Loop Closure Detection Method Based on Similarity Differences between Image Blocks
Abstract
:1. Introduction
2. Method Framework
3. Image Descriptor
3.1. Image Descriptor Extraction
3.2. Image Descriptor Dimensionality Reduction
- (1)
- The mean is calculated for each column.
- (2)
- The corresponding mean is subtracted from each column of to obtain a matrix centered around 0 for each column.
- (3)
- The covariance matrix of matrix is calculated.
- (4)
- Covariance matrix undergoes singular value decomposition. As is a symmetric matrix, its singular value decomposition form can be expressed as follows:where , . The non-zero part is the singular value of matrix , arranged from largest to smallest, with the remaining values being 0. These singular values can be regarded as the contribution values of the dimension. is the vector obtained via the orthogonalization of the eigenvectors corresponding to singular values, and these vectors are arranged according to the corresponding singular values.
- (5)
- The first columns of matrix and matrix are multiplied for dimensionality reduction.among them, and . Through PCA dimension reduction, the dimensions of the image descriptor generator matrix are reduced from n to k, and the main information is extracted. In order to reduce the correlation between various dimensions, whitening is usually performed after PCA dimensionality reduction, and the calculation process is as follows.where is used to prevent situations where the denominator is 0.
4. Block Similarity Analysis
4.1. Image Pair Filtering
4.2. Blocking Similarity
4.3. Numerical Calculation
5. Results and Discussion
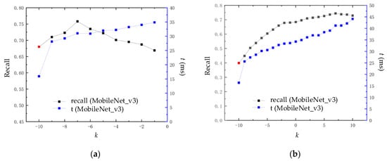
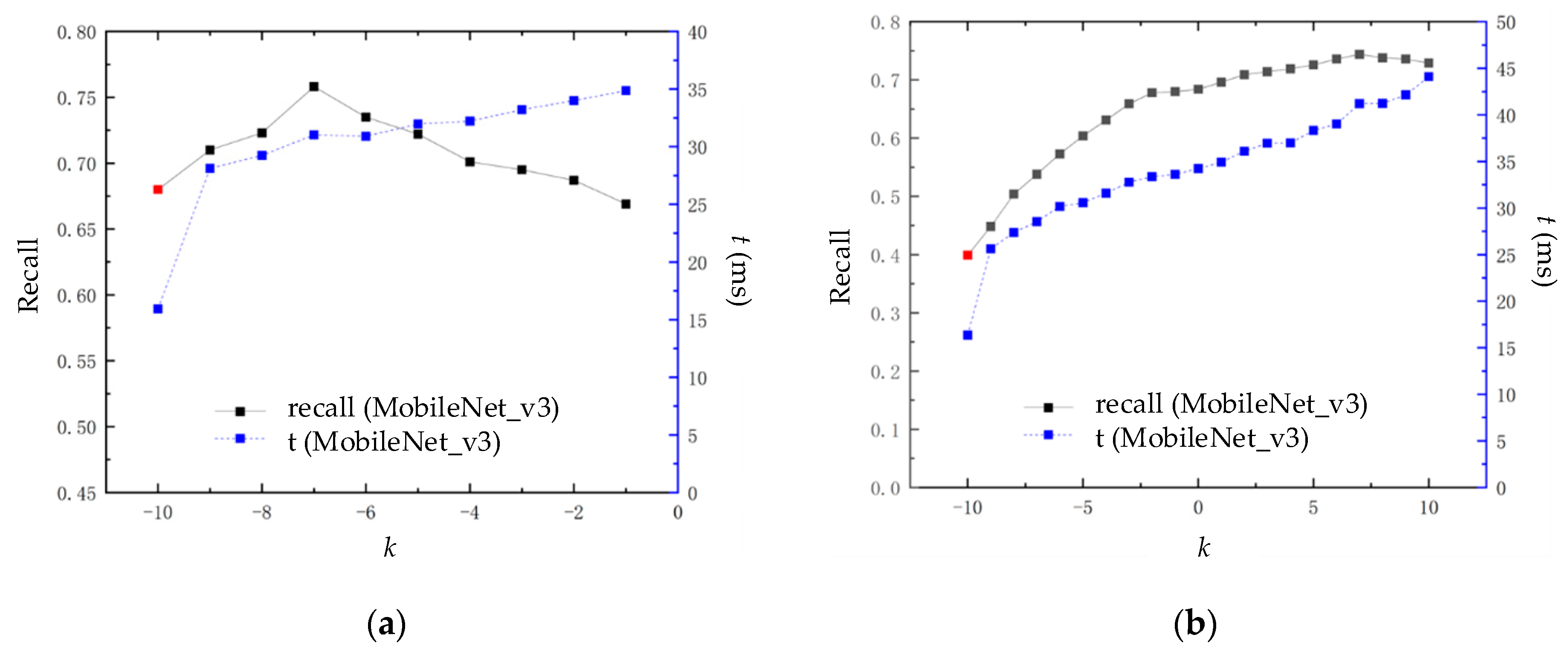
5.1. Experimental Environment and Datasets
5.2. Discussion of Experimental Results
6. Conclusions
Author Contributions
Funding
Institutional Review Board Statement
Informed Consent Statement
Data Availability Statement
Conflicts of Interest
References
- Durrant-Whyte, H.; Bailey, T. Simultaneous localization and mapping: Part I. IEEE Robot. Autom. Mag. 2006, 13, 99–110. [Google Scholar] [CrossRef]
- Taketomi, T.; Uchiyama, H.; Ikeda, S. Visual SLAM algorithms: A survey from 2010 to 2016. IPSJ Trans. Comput. Vis. Appl. 2017, 9, 16. [Google Scholar] [CrossRef]
- Kim, S.K.; Kang, S.J.; Choi, Y.J.; Choi, M.H.; Hong, M. Augmented-Reality Survey: From Concept to Application. Ksii Trans. Internet Inf. Syst. 2017, 11, 982–1004. [Google Scholar] [CrossRef]
- Covolan, J.P.M.; Sementille, A.C.; Sanches, S.R.R. A mapping of visual SLAM algorithms and their applications in augmented reality. In Proceedings of the 2020 22nd Symposium on Virtual and Augmented Reality (SVR), Porto de Galinhas, Brazil, 7–10 November 2020; pp. 20–29. [Google Scholar]
- Kim, Y.N.; Ko, D.W.; Suh, I.H. Visual navigation using place recognition with visual line words. In Proceedings of the 2014 11th International Conference on Ubiquitous Robots and Ambient Intelligence (URAI), Kuala Lumpur, Malaysia, 12–15 November 2014; p. 676. [Google Scholar]
- Zhang, X.; Zheng, L.; Tan, Z.; Li, S. Loop Closure Detection Based on Residual Network and Capsule Network for Mobile Robot. Sensors 2022, 22, 7137. [Google Scholar] [CrossRef] [PubMed]
- Wang, J.; Yang, M.Q.; Liang, F.; Feng, K.R.; Zhang, K.; Wang, Q. An Algorithm for Painting Large Objects Based on a Nine-Axis UR5 Robotic Manipulator. Appl. Sci. 2022, 12, 7219. [Google Scholar] [CrossRef]
- Mur-Artal, R.; Tardós, J.D. Fast relocalisation and loop closing in keyframe-based SLAM. In Proceedings of the 2014 IEEE International Conference on Robotics and Automation (ICRA), Hong Kong, China, 31 May 2014–7 June 2014; pp. 846–853. [Google Scholar]
- Tsintotas, K.A.; Bampis, L.; Gasteratos, A. The Revisiting Problem in Simultaneous Localization and Mapping: A Survey on Visual Loop Closure Detection. IEEE Trans. Intell. Transp. Syst. 2022, 23, 19929–19953. [Google Scholar] [CrossRef]
- Williams, B.; Cummins, M.; Neira, J.; Newman, P.; Reid, I.; Tardós, J. A comparison of loop closing techniques in monocular SLAM. Robot. Auton. Syst. 2009, 57, 1188–1197. [Google Scholar] [CrossRef]
- Sun, Y.; Liu, M.; Meng, M.Q.-H. Motion removal for reliable RGB-D SLAM in dynamic environments. Robot. Auton. Syst. 2018, 108, 115–128. [Google Scholar] [CrossRef]
- Fan, Y.; Zhang, Q.; Tang, Y.; Liu, S.; Han, H. Blitz-SLAM: A semantic SLAM in dynamic environments. Pattern Recognit. 2022, 121, 108225. [Google Scholar] [CrossRef]
- Sivic, Z. Video Google: A text retrieval approach to object matching in videos. In Proceedings of the Proceedings Ninth IEEE International Conference on Computer Vision, Nice, France, 13–16 October 2003; Volume 2, pp. 1470–1477. [Google Scholar]
- Lowe, D.G. Distinctive Image Feature from Scale-Invariant Key points. Int. J. Comput. Vis. 2004, 60, 91–110. [Google Scholar] [CrossRef]
- Rosten, E. Machine Learning for Very High-Speed Corner Detection. ECCV’06, May 2006. Available online: https://www.researchgate.net/profile/Edward-Rosten/publication/215458901_Machine_Learning_for_High-Speed_Corner_Detection/links/0fcfd511134efe25ab000000/Machine-Learning-for-High-Speed-Corner-Detection.pdf (accessed on 1 June 2022).
- Rublee, E.; Rabaud, V.; Konolige, K.; Bradski, G.R. ORB: An efficient alternative to SIFT or SURF. In Proceedings of the IEEE International Conference on Computer Vision, ICCV 2011, Barcelona, Spain, 6–13 November 2011. [Google Scholar]
- Zhao, S.; Guan, Q.; Ding, D.; Wei, G.; Shang, C. COVFast-LCD: Combined ORB and VLAD for fast loop closure detection. J. Chin. Comput. Syst. 2023, 44, 1318–1323. [Google Scholar]
- Yang, Z.; Pan, Y.; Huan, R.; Bao, Y. Gridding place recognition for fast loop closure detection on mobile platforms. Electron. Lett. 2019, 55, 931–933. [Google Scholar] [CrossRef]
- Emma, L.; Mirvana, H.; Ryan, F.; Vincent, O.B.; Anne, H. Deep Learning and Entropy-Based Texture Features for Color Image Classification. Entropy 2022, 24, 1577. [Google Scholar] [CrossRef]
- Liu, H.; Ma, X.; Yu, Y.; Wang, L.; Hao, L. Application of Deep Learning-Based Object Detection Techniques in Fish Aquaculture: A Review. J. Mar. Sci. Eng. 2023, 11, 867. [Google Scholar] [CrossRef]
- Pan, H.; Zhang, M.; Bai, W.; Li, B.; Wang, H.; Geng, H.; Zhao, X.; Zhang, D.; Li, Y.; Chen, M. An Instance Segmentation Model Based on Deep Learning for Intelligent Diagnosis of Uterine Myomas in MRI. Diagnostics 2023, 13, 1525. [Google Scholar] [CrossRef]
- Guo, S.; Wang, S.; Yang, Z.; Wang, L.; Zhang, H.; Guo, P.; Gao, Y.; Guo, J. A Review of Deep Learning-Based Visual Multi-Object Tracking Algorithms for Autonomous Driving. Appl. Sci. 2022, 12, 10741. [Google Scholar] [CrossRef]
- Chen, Z.; Lam, O.; Jacobson, A.; Milford, M. Convolutional Neural Network-based Place Recognition. arXiv 2014, arXiv:1411.1509. [Google Scholar]
- Gao, X.; Zhang, T. Loop closure detection for visual SLAM systems using deep neural networks. In Proceedings of the 2015 34th Chinese Control Conference (CCC), Hangzhou, China, 28–30 July 2015; pp. 5851–5856. [Google Scholar]
- Merrill, N.; Huang, G. Lightweight Unsupervised Deep Loop Closure. arXiv 2018. [Google Scholar] [CrossRef]
- Dalal, N.; Triggs, B. Histograms of oriented gradients for human detection. In Proceedings of the 2005 IEEE Computer Society Conference on Computer Vision and Pattern Recognition (CVPR’05), San Diego, CA, USA, 20–25 June 2005; Volume 1, pp. 886–893. [Google Scholar]
- Li, A.; Ruan, X.; Huang, J.; Zhu, X. Loop closure detection algorithm based on convolutional neural network and VLAD. Comput. Appl. Softw. 2021, 38, 135–142. [Google Scholar]
- He, K.; Zhang, X.; Ren, S.; Sun, J. Spatial Pyramid Pooling in Deep Convolutional Networks for Visual Recognition. IEEE Trans. Pattern Anal. Mach. Intell. 2015, 37, 1904–1916. [Google Scholar] [CrossRef] [PubMed]
- Zhang, X.; Su, Y.; Zhu, X. Loop closure detection for visual SLAM systems using convolutional neural network. In Proceedings of the 2017 23rd International Conference on Automation and Computing (ICAC), Huddersfield, UK, 7–8 September 2017; pp. 1–6. [Google Scholar]
- Wang, S.; Lv, X.; Liu, X.; Ye, D. Compressed Holistic ConvNet Representations for Detecting Loop Closures in Dynamic Environments. IEEE Access 2020, 8, 60552–60574. [Google Scholar] [CrossRef]
- Jegou, H.; Perronnin, F.; Douze, M.; Sanchez, J.; Perez, P.; Schmid, C. Aggregating Local Image Descriptors into Compact Codes. IEEE Trans. Pattern Anal. Mach. Intell. 2012, 34, 1704–1716. [Google Scholar] [CrossRef]
- Arandjelović, R.; Gronat, P.; Torii, A.; Pajdla, T.; Sivic, J. NetVLAD: CNN Architecture for Weakly Supervised Place Recognition. IEEE Trans. Pattern Anal. Mach. Intell. 2018, 40, 1437–1451. [Google Scholar] [CrossRef]
- Gálvez-López, D.; Tardós, J.D. Real-time loop detection with bags of binary words. In Proceedings of the 2011 IEEE/RSJ International Conference on Intelligent Robots and Systems, San Francisco, CA, USA, 25–30 September 2011; pp. 51–58. [Google Scholar]
- Yu, M.; Zhang, L.; Wang, W.; Huang, H. Loop Closure Detection by Using Global and Local Features with Photometric and Viewpoint Invariance. IEEE Trans. Image Process. A Publ. IEEE Signal Process. Soc. 2021, 30, 8873–8885. [Google Scholar] [CrossRef] [PubMed]
- Jin, S.; Dai, X.; Meng, Q. Loop closure detection with patch-level local features and visual saliency prediction. Eng. Appl. Artif. Intell. 2023, 120, 105902. [Google Scholar] [CrossRef]
- Simonyan, K.; Zisserman, A. Very Deep Convolutional Networks for Large-Scale Image Recognition. arXiv 2014. [Google Scholar] [CrossRef]
- Krizhevsky, A.; Sutskever, I.; Hinton, G.E. ImageNet Classification with Deep Convolutional Neural Networks. Commun. ACM 2017, 60, 84–90. [Google Scholar] [CrossRef]
- He, K.; Zhang, X.; Ren, S.; Sun, J. Deep Residual Learning for Image Recognition. In Proceedings of the IEEE Conference on Computer Vision and Pattern Recognition (CVPR), Las Vegas, NV, USA, 26 June–7 July 2016. [Google Scholar] [CrossRef]
- Howard, A.; Sandler, M.; Chen, B.; Wang, W.; Chen, L.C.; Tan, M.; Chu, G.; Vasudevan, V.; Zhu, Y.; Pang, R.; et al. Searching for MobileNetV3. In Proceedings of the 2019 IEEE/CVF International Conference on Computer Vision (ICCV), Seoul, Republic of Korea, 27 October–2 November 2019; pp. 1314–1324. [Google Scholar]
- Cummins, M.; Newman, P. FAB-MAP: Probabilistic localization and mapping in the space of appearance. Int. J. Robot. Res. 2008, 27, 647–665. [Google Scholar] [CrossRef]











| Image Similarity to 793 to Be Queried | Block Similarity Difference Value | |||||||||||
|---|---|---|---|---|---|---|---|---|---|---|---|---|
| Block | ||||||||||||
| Image Serial Number | Before Block Calculation | After Block Calculation | 1 | 2 | 3 | 4 | 5 | 6 | 7 | 8 | 9 | |
| Images to be queried | 793 | 1 | 1 | 0 | 0 | 0 | 0 | 0 | 0 | 0 | 0 | 0 |
| Loop closure | 580 | 0.87 | 0.81 | 0.21 | 0.25 | 0.25 | 0.19 | 0.19 | 0.27 | 0.16 | 0.17 | 0.26 |
| Non-loop closure | 570 | 0.71 | 0.42 | 0.51 | 0.82 | 0.91 | 0.41 | 0.61 | 0.74 | 0.34 | 0.34 | 0.73 |
| 574 | 0.73 | 0.41 | 0.62 | 0.73 | 0.81 | 0.44 | 0.62 | 0.63 | 0.49 | 0.36 | 0.66 | |
| 650 | 0.74 | 0.45 | 0.55 | 0.62 | 0.63 | 0.42 | 0.58 | 0.31 | 0.49 | 0.39 | 0.48 | |
| 653 | 0.59 | 0.35 | 0.63 | 0.74 | 0.52 | 0.43 | 0.80 | 0.54 | 0.49 | 0.45 | 0.60 | |
| Image Similarity to 1184 to Be Queried | Block Similarity Difference Value | |||||||||||
|---|---|---|---|---|---|---|---|---|---|---|---|---|
| Block | ||||||||||||
| Image Serial Number | Before Block Calculation | After Block Calculation | 1 | 2 | 3 | 4 | 5 | 6 | 7 | 8 | 9 | |
| Images to be queried | 1184 | 1 | 1 | 0 | 0 | 0 | 0 | 0 | 0 | 0 | 0 | 0 |
| Loop closure | 645 | 0.91 | 0.83 | 0.20 | 0.27 | 0.18 | 0.17 | 0.16 | 0.19 | 0.13 | 0.20 | 0.25 |
| Non-loop closure | 521 | 0.73 | 0.53 | 0.21 | 0.36 | 0.41 | 0.55 | 0.61 | 0.55 | 0.38 | 0.50 | 0.51 |
| 527 | 0.72 | 0.52 | 0.31 | 0.41 | 0.33 | 0.59 | 0.83 | 0.77 | 0.37 | 0.46 | 0.48 | |
| 1064 | 0.73 | 0.55 | 0.26 | 0.23 | 0.37 | 0.48 | 0.65 | 0.54 | 0.33 | 0.48 | 0.55 | |
| 1066 | 0.71 | 0.49 | 0.26 | 0.34 | 0.38 | 0.57 | 0.78 | 0.73 | 0.39 | 0.49 | 0.58 | |
| Dataset | New College | City Center |
|---|---|---|
| Total length (m) | 2260 | 2025 |
| Revisit length (m) | 1570 | 801 |
| Number of images | 1073 | 1237 |
| Resolution (px px) | 640 480 | 640 480 |
Disclaimer/Publisher’s Note: The statements, opinions and data contained in all publications are solely those of the individual author(s) and contributor(s) and not of MDPI and/or the editor(s). MDPI and/or the editor(s) disclaim responsibility for any injury to people or property resulting from any ideas, methods, instructions or products referred to in the content. |
© 2023 by the authors. Licensee MDPI, Basel, Switzerland. This article is an open access article distributed under the terms and conditions of the Creative Commons Attribution (CC BY) license (https://creativecommons.org/licenses/by/4.0/).
Share and Cite
Huang, Y.; Huang, B.; Zhang, Z.; Shi, Y.; Yuan, Y.; Sun, J. Loop Closure Detection Method Based on Similarity Differences between Image Blocks. Sensors 2023, 23, 8632. https://doi.org/10.3390/s23208632
Huang Y, Huang B, Zhang Z, Shi Y, Yuan Y, Sun J. Loop Closure Detection Method Based on Similarity Differences between Image Blocks. Sensors. 2023; 23(20):8632. https://doi.org/10.3390/s23208632
Chicago/Turabian StyleHuang, Yizhe, Bin Huang, Zhifu Zhang, Yuanyuan Shi, Yizhao Yuan, and Jinfeng Sun. 2023. "Loop Closure Detection Method Based on Similarity Differences between Image Blocks" Sensors 23, no. 20: 8632. https://doi.org/10.3390/s23208632
APA StyleHuang, Y., Huang, B., Zhang, Z., Shi, Y., Yuan, Y., & Sun, J. (2023). Loop Closure Detection Method Based on Similarity Differences between Image Blocks. Sensors, 23(20), 8632. https://doi.org/10.3390/s23208632

