C.; Ren, J.; Jiang, F. A wireless ecological aquaculture water quality monitoring system based on LoRa technology. In Proceedings of the 2019 International Conference on Wireless Communication, Network and Multimedia Engineering (WCNME 2019), Guilin, China, 21–22 April 2019; Atlantis Press: Amsterdam, The Netherlands, 2019; pp. 5–7. [Google Scholar]
- Zhang, H.; Li, C., II; Hua, Z., III; Ren, W.; Gao, Y.; Hao, Z. Design of aquaculture monitoring system based on LoRa and 4G network of Internet of Things. In Proceedings of the Thirteenth International Conference on Digital Image Processing (ICDIP 2021) SPIE, Singapore, 20–23 May 2021; Volume 11878, pp. 630–635. [Google Scholar]
- Al mojamed, M. On the Use of LoRaWAN for Mobile Internet of Things: The Impact of Mobility. Appl. Syst. Innov. 2021, 5, 5. [Google Scholar] [CrossRef]
- Tamang, D.; Pozzebon, A.; Parri, L.; Fort, A.; Abrardo, A. Designing a reliable and low-latency LoRaWAN solution for environmental monitoring in factories at major accident risk. Sensors 2022, 22, 2372. [Google Scholar] [CrossRef]
- Hristov, G.; Raychev, J.; Kinaneva, D.; Zahariev, P. Emerging methods for early detection of forest fires using unmanned aerial vehicles and lorawan sensor networks. In Proceedings of the 2018 28th EAEEIE Annual Conference (EAEEIE), Hafnarfjordur, Iceland, 26–28 September 2018; pp. 1–9. [Google Scholar]
- Pan, M.; Chen, C.; Yin, X.; Huang, Z. UAV-Aided Emergency Environmental Monitoring in Infrastructure-Less Areas: LoRa Mesh Networking Approach. IEEE Internet Things J. 2021, 9, 2918–2932. [Google Scholar] [CrossRef]
- Sanchez-Iborra, R.; Sanchez-Gomez, J.; Ballesta-Viñas, J.; Cano, M.D.; Skarmeta, A.F. Performance evaluation of LoRa considering scenario conditions. Sensors 2018, 18, 772. [Google Scholar] [CrossRef] [PubMed]
- Kousias, K.; Caso, G.; Alay, Ö.; Lemic, F. Empirical analysis of lorawan adaptive data rate for mobile internet of things applications. In Proceedings of the 2019 on Wireless of the Students, by the Students, and for the Students Workshop, Los Cabos, Mexico, 21 October 2019; pp. 9–11. [Google Scholar]
- Anwar, K.; Rahman, T.; Zeb, A.; Khan, I.; Zareei, M.; Vargas-Rosales, C. Rm-adr: Resource management adaptive data rate for mobile application in lorawan. Sensors 2021, 21, 7980. [Google Scholar] [CrossRef] [PubMed]
- Farhad, A.; Kim, D.H.; Kim, B.H.; Mohammed, A.F.Y.; Pyun, J.Y. Mobility-aware resource assignment to IoT applications in long-range wide area networks. IEEE Access 2020, 8, 186111–186124. [Google Scholar] [CrossRef]
- Ayoub, W.; Samhat, A.E.; Nouvel, F.; Mroue, M.; Prévotet, J.C. Internet of mobile things: Overview of lorawan, dash7, and nb-iot in lpwans standards and supported mobility. IEEE Commun. Surv. Tutor. 2018, 21, 1561–1581. [Google Scholar] [CrossRef]
- Di Renzone, G.; Parrino, S.; Peruzzi, G.; Pozzebon, A. LoRaWAN in motion: Preliminary tests for real time low power data gathering from vehicles. In Proceedings of the 2021 IEEE International Workshop on Metrology for Automotive (MetroAutomotive), Bologna, Italy, 1–2 July 2021; pp. 232–236. [Google Scholar]
- Delafontaine, V.; Schiano, F.; Cocco, G.; Rusu, A.; Floreano, D. Drone-aided localization in LoRa IoT networks. In Proceedings of the 2020 IEEE International Conference on Robotics and Automation (ICRA), Paris, France, 31 May–31 August 2020; pp. 286–292. [Google Scholar]
- Mason, F.; Chiariotti, F.; Capuzzo, M.; Magrin, D.; Zanella, A.; Zorzi, M. Combining LoRaWAN and a new 3D motion model for remote UAV tracking. In Proceedings of the IEEE INFOCOM 2020-IEEE Conference on Computer Communications Workshops (INFOCOM WKSHPS), Toronto, ON, Canada, 6–9 July 2020; pp. 412–417. [Google Scholar]
- Stellin, M.; Sabino, S.; Grilo, A. LoRaWAN networking in mobile scenarios using a WiFi mesh of UAV gateways. Electronics 2020, 9, 630. [Google Scholar] [CrossRef]
- Saraereh, O.A.; Alsaraira, A.; Khan, I.; Uthansakul, P. Performance evaluation of UAV-enabled LoRa networks for disaster management applications. Sensors 2020, 20, 2396. [Google Scholar] [CrossRef]
- Ghazali, M.H.M.; Teoh, K.; Rahiman, W. A systematic review of real-time deployments of UAV-based Lora communication network. IEEE Access 2021, 9, 124817–124830. [Google Scholar] [CrossRef]
- Tiurlikova, A.; Stepanov, N.; Mikhaylov, K. Improving the Energy Efficiency of a LoRaWAN by a UAV-based Gateway. In Proceedings of the 2019 11th International Congress on Ultra Modern Telecommunications and Control Systems and Workshops (ICUMT), Dublin, Ireland, 28–30 October 2019; pp. 1–6. [Google Scholar]
- Abdelfadeel, K.Q.; Zorbas, D.; Cionca, V.; Pesch, D. FREE—Fine-grained scheduling for reliable and energy-efficient data collection in LoRaWAN. IEEE Internet Things J. 2019, 7, 669–683. [Google Scholar] [CrossRef]
- Liu, J.; Wu, J.; Liu, M. UAV monitoring and forecasting model in intelligent traffic oriented applications. Comput. Commun. 2020, 153, 499–506. [Google Scholar] [CrossRef]
- Martinez-Caro, J.M.; Cano, M.D. IoT system integrating unmanned aerial vehicles and LoRa technology: A performance evaluation study. Wirel. Commun. Mob. Comput. 2019, 2019, 4307925. [Google Scholar] [CrossRef]
- Behjati, M.; Mohd Noh, A.B.; Alobaidy, H.A.; Zulkifley, M.A.; Nordin, R.; Abdullah, N.F. LoRa Communications as an Enabler for Internet of Drones towards Large-Scale Livestock Monitoring in Rural Farms. Sensors 2021, 21, 5044. [Google Scholar] [CrossRef] [PubMed]
- Addabbo, T.; Fort, A.; Mugnaini, M.; Parri, L.; Pozzebon, A.; Vignoli, V. Smart sensing in mobility: A lorawan architecture for pervasive environmental monitoring. In Proceedings of the 2019 IEEE 5th International Forum on Research and Technology for Society and Industry (RTSI), Florence, Italy, 9–12 September 2019; pp. 421–426. [Google Scholar]
- Sobhi, S.; Elzanaty, A.; Ghuniem, A.M.; Abdelkader, M.F. Vehicle-Mounted Fog-Node with LoRaWAN for Rural Data Collection. In Proceedings of the 2022 IEEE 33th Annual International Symposium on Personal, Indoor and Mobile Radio Communications (PIMRC), Virtual, 12–15 September 2022; pp. 1438–1444. [Google Scholar]
- Molisch, A.F. Wireless Communications, 2nd ed.; John Wiley & Sons: New York, NY, USA, 2011; pp. 261–292. [Google Scholar]
- Bagariang, Y.; Nashiruddin, M.I.; Adriansyah, N.M. Lora-based iot network planning for advanced metering infrastructure in urban, suburban and rural scenario. In Proceedings of the 2019 International Seminar on Research of Information Technology and Intelligent Systems (ISRITI), Yogyakarta, Indonesia, 5–6 December 2019; pp. 188–193. [Google Scholar]
- Yates, R.D.; Sun, Y.; Brown, D.R.; Kaul, S.K.; Modiano, E.; Ulukus, S. Age of information: An introduction and survey. IEEE J. Sel. Areas Commun. 2021, 39, 1183–1210. [Google Scholar] [CrossRef]
- Casals, L.; Mir, B.; Vidal, R.; Gomez, C. Modeling the energy performance of LoRaWAN. Sensors 2017, 17, 2364. [Google Scholar] [CrossRef] [PubMed]
- Semtech, SX1301 Datasheet. Available online: https://www.semtech.com/products/wireless-rf/lora-core/sx1301 (accessed on 30 December 2022).
- ChirpStack, The ChirpStack Project. Available online: https://www.chirpstack.io/ (accessed on 30 December 2022).
- Semtech, SX1278 End Transceiver Datasheet. Available online: https://www.semtech.com/products/wireless-rf/lora-connect/sx1278 (accessed on 30 December 2022).


















| dBm | −123 | −126 | −129 | −132 | −134.5 | −137 |
| 2 km | 7.4 | 8.4 | 9.4 | 10.5 | 11.5 | 12.6 |
| min | 7.41 | 8.40 | 9.42 | 10.50 | 11.52 | 12.61 |
| min | 5.55 | 6.30 | 7.05 | 7.88 | 8.63 | 9.45 |
| min | 4.44 | 5.04 | 5.64 | 6.30 | 6.90 | 7.56 |
| Time Duration | Current Consumption | ||||
|---|---|---|---|---|---|
| State | Variable | Value (ms) | Variable | Value (mA) | |
| 1 | Wake-up | 168.2 | 22.1 | ||
| 2 | Radio preparation | 83.8 | 13.3 | ||
| 3 | Ping slot | 160.0 | |||
| 4 | Transmission | 83.0 | |||
| 5 | 1st wait window | 983.3 | 27.0 | ||
| 6 | 1st window | Dependant | 38.1 | ||
| 7 | Radio off | 147.4 | 13.2 | ||
| 8 | Post-processing | 268.0 | 21.0 | ||
| 9 | Turn-off sequence | 38.6 | 13.3 | ||
| 10 | Sleep | ||||
| LoRaWAN Transmission Configuration | ||||
|---|---|---|---|---|
| dBm | 868.3 MHz | BW = 125 KHz | [7:12] | |
| LoRaWAN Packet Configuration | ||||
| Payload | Preamble | Coding Rate | Low Data Rate Optimization | Header Mode |
| 25 Byte | 8 Byte | 4/5 | DE = 0 (disabled) | H = 0 (explicit) |
| Path loss Model Parameters | ||||
| Transmitted Power | Gateway Height | End-Node Height | Distance | |
| dBm | = 2.5 m | km: | ||
Disclaimer/Publisher’s Note: The statements, opinions and data contained in all publications are solely those of the individual author(s) and contributor(s) and not of MDPI and/or the editor(s). MDPI and/or the editor(s) disclaim responsibility for any injury to people or property resulting from any ideas, methods, instructions or products referred to in the content. |
© 2023 by the authors. Licensee MDPI, Basel, Switzerland. This article is an open access article distributed under the terms and conditions of the Creative Commons Attribution (CC BY) license (https://creativecommons.org/licenses/by/4.0/).
Share and Cite
Sobhi, S.; Elzanaty, A.; Selim, M.Y.; Ghuniem, A.M.; Abdelkader, M.F. Mobility of LoRaWAN Gateways for Efficient Environmental Monitoring in Pristine Sites. Sensors 2023, 23, 1698. https://doi.org/10.3390/s23031698
Sobhi S, Elzanaty A, Selim MY, Ghuniem AM, Abdelkader MF. Mobility of LoRaWAN Gateways for Efficient Environmental Monitoring in Pristine Sites. Sensors. 2023; 23(3):1698. https://doi.org/10.3390/s23031698
Chicago/Turabian StyleSobhi, Salma, Ahmed Elzanaty, Mohamed Y. Selim, Atef M. Ghuniem, and Mohamed F. Abdelkader. 2023. "Mobility of LoRaWAN Gateways for Efficient Environmental Monitoring in Pristine Sites" Sensors 23, no. 3: 1698. https://doi.org/10.3390/s23031698
APA StyleSobhi, S., Elzanaty, A., Selim, M. Y., Ghuniem, A. M., & Abdelkader, M. F. (2023). Mobility of LoRaWAN Gateways for Efficient Environmental Monitoring in Pristine Sites. Sensors, 23(3), 1698. https://doi.org/10.3390/s23031698

