Sign in to use this feature.

Years

Between: -

Subjects

remove_circle_outline
remove_circle_outline
remove_circle_outline
remove_circle_outline
remove_circle_outline
remove_circle_outline
remove_circle_outline
remove_circle_outline
remove_circle_outline

Journals

remove_circle_outline
remove_circle_outline
remove_circle_outline
remove_circle_outline
remove_circle_outline

Article Types

Countries / Regions

remove_circle_outline
remove_circle_outline
remove_circle_outline
remove_circle_outline
remove_circle_outline

Search Results (496)

Search Parameters:
Keywords = LoRaWAN

Order results
Result details
Results per page
Select all
Export citation of selected articles as:
26 pages, 4830 KB  
Article
A Physically Aware Residual Learning Framework for Outdoor Localization in LoRaWAN Networks
by Askhat Bolatbek, Ömer Faruk Beyca, Batyrbek Zholamanov, Madiyar Nurgaliyev, Gulbakhar Dosymbetova, Dinara Almen, Ahmet Saymbetov, Botakoz Yertaikyzy, Sayat Orynbassar and Ainur Kapparova
Future Internet 2026, 18(4), 216; https://doi.org/10.3390/fi18040216 (registering DOI) - 18 Apr 2026
Abstract
The rapid growth of large-scale Internet of Things (IoT) deployments in urban environments requires accurate and energy-efficient localization methods for low-power wireless devices. In long-range wide-area networks (LoRaWAN), traditional GPS-based positioning is often impractical due to energy consumption constraints and signal propagation challenges [...] Read more.
The rapid growth of large-scale Internet of Things (IoT) deployments in urban environments requires accurate and energy-efficient localization methods for low-power wireless devices. In long-range wide-area networks (LoRaWAN), traditional GPS-based positioning is often impractical due to energy consumption constraints and signal propagation challenges in urban areas. This study proposes a hybrid localization system that integrates weighted centroid localization (WCL) with a machine learning (ML) regression model to improve outdoor positioning accuracy. The proposed approach first estimates approximate transmitter coordinates using a physically grounded WCL method based on received signal strength indicator (RSSI) measurements. These initial estimates are subsequently refined by ML models trained to learn nonlinear residual corrections. In addition to random partitioning, a spatial data splitting strategy is proposed and evaluated using a publicly available LoRaWAN dataset. The experimental results demonstrate that the hybrid WCL framework combined with a multilayer perceptron (MLP) significantly outperforms other ML models. The proposed method achieves a mean localization error of 160.47 m and a median error of 73.78 m. Compared to the baseline model, the integration of WCL reduces the mean localization error by approximately 29%, highlighting the effectiveness of incorporating physically interpretable priors into localization models. Full article
(This article belongs to the Section Internet of Things)
Show Figures

Figure 1

18 pages, 17468 KB  
Article
One-Way Ranging for LoRa: A Chirp-Based Estimation Approach
by Luz E. Marquez, Maria Calle and John E. Candelo-Becerra
Future Internet 2026, 18(4), 207; https://doi.org/10.3390/fi18040207 - 15 Apr 2026
Viewed by 193
Abstract
Many Internet of Things (IoT) applications that use LoRaWAN require node localization, often relying on signal strength or message timestamps to estimate distance. However, traditional techniques typically require prior knowledge of signal propagation models or clock synchronization between multiple nodes. Therefore, this paper [...] Read more.
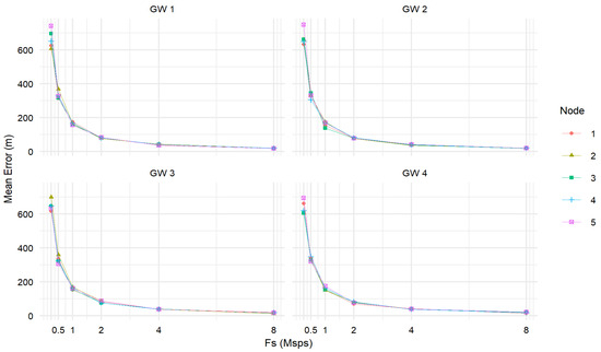
Many Internet of Things (IoT) applications that use LoRaWAN require node localization, often relying on signal strength or message timestamps to estimate distance. However, traditional techniques typically require prior knowledge of signal propagation models or clock synchronization between multiple nodes. Therefore, this paper proposes a one-way ranging method based on LoRa to estimate link distances using the received signal from a single node, with no additional infrastructure or synchronization requirements. The approach uses the inherent properties of the LoRa chirp-based waveform to extract time delay information and estimate distance. The proposed method consists of a transmitter and a receiver capable of detecting the link delay using demodulation of the preamble. Then, the method estimates the distance using the link delay without requiring additional hardware or information. The method was validated through MATLAB R2025a simulations, including five nodes distributed over an 18 km2 area. The proposed method achieves distance estimation with mean errors of 25 m under semi-urban, non-line-of-sight conditions, outperforming existing methods. Additionally, the study identifies two practical system configurations for LoRa, at 8 Msps and 2 Msps, which reduce the ranging error while considering hardware feasibility. These findings are especially relevant for researchers developing Global Positioning System (GPS) free localization techniques in resource-constrained IoT environments. Full article
(This article belongs to the Special Issue Intelligent Telecommunications Mobile Networks)
Show Figures

Graphical abstract

32 pages, 8726 KB  
Article
Data-Driven Energy-Saving Methods Based on LoRa-Mesh Hierarchical Network
by Minyi Tang, Xiaowu Li and Jinxia Shang
Sensors 2026, 26(7), 2226; https://doi.org/10.3390/s26072226 - 3 Apr 2026
Viewed by 270
Abstract
As a reliable and high-potential wireless communication technology for the Internet of Things (IoT), LoRa excels in long-distance and low-power transmission. The star topology adopted by traditional LoRaWAN suffers from poor deployment flexibility and insufficient scalability in scenarios with complex terrain or harsh [...] Read more.
As a reliable and high-potential wireless communication technology for the Internet of Things (IoT), LoRa excels in long-distance and low-power transmission. The star topology adopted by traditional LoRaWAN suffers from poor deployment flexibility and insufficient scalability in scenarios with complex terrain or harsh environments. LoRa-Mesh networks can effectively solve coverage challenges through characteristics such as multi-hop and self-organization; however, the relay and forwarding requirements of nodes also introduce new challenges in energy consumption management. To address the energy consumption management challenges of LoRa-Mesh, this paper proposes a Data-Driven Energy Saving (DDES) protocol. It flexibly sets and dynamically fine-tunes node sleep durations based on data changes, constructs an efficient energy-saving framework through uplink data streams, and implements precise control over nodes via downlink post-analysis messages to achieve on-demand energy saving. Simulation results in the smart agriculture scenario of soil moisture monitoring and irrigation show that compared with protocols without a sleep mechanism, the battery life of the LoRa-Mesh network using the DDES protocol is extended by approximately 20 times. The proposed protocol breaks through the limitations of fixed sleep schemes, realizes refined and flexible division of sleep regions, and exhibits significant advantages in LoRa network energy saving. Full article
(This article belongs to the Section Internet of Things)
Show Figures

Figure 1

21 pages, 1172 KB  
Article
An Examination of LPWAN Security in Maritime Applications
by Zachary Larkin and Chuck Easttom
J. Cybersecur. Priv. 2026, 6(2), 65; https://doi.org/10.3390/jcp6020065 - 3 Apr 2026
Viewed by 282
Abstract
LoRaWAN’s role in global maritime logistics has allowed for efficient monitoring of ships and cargo, but it also comes with critical cybersecurity vulnerabilities. Experimental validation of three attack vectors—replay attacks, narrowband jamming and metadata inference—is conducted using a reproducible digital-twin LoRaWAN dataset reflecting [...] Read more.
LoRaWAN’s role in global maritime logistics has allowed for efficient monitoring of ships and cargo, but it also comes with critical cybersecurity vulnerabilities. Experimental validation of three attack vectors—replay attacks, narrowband jamming and metadata inference—is conducted using a reproducible digital-twin LoRaWAN dataset reflecting Rotterdam port-like operational patterns (N = 20,000 baseline transmissions). Using controlled simulations and Kolmogorov–Smirnov statistical analysis, we show that: (1) replay attacks are feasible under Activation by Personalization (ABP) configurations lacking enforced frame-counter validation and exhibit no univariate separation from legitimate traffic under Kolmogorov–Smirnov analysis (p > 0.46 for all evaluated radio features); (2) narrowband jamming leads to significant SNR degradation (p = 2.36 × 10−5) on targeted channels without inducing broad distributional anomalies across other radio features; and (3) metadata-only analysis supports elevated metadata-based re-identification susceptibility (median Rd=0.834), indicating high predictability under passive observation which can reveal operationally relevant signals even when AES-128 is employed. Our proposed layered mitigation framework consists of mandatory Over-the-Air Activation (OTAA), cryptographic key rotation, channel diversity incorporating Adaptive Data Rate (ADR), gateway hardening, and protocol-level enforcement considerations, customized for maritime LPWAN scenarios. We provide experiment-backed evidence and actionable recommendations to connect academic LPWAN security research to that of industrial maritime practice. Full article
(This article belongs to the Special Issue Building Community of Good Practice in Cybersecurity)
Show Figures

Figure 1

24 pages, 11535 KB  
Article
3D Digital Twin-Driven LoRaWAN Gateway Placement Using Memetic Optimization and K-Coverage Network Health Metrics
by Santiago Acurio-Maldonado, Erwin J. Sacoto-Cabrera, Edison Meneses-Torres, Monica Karel Huerta and Esteban Ordóñez-Morales
Future Internet 2026, 18(4), 193; https://doi.org/10.3390/fi18040193 - 2 Apr 2026
Viewed by 333
Abstract
The optimal deployment of Low-Power Wide-Area Networks (LPWANs) such as LoRaWAN in complex urban environments remains an NP-Hard Set Covering Problem. Traditional network planning often relies on 2D mathematical grids that ignore physical RF barriers, leading to topographic shadowing and single points of [...] Read more.
The optimal deployment of Low-Power Wide-Area Networks (LPWANs) such as LoRaWAN in complex urban environments remains an NP-Hard Set Covering Problem. Traditional network planning often relies on 2D mathematical grids that ignore physical RF barriers, leading to topographic shadowing and single points of failure. This research proposes the Native 3D Memetic Spatially Aware Genetic Algorithm (3D-M-SAGA), an optimization framework that operates over a Morphological Digital Twin. By fusing OpenStreetMap (OSM) vector topologies with NASA SRTM elevation data and autonomous urban clutter classification, the framework evaluates physical constraints—including ITU-R knife-edge diffraction and dielectric absorption—directly within the evolutionary loop. To counteract the epistatic variance inherent to standard genetic algorithms, the 3D-M-SAGA integrates a vectorized memetic “Smart Repair” operator driven by heuristic attraction and repulsion forces. Formulated as a multi-objective optimization problem balancing Capital Expenditure (CAPEX) and topological Quality of Service (QoS) through K-coverage, the framework is evaluated using a 36-scenario parametric grid search and a 50-iteration Monte Carlo benchmark. Results show that the 3D-M-SAGA tightly bounds stochastic CAPEX variance (σ=±0.51 gateways) while reducing single-point-of-failure network fragility (K=1) by up to 20%, guaranteeing fault tolerance (K2) without over-provisioning civic infrastructure. Full article
(This article belongs to the Special Issue Digital Twins in Next-Generation IoT Networks)
Show Figures

Figure 1

22 pages, 3000 KB  
Article
Edge-Based and Gateway-Based SmartSync Systems for Efficient LoRaWAN
by Mohammad Al mojamed
Electronics 2026, 15(7), 1426; https://doi.org/10.3390/electronics15071426 - 30 Mar 2026
Viewed by 315
Abstract
Low-Power Wide-Area Networks (LPWANs) like LoRaWAN enable IoT applications with low-power and long-range characteristics. While LoRaWAN class B mode is server-initiated downlink communication-oriented, its uplink communication, especially in mobile scenarios, remains underexplored. This paper proposes two novel systems, Edge-based SmartSync and Gateway-based SmartSync, [...] Read more.
Low-Power Wide-Area Networks (LPWANs) like LoRaWAN enable IoT applications with low-power and long-range characteristics. While LoRaWAN class B mode is server-initiated downlink communication-oriented, its uplink communication, especially in mobile scenarios, remains underexplored. This paper proposes two novel systems, Edge-based SmartSync and Gateway-based SmartSync, aiming to enhance uplink by leveraging class B synchronization. Edge-based SmartSync enables end devices to dynamically adjust the Spreading Factor (SF) based on real-time Received Signal Strength Indicator (RSSI) from beacons, achieving a significant improvement in terms of packet delivery and energy consumption. Gateway-based SmartSync ensures the fair distribution of end devices across a lower SF to further enhance the efficiency of the system. The beacon is reengineered to convey sensitivity limits to end devices. The systems were implemented in the OMNeT++ simulator over a 25 km2 area with 100–1000 mobile devices and evaluated against a baseline using metrics like the Packet Delivery Ratio, collisions, and energy consumption. The obtained results show that both systems are capable of improving the delivery ratio by over 40% and reducing collisions by 80% compared to the baseline, with energy savings exceeding 35%. Proposed systems offer cost-effective, adaptable solutions, paving the way for more reliable IoT deployments. Full article
(This article belongs to the Section Networks)
Show Figures

Figure 1

20 pages, 9479 KB  
Article
Continuous Snow-Cover Monitoring and Avalanche Detection with a Novel Sensor Array Box
by Markus Hoffmann, Michael Brauner, Christian Rachoy, Thomas Dolleschal and Ingrid Reiweger
Sensors 2026, 26(7), 2041; https://doi.org/10.3390/s26072041 - 25 Mar 2026
Cited by 1 | Viewed by 369
Abstract
Snow avalanches pose a serious hazard in snow-covered, mountainous areas. In order to protect inhabited areas and infrastructure such as roads and railway lines, avalanche protection measures need to be taken. In addition to permanent, technical protection measures, temporary, organizational measures, which are [...] Read more.
Snow avalanches pose a serious hazard in snow-covered, mountainous areas. In order to protect inhabited areas and infrastructure such as roads and railway lines, avalanche protection measures need to be taken. In addition to permanent, technical protection measures, temporary, organizational measures, which are based on risk assessments by local avalanche warning commissions, are utilized. These avalanche risk assessments rely on regional avalanche bulletins, weather forecasts, local expertise, and information on current snowpack conditions. Our research seeks to enhance knowledge of current snowpack and avalanche conditions by providing in situ monitoring of potential avalanche slopes. Therefore, we developed a novel sensor box array, peakr, consisting of multiple sensor units deployed by hand or by drone at key avalanche slope locations throughout the winter season. The sensors continuously measure temperature, humidity, position, and snowpack movement. Data are transmitted via LoRaWAN and GSM, stored locally, and accessed through a web platform. Automated analysis using a decision tree and event-detection algorithm triggers immediate alerts to responsible personnel via SMS and email. This paper presents an overview of the peakr sensor array and web platform, focusing on data analysis and avalanche events from the Arlberg ski resort in winter 2023/2024, supported by webcam time-lapse validation. Full article
Show Figures

Figure 1

1 pages, 127 KB  
Correction
Correction: Almuhaya et al. ZBMG-LoRa: A Novel Zone-Based Multi-Gateway Approach Towards Scalable LoRaWANs for Internet of Things. Sensors 2025, 25, 5457
by Mukarram Almuhaya, Tawfik Al-Hadhrami, David J. Brown and Sultan Noman Qasem
Sensors 2026, 26(6), 1924; https://doi.org/10.3390/s26061924 - 19 Mar 2026
Viewed by 191
Abstract
In the original publication [...] Full article
(This article belongs to the Section Sensor Networks)
19 pages, 2593 KB  
Article
Multi-Hop LoRaWAN Protocol with Efficient Placement of the Relay Nodes
by Konstantina Spathi, Anastasios Valkanis, Georgia Beletsioti, Konstantinos Kantelis, Georgios Papadimitriou and Petros Nicopolitidis
Appl. Sci. 2026, 16(6), 2698; https://doi.org/10.3390/app16062698 - 11 Mar 2026
Viewed by 381
Abstract
Multi-hop networks’ performance strongly depends on relay node placement, which affects delay, throughput, and coverage. This work introduces a dual-layer protocol combining Slotted ALOHA for node-to-relay communication and TDMA for relay-to-gateway transmission. Using a Java-based simulator, we evaluate three relay placement strategies—random, square [...] Read more.
Multi-hop networks’ performance strongly depends on relay node placement, which affects delay, throughput, and coverage. This work introduces a dual-layer protocol combining Slotted ALOHA for node-to-relay communication and TDMA for relay-to-gateway transmission. Using a Java-based simulator, we evaluate three relay placement strategies—random, square grid, and hexagonal grid—considering metrics such as delay, throughput, packet collisions, and coverage. Results show that the hexagonal grid offers superior performance, reducing collisions, minimizing delay, and expanding coverage. A fallback mechanism for out-of-range nodes and sensitivity analysis of different backoff values are also included. The study quantifies the benefits of structured relay placement for LoRaWAN and wireless sensor networks, while also identifying challenges for realistic deployments. These findings provide guidelines for designing scalable and reliable IoT networks and highlight directions for future work involving irregular placements and dynamic routing. The simulation results are intended to provide comparative, trend-based insights under conservative modeling assumptions, rather than absolute performance predictions. Full article
Show Figures

Figure 1

36 pages, 6243 KB  
Article
Enhanced Security of Bidirectional Communication in IoT-Driven Utility Networks Using Sertainty UXP and LoRaWAN
by Zaheen Afroz Simin, Semih Aslan, Marcelo M. Carvalho and Damian Valles
Sensors 2026, 26(6), 1752; https://doi.org/10.3390/s26061752 - 10 Mar 2026
Viewed by 527
Abstract
LoRaWAN holds immense potential in smart applications for its low-power, long-range communication capabilities and in-built AES-128 encryption for end-to-end security. However, prior research has identified critical security vulnerabilities, most notably its use of AES-128 encryption in ECB mode, which lacks semantic security. Sertainty [...] Read more.
LoRaWAN holds immense potential in smart applications for its low-power, long-range communication capabilities and in-built AES-128 encryption for end-to-end security. However, prior research has identified critical security vulnerabilities, most notably its use of AES-128 encryption in ECB mode, which lacks semantic security. Sertainty UXP (Unbreakable Exchange Protocol) technology enhances AES by embedding intelligence directly into the data. Sertainty Corporation’s UXP encryption employs AES-256-GCM, which offers authenticated encryption with integrated access control and policy enforcement at the data level, making it a promising candidate for securing sensitive IoT data. The objective of this study is to evaluate whether Sertainty UXP can operate effectively within the strict payload and performance constraints of LoRaWAN. To benchmark performance and overhead, several encryption algorithms, including AES-256-GCM, ASCON-128, SPECK, and XTEA, were implemented for comparison. For experimentation, smart meter data is encrypted with these algorithms and transmitted over LoRaWAN using the LoRa-E5 development board by Seeed Studio. The system’s performance is evaluated based on latency, payload size, and message integrity. Payloads are strategically split into LoRaWAN-compatible chunks and reassembled upon reception to meet network constraints. The results show that integrating UXP encryption within LoRaWAN is technically feasible, though it introduces additional overhead and latency. Despite this, the ability to embed robust encryption and controls directly within the data object offers significant potential to enhance end-to-end IoT security. The research concludes that Sertainty UXP can offer a viable and forward-looking solution for securing resource-constrained networks, provided implementation strategies carefully manage the trade-offs between security strength and transmission efficiency. Full article
(This article belongs to the Special Issue LoRa-Based IoT Applications in Smart Cities)
Show Figures

Figure 1

27 pages, 656 KB  
Article
Towards a Protocol-Aware Intrusion Detection System for LoRaWAN Networks
by Zsolt Bringye, Rita Fleiner and Eszter Kail
Future Internet 2026, 18(3), 140; https://doi.org/10.3390/fi18030140 - 9 Mar 2026
Viewed by 549
Abstract
The increasing reliance of Internet of Things (IoT) applications on low-power wide-area network technologies, particularly Long Range Wide Area Network (LoRaWAN), has amplified the need for security monitoring approaches that go beyond attack-specific signatures and generic traffic anomalies. Existing solutions are often tailored [...] Read more.
The increasing reliance of Internet of Things (IoT) applications on low-power wide-area network technologies, particularly Long Range Wide Area Network (LoRaWAN), has amplified the need for security monitoring approaches that go beyond attack-specific signatures and generic traffic anomalies. Existing solutions are often tailored to individual threat scenarios or rely on statistical indicators, which limits their ability to systematically capture protocol-level misuse in an interpretable manner. This paper addresses this gap by proposing a protocol-aware validation methodology based on a Digital Twin abstraction of LoRaWAN communication behavior. The Over-The-Air Activation (OTAA) procedure is modeled as a finite-state machine that encodes expected message sequences, timing constraints, and specification-driven state transitions. Observed network events are continuously evaluated against this formal state model, enabling the identification of protocol-level deviations indicative of anomalous or non-conformant behavior. Illustrative examples include replay behavior, timing inconsistencies, and integrity-related anomalies, although the framework is not limited to predefined attack categories. The results demonstrate that state machine-based Digital Twin provides a structured and extensible foundation for protocol-aware security validation and Security Operation Center (SOC)-oriented telemetry enrichment. In this sense, the presented approach represents a concrete step toward protocol-aware intrusion detection for LoRaWAN networks by establishing a state-synchronized semantic validation layer upon which higher-level detection mechanisms can be built. Full article
(This article belongs to the Special Issue Anomaly and Intrusion Detection in Networks)
Show Figures

Graphical abstract

55 pages, 3447 KB  
Article
A Microservices-Based Solution with Hybrid Communication for Energy Management in Smart Grid Environments
by Artur F. S. Veloso, José V. Reis and Ricardo A. L. Rabelo
Sensors 2026, 26(5), 1714; https://doi.org/10.3390/s26051714 - 9 Mar 2026
Viewed by 509
Abstract
The increasing variability of residential demand, combined with the expansion of distributed generation and electric vehicles, has introduced new challenges to the stability of Smart Grids (SGs). Centralized management models lack the flexibility required to operate under these conditions, reinforcing the need for [...] Read more.
The increasing variability of residential demand, combined with the expansion of distributed generation and electric vehicles, has introduced new challenges to the stability of Smart Grids (SGs). Centralized management models lack the flexibility required to operate under these conditions, reinforcing the need for scalable and data-driven architectures. This study proposes an energy management solution based on microservices, supported by hybrid communication in Low Power Wide Area Networks (LPWAN), integrating Long Range Wide Area Network (LoRaWAN) and LoRaMESH to enhance connectivity, local resilience, and reliability in data acquisition for Internet of Things (IoT) and Demand Response (DR) applications. A prototype composed of a Smart Meter (SM), a Data Aggregation Point (DAP), and a Concentrator (CON) was evaluated in a controlled environment, achieving Packet Delivery Rates above 97%, an average RSSI of −92 dBm, and a Signal-to-Noise Ratio close to 9 dB, validating the robustness of the hybrid communication. At a larger scale, data from 5567 households in the Low Carbon London (LCL) project were used to generate representative Load Profiles (LPs) through seven aggregation and clustering techniques, consistently identifying the 18:00–21:00 interval as the critical peak, with demand reaching up to 42% above the daily average. Fourteen load shifting algorithms were evaluated, and the Hybrid Adaptive Algorithm based on Intention and Resilience (HAAIR), proposed in this work, achieved the best overall performance with a 1.83% peak reduction, US$65.40 in cost savings, a reduction of 60 kg of CO2, a Comfort Loss Index of 0.04, resilience of 9.5, and reliability of 0.98. The results demonstrate that the integration of hybrid LPWAN communication, modular microservice-based architecture, and adaptive DR strategies driven by Artificial Intelligence (AI) represents a promising pathway toward scalable, resilient, and energy-efficient SGs. Full article
(This article belongs to the Special Issue LoRa Communication Technology for IoT Applications—2nd Edition)
Show Figures

Figure 1

34 pages, 8190 KB  
Article
Real-Time Remote Monitoring of Environmental Conditions and Actuator Status in Smart Greenhouses Using a Smartphone Application
by Emmanuel Bicamumakuba, Md Nasim Reza, Hongbin Jin, Samuzzaman, Hyeunseok Choi and Sun-Ok Chung
Sensors 2026, 26(5), 1548; https://doi.org/10.3390/s26051548 - 1 Mar 2026
Viewed by 1528
Abstract
Advancement of precision agriculture increasingly relies on cost-effective and scalable technologies for real-time environmental management, particularly in greenhouse environments where vertical and spatial microclimate heterogeneity influences crop performance. This study presents the design, implementation, and experimental validation of an Android-based smartphone application edge [...] Read more.
Advancement of precision agriculture increasingly relies on cost-effective and scalable technologies for real-time environmental management, particularly in greenhouse environments where vertical and spatial microclimate heterogeneity influences crop performance. This study presents the design, implementation, and experimental validation of an Android-based smartphone application edge supervisory monitoring system integrated with multi-layer wireless sensing and control nodes for real-time monitoring in a smart greenhouse. The system combined multi-layer wireless sensor nodes, wireless control nodes, a Long-Range Wide Area Network (LoRaWAN) gateway, Message Queuing Telemetry Transport (MQTT) communication, and a cloud-synchronized smartphone-based supervisory interface for visualizing environmental data, detecting defined abnormal events, and controlling actuators remotely. For feasibility tests, 54 sensing nodes and 12 actuator nodes were deployed across three vertical layers in two sections, measuring temperature, humidity, CO2 concentration, and light intensity. Abnormality was defined as environmental threshold violations, statistical signal deviations, actuator power inconsistencies, and communication timeout events. Experimental results revealed vertical and spatial environmental variability across greenhouse sections, while real-time time-series and 3D spatial maps enabled the rapid detection of abnormal conditions. The rule-based abnormality detection engine identified out-of-range environmental values and sensor-related inconsistencies and generated immediate notifications. Smartphone profiling revealed that display and system-level processes accounted for energy consumption, with battery power reaching a peak of 3.5 W and application CPU utilization ranging from 40% to 70% during active monitoring. The results demonstrate system-level feasibility, responsiveness, and scalability under commercial greenhouse workloads, supporting future integration of predictive control and energy-efficient operation. Full article
(This article belongs to the Special Issue Smartphone Sensors and Their Applications)
Show Figures

Figure 1

35 pages, 43326 KB  
Article
A Hybrid LoRa/ZigBee IoT Mesh Architecture for Real-Time Performance Monitoring in Orienteering Sport Competitions: A Measurement Campaign on Different Environments
by Romeo Giuliano, Stefano Alessandro Ignazio Mocci De Martis, Antonello Tomeo, Francesco Terlizzi, Marco Gerardi, Francesca Fallucchi, Lorenzo Felli and Nicola Dall’Ora
Future Internet 2026, 18(2), 105; https://doi.org/10.3390/fi18020105 - 16 Feb 2026
Viewed by 1011
Abstract
The sport of orienteering requires athletes to reach specific points marked on a map (called “punching stations”) in the shortest possible time. Currently, the recording of athletes’ passages through the stations is performed offline. In addition to delays in generating intermediate and final [...] Read more.
The sport of orienteering requires athletes to reach specific points marked on a map (called “punching stations”) in the shortest possible time. Currently, the recording of athletes’ passages through the stations is performed offline. In addition to delays in generating intermediate and final rankings, this approach often leads to detection errors and potential cheating related to the lack of authentication of an athlete’s actual passage at a given station. This paper aims to define and design a system enabling three main functionalities: 1. real-time monitoring of athletes’ trajectories through a sensor network connected to control stations; 2. multi-modal authentication of athletes at each station; and 3. immutable certification of each athlete’s passage through blockchain-based recording. System performance is evaluated in terms of wireless network coverage and data collection efficiency across three representative environments: urban, rural, and forested areas. Results are obtained through a measurement campaign for two dedicated wireless technologies: ZigBee for local mesh network and LoRa for long-range links to connect local mesh networks to the cloud over the Internet, which is then accessed by the race organizers. Furthermore, two supporting subsystems are described, addressing athlete authentication and data integrity assurance, as well as a blockchain recording for the overall event management framework. Results are in terms of coverage distances for both technologies, proving highly effective across varied terrains. Field tests demonstrated significant communication capabilities, achieving distances of up to 1800 m in open spaces. Even in challenging, dense wooded environments, the system maintained reliable coverage, reaching transmission distances of up to 600 m. Local ZigBee links between punching stations achieved ranges between 70 and 150 m in forested areas. These findings validate the use of a wireless multi-hop network designed to minimize packet loss and ensure reliable data delivery in competitive scenarios. The feasibility is also investigated in terms of WSN performance, delay analysis and power consumption evaluation. Full article
Show Figures

Graphical abstract

26 pages, 3753 KB  
Article
LoRa/LoRaWAN Time Synchronization: A Comprehensive Analysis, Performance Evaluation, and Compensation of Frame Timestamping
by Stefano Rinaldi, Elia Mondini, Paolo Ferrari, Alessandra Flammini and Emiliano Sisinni
Future Internet 2026, 18(2), 80; https://doi.org/10.3390/fi18020080 - 2 Feb 2026
Viewed by 818
Abstract
This paper examines precise timestamping of LoRaWAN messages (particularly beacons) to enable wide-area synchronization for end devices without GNSS. The need for accuracy demands hardware-level timestamping architectures, possibly using time-domain cross-correlation (matched filtering) against internally generated chirp references. Focusing on Time-of-Arrival (TOA [...] Read more.
This paper examines precise timestamping of LoRaWAN messages (particularly beacons) to enable wide-area synchronization for end devices without GNSS. The need for accuracy demands hardware-level timestamping architectures, possibly using time-domain cross-correlation (matched filtering) against internally generated chirp references. Focusing on Time-of-Arrival (TOA) estimation from raw IQ samples, the authors analyze effects of non-idealities—additive white Gaussian noise (AWGN), Carrier Frequency Offset (CFO), Sampling Phase and Frequency Offset (SPO and SFO, respectively), and radio parameters such as spreading factor (SF) and sampling rate of the baseband signals. A MATLAB (R2020) simulation mimics preamble detection and Start-of-Frame Delimiter (SFD) timestamping while sweeping SF (7, 9, 12), sampling rates (0.25–10 MSa/s), SNR (−20 to +20 dB), and CFO/SFO offsets (−10–10 ppm frequency deviation). Errors are evaluated in terms of mean and dispersion, the latter represented by the P95–P5 range metric. Results show that oversampling not only improves temporal resolution, but sub-microsecond error dispersion can be achieved with high sampling rates in favorable SNR and SF cases. Indeed, SPO and SNR greatly contribute to error dispersion. On the other hand, higher SF values increase correlation robustness at the cost of longer chirps, making SFO a dominant error source; ±10 ppm SFO can induce roughly ±3 μs SFD bias for SF12. CFO largely cancels after up-/down-chirp averaging. As a concluding remark, matched-filter hardware timestamping can ensure sub-μs errors thanks to oversampling but requires SFO compensation for accurate real-world synchronization in practice. Full article
(This article belongs to the Special Issue Edge and Fog Computing for the Internet of Things, 2nd Edition)
Show Figures

Graphical abstract

Back to TopTop