Experimental Investigation of Acoustic Features to Optimize Intelligibility in Cochlear Implants
Abstract
1. Introduction
- It considers appropriate feature sets that have been successfully used in other audio application areas and carries out an experimental evaluation of how effective these features are at enhancing speech in the presence of noise, specifically for cochlear implant applications. This includes feature sets that have not been traditionally used in this particular application in the past.
- This study highlights which category of features is best in general for speech enhancement and, more specifically, which features are most appropriate to address stationary and non-stationary noises. The features are benchmarked in terms of speech intelligibility and processing time against a group of features, which have been previously presented in the literature [11].
- It discusses the possibility of a noise-adaptive speech enhancement system for a cochlear implant system, which is based on selecting the best feature type for each noise condition.
- This paper includes an experimental analysis of the amount of correlation between intelligibility metrics used for normal hearing and hearing-impaired situations.
2. Background
3. Features
3.1. Frequency Domain Features
3.2. Cepstral Domain Features
3.3. Wavelet Domain Features
4. Methodology
4.1. Training and Test Data
4.2. Speech Enhancement System
4.3. Training Target
4.4. Speech Segregation
4.5. Cochlear Implant Simulation
4.6. Intelligibility Metrics
5. Results and Discussion
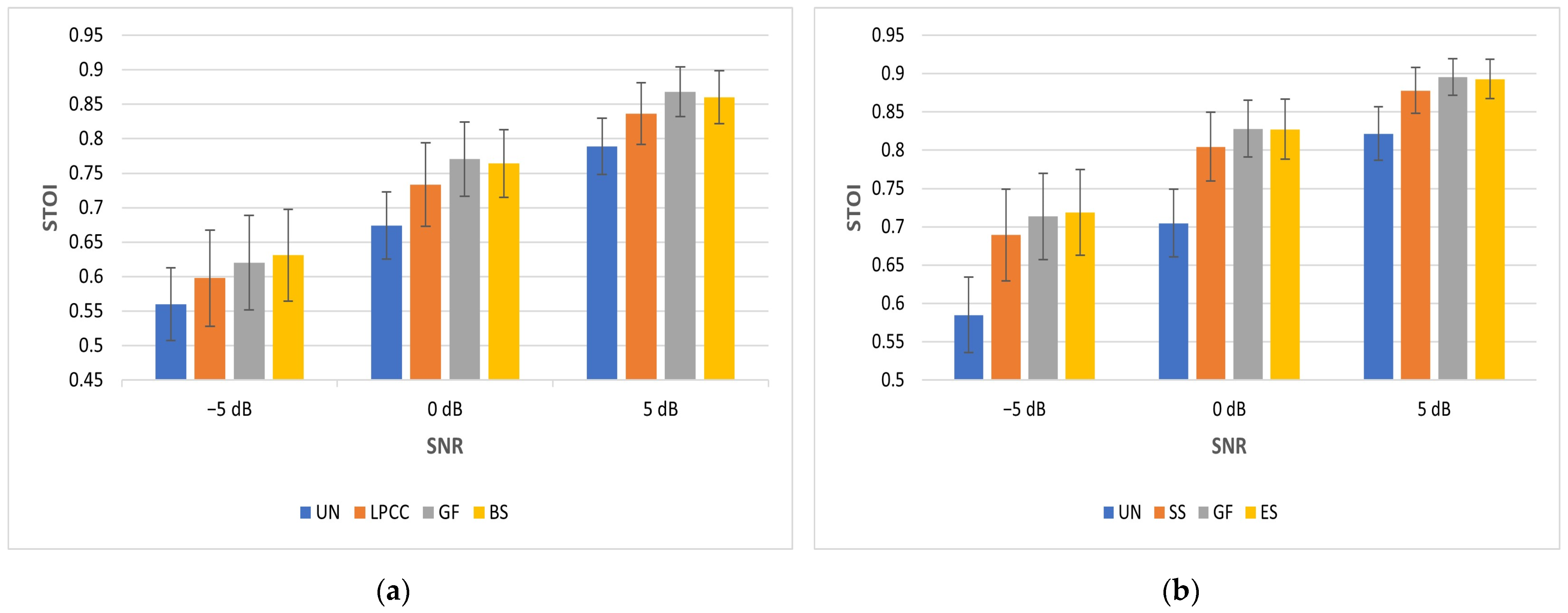
5.1. Results for Normal Hearing Case (STOI)
5.2. Results for Normal Hearing Case (HIT-FA)
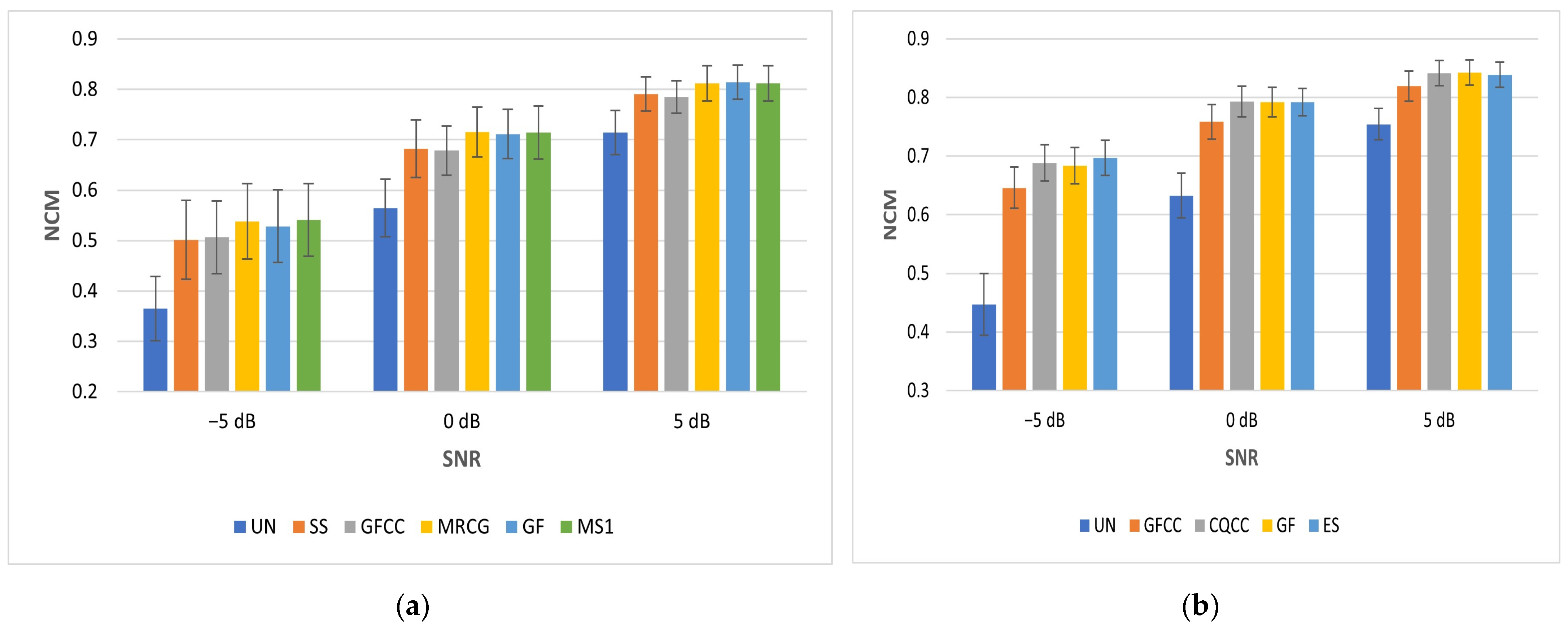
5.3. Results for Hearing Impaired Case (NCM)
5.4. Correlation of Metrics
6. Conclusions
Author Contributions
Funding
Institutional Review Board Statement
Informed Consent Statement
Data Availability Statement
Conflicts of Interest
References
- Sharma, G.; Umapathy, K.; Krishnan, S. Trends in audio signal feature extraction methods. Appl. Acoust. 2019, 158, 107020. [Google Scholar] [CrossRef]
- Loizou, P.C. Speech Enhancement: Theory and Practice; CRC Press: Boca Raton, FL, USA, 2013. [Google Scholar]
- Davis, G.M. Noise Reduction in Speech Applications; CRC Press: Boca Raton, FL, USA, 2018. [Google Scholar]
- Grzywalski, T.; Drgas, S. Speech Enhancement by Multiple Propagation through the Same Neural Network. Sensors 2022, 22, 2440. [Google Scholar] [CrossRef]
- Ullah, R.; Wuttisittikulkij, L.; Chaudhary, S.; Parnianifard, A.; Shah, S.; Ibrar, M.; Wahab, F.-E. End-to-End Deep Convolutional Recurrent Models for Noise Robust Waveform Speech Enhancement. Sensors 2022, 22, 7782. [Google Scholar] [CrossRef] [PubMed]
- Drgas, S. A Survey on Low-Latency DNN-Based Speech Enhancement. Sensors 2023, 23, 1380. [Google Scholar] [CrossRef] [PubMed]
- Rascon, C. Characterization of Deep Learning-Based Speech-Enhancement Techniques in Online Audio Processing Applications. Sensors 2023, 23, 4394. [Google Scholar] [CrossRef]
- Mourão, G.L.; Costa, M.H.; Paul, S. Speech Intelligibility for Cochlear Implant Users with the MMSE Noise-Reduction Time-Frequency Mask. Biomed. Signal Process. Control 2020, 60, 101982. [Google Scholar] [CrossRef]
- Crowson, M.G.; Lin, V.; Chen, J.M.; Chan, T.C.Y. Machine Learning and Cochlear Implantation—A Structured Review of Opportunities and Challenges. Otol. Neurotol. 2020, 41, e36–e45. [Google Scholar] [CrossRef]
- Henry, F.; Glavin, M.; Jones, E. Noise reduction in cochlear implant signal processing: A review and recent developments. IEEE Rev. Biomed. Eng. 2023, 16, 319–331. [Google Scholar] [CrossRef]
- Wang, Y.; Narayanan, A.; Wang, D. On Training Targets for Supervised Speech Separation. IEEE/ACM Trans. Audio Speech Lang. Process. 2014, 22, 1849–1858. [Google Scholar] [CrossRef]
- Moser, T. Restoring Hearing with Beams of Light. IEEE Spectr. 2022, 59, 30–35. [Google Scholar] [CrossRef]
- Alías, F.; Socoró, J.C.; Sevillano, X. A review of physical and perceptual feature extraction techniques for speech, music and environmental sounds. Appl. Sci. 2016, 6, 143. [Google Scholar] [CrossRef]
- Van Fleet, P.J. Discrete Wavelet Transformations: An Elementary Approach with Applications; John Wiley & Sons: Hoboken, NJ, USA, 2019. [Google Scholar]
- Tzanetakis, G.; Essl, G.; Cook, P. Audio analysis using the discrete wavelet transform. Proc. Conf. Acoust. Music. Theory Appl. 2001, 66. [Google Scholar]
- Kumari, R.S.S.; Sugumar, D. Wavelet Based Feature Vector Formation for Audio Signal Classification. In Proceedings of the International Conference on Advanced Computing and Communication ICACC 2007, Madurai, India, 9–10 February 2007; pp. 752–755. [Google Scholar]
- Ali, H.; Ahmad, N.; Zhou, X.; Iqbal, K.; Ali, S.M. DWT features performance analysis for automatic speech recognition of Urdu. SpringerPlus 2014, 3, 204. [Google Scholar] [CrossRef] [PubMed]
- Thiruvengatanadhan, R. Speech/Music Classification using Discrete Wavelet Transform and Linear Discriminate Analysis. Adv. Comput. Sci. Technol. 2017, 10, 3205–3209. [Google Scholar]
- Gowdy, J.; Tufekci, Z. Mel-scaled discrete wavelet coefficients for speech recognition. In Proceedings of the 2000 IEEE International Conference on Acoustics, Speech, and Signal Processing (Cat. No. 00CH37100), Istanbul, Turkey, 5–9 June 2000; Volume 3, pp. 1351–1354. [Google Scholar] [CrossRef]
- Tufekci, Z.; Gowdy, J. Feature extraction using discrete wavelet transform for speech recognition. In Proceedings of the IEEE SoutheastCon 2000, Preparing for The New Millennium (Cat. No. 00CH37105), Nashville, TN, USA, 7–9 April 2002; pp. 116–123. [Google Scholar] [CrossRef]
- Tufekci, Z.; Gowdy, J.N.; Gurbuz, S.; Patterson, E. Applying parallel model compensation with mel-frequency discrete wavelet coefficients for noise-robust speech recognition. In Proceedings of the Seventh European Conference on Speech Communication and Technology, Aalborg, Denmark, 3–7 September 2001. [Google Scholar] [CrossRef]
- Tufekci, Z.; Gowdy, J.N.; Gurbuz, S.; Patterson, E. Applied mel-frequency discrete wavelet coefficients and parallel model compensation for noise-robust speech recognition. Speech Commun. 2006, 48, 1294–1307. [Google Scholar] [CrossRef]
- Abdalla, M.I.; Ali, H.S. Wavelet-based mel-frequency cepstral coefficients for speaker identification using hidden markov models. arXiv 2010, arXiv:1003.5627. [Google Scholar]
- Abdalla, M.I.; Abobakr, H.M.; Gaafar, T.S. DWT and MFCCs based Feature Extraction Methods for Isolated Word Recognition. Int. J. Comput. Appl. 2013, 69, 21–25. [Google Scholar] [CrossRef]
- Zou, J.; Chen, J.; Geng, Z. Application of wavelet packets algorithm to diesel engines’ vibroacoustic signature extraction. Proc. Inst. Mech. Eng. Part D J. Automob. Eng. 2001, 215, 987–993. [Google Scholar] [CrossRef]
- Ariananda, D.D.; Lakshmanan, M.K.; Nikookar, H. An investigation of wavelet packet transform for spectrum estimation. arXiv 2013, arXiv:1304.3795. [Google Scholar]
- Kobayashi, M.; Nakano, K. Two problems of wavelet packet transform. In Proceedings of the 2013 10th International Conference on Information Technology: New Generations, Las Vegas, NV, USA, 15–17 April 2013; pp. 153–159. [Google Scholar]
- Anusuya, M.; Katti, S. Comparison of Different Speech Feature Extraction Techniques with and without Wavelet Transform to Kannada Speech Recognition. Int. J. Comput. Appl. 2011, 26, 19–24. [Google Scholar] [CrossRef]
- Nehe, N.S.; Holambe, R.S. DWT and LPC based feature extraction methods for isolated word recognition. EURASIP J. Audio Speech Music Process. 2012, 2012, 7. [Google Scholar] [CrossRef]
- Magre, S.; Deshmukh, R. A review on feature extraction and noise reduction technique. Int. J. Adv. Res. Comput. Sci. Softw. Eng. 2014, 4, 352–356. [Google Scholar]
- Turner, C.; Joseph, A. A Wavelet Packet and Mel-Frequency Cepstral Coefficients-Based Feature Extraction Method for Speaker Identification. Procedia Comput. Sci. 2015, 61, 416–421. [Google Scholar] [CrossRef]
- Feng, T.; Yang, S. Speech Emotion Recognition Based on LSTM and Mel Scale Wavelet Packet Decomposition. In Proceedings of the 2018 International Conference on Algorithms, Computing and Artificial Intelligence, Sanya, China, 21–23 December 2018; pp. 1–7. [Google Scholar] [CrossRef]
- Michelsanti, D.; Tan, Z.-H.; Zhang, S.-X.; Xu, Y.; Yu, M.; Yu, D.; Jensen, J. An Overview of Deep-Learning-Based Audio-Visual Speech Enhancement and Separation. IEEE/ACM Trans. Audio Speech Lang. Process. 2021, 29, 1368–1396. [Google Scholar] [CrossRef]
- Montazeri, V.; Assmann, P.F. Constraints on ideal binary masking for the perception of spectrally-reduced speech. J. Acoust. Soc. Am. 2018, 144, EL59–EL65. [Google Scholar] [CrossRef] [PubMed]
- Goehring, T.; Keshavarzi, M.; Carlyon, B.; Moore, B. Using recurrent neural networks to improve the perception of speech in non-stationary noise by people with cochlear implants. J. Acoust. Soc. Am. 2019, 146, 705–718. [Google Scholar] [CrossRef]
- Goehring, T.; Bolner, F.; Monaghan, J.J.; van Dijk, B.; Zarowski, A.; Bleeck, S. Speech enhancement based on neural networks improves speech intelligibility in noise for cochlear implant users. Hear. Res. 2017, 344, 183–194. [Google Scholar] [CrossRef] [PubMed]
- Chiea, R.A.; Costa, M.H.; Barrault, G. New insights on the optimality of parameterized wiener filters for speech enhancement applications. Speech Commun. 2019, 109, 46–54. [Google Scholar] [CrossRef]
- Xia, S.; Li, H.; Zhang, X. Using optimal ratio mask as training target for supervised speech separation. In Proceedings of the 2017 Asia-Pacific Signal and Information Processing Association Annual Summit and Conference (APSIPA ASC), Kuala Lumpur, Malaysia, 12–15 December 2017; pp. 163–166. [Google Scholar]
- Wang, D.; Chen, J. Supervised Speech Separation Based on Deep Learning: An Overview. IEEE/ACM Trans. Audio Speech Lang. Process. 2018, 26, 1702–1726. [Google Scholar] [CrossRef] [PubMed]
- Nossier, S.A.; Wall, J.; Moniri, M.; Glackin, C.; Cannings, N. Mapping and Masking Targets Comparison using Different Deep Learning based Speech Enhancement Architectures. In Proceedings of the 2020 International Joint Conference on Neural Networks (IJCNN), Glasgow, UK, 19–24 July 2020; pp. 1–8. [Google Scholar] [CrossRef]
- Saleem, N.; Khattak, M.I.; Al-Hasan, M.; Qazi, A.B. On learning spectral masking for single channel speech enhancement using feedforward and recurrent neural networks. IEEE Access 2020, 8, 160581–160595. [Google Scholar] [CrossRef]
- Abdullah, S.; Zamani, M.; Demosthenous, A. Towards More Efficient DNN-Based Speech Enhancement Using Quantized Correlation Mask. IEEE Access 2021, 9, 24350–24362. [Google Scholar] [CrossRef]
- Roy, S.K.; Nicolson, A.; Paliwal, K.K. DeepLPC: A deep learning approach to augmented Kalman filter-based single-channel speech enhancement. IEEE Access 2021, 9, 64524–64538. [Google Scholar] [CrossRef]
- Yoon, H.-W.; Lee, S.-H.; Noh, H.-R.; Lee, S.-W. Audio dequantization for high fidelity audio generation in flow-based neural vocoder. arXiv 2020, arXiv:2008.06867. [Google Scholar]
- Zhang, T.; Li, S.; Yu, B. A universal data transfer technique over voice channels of cellular mobile communication networks. IET Commun. 2021, 15, 22–32. [Google Scholar] [CrossRef]
- Sorin, A.; Shechtman, S.; Rendel, A. Semi Parametric Concatenative TTS with Instant Voice Modification Capabilities. Interspeech 2017, 1373–1377. [Google Scholar] [CrossRef][Green Version]
- Rai, A.; Barkana, B.D. Analysis of three pitch-shifting algorithms for different musical instruments. In Proceedings of the 2019 IEEE Long Island Systems, Applications and Technology Conference (LISAT), Farmingdale, NY, USA, 3 May 2019; pp. 1–6. [Google Scholar] [CrossRef]
- Hossain, S.; Goldsworthy, R.L. Factors Affecting Speech Reception in Background Noise with a Vocoder Implementation of the FAST Algorithm. J. Assoc. Res. Otolaryngol. 2018, 19, 467–478. [Google Scholar] [CrossRef]
- Lai, Y.-H.; Chen, F.; Wang, S.-S.; Lu, X.; Tsao, Y.; Lee, C.-H. A deep denoising autoencoder approach to improving the in-telligibility of vocoded speech in cochlear implant simulation. IEEE Trans. Biomed. Eng. 2017, 64, 1568–1578. [Google Scholar] [CrossRef]
- Poluboina, V.; Pulikala, A.; Muthu, A.N.P. An Improved Noise Reduction Technique for Enhancing the Intelligibility of Sinewave Vocoded Speech: Implication in Cochlear Implants. IEEE Access 2022, 11, 787–796. [Google Scholar] [CrossRef]
- Tian, S.; Yang, W.; Le Grange, J.M.; Wang, P.; Huang, W.; Ye, Z. Smart healthcare: Making medical care more intelligent. Glob. Health J. 2019, 3, 62–65. [Google Scholar] [CrossRef]
- Kutsumi, Y.; Kanegawa, N.; Zeida, M.; Matsubara, H.; Murayama, N. Automated Bowel Sound and Motility Analysis with CNN Using a Smartphone. Sensors 2022, 23, 407. [Google Scholar] [CrossRef]
- Peruzzi, G.; Galli, A.; Pozzebon, A. A Novel Methodology to Remotely and Early Diagnose Sleep Bruxism by Leveraging on Audio Signals and Embedded Machine Learning. In Proceedings of the 2022 IEEE International Symposium on Measurements & Networking (M&N), Padua, Italy, 18–20 July 2022; pp. 1–6. [Google Scholar] [CrossRef]
- Alam, A.; Urooj, S.; Ansari, A.Q. Design and Development of a Non-Contact ECG-Based Human Emotion Recognition System Using SVM and RF Classifiers. Diagnostics 2023, 13, 2097. [Google Scholar] [CrossRef] [PubMed]
- Qayyum, A.; Ahmad, K.; Ahsan, M.A.; Al-Fuqaha, A.; Qadir, J. Collaborative federated learning for healthcare: Multi-modal COVID-19 diagnosis at the edge. IEEE Open J. Comput. Soc. 2022, 3, 172–184. [Google Scholar] [CrossRef]
- Rayan, Z.; Alfonse, M.; Salem, A.-B.M. Machine Learning Approaches in Smart Health. Procedia Comput. Sci. 2019, 154, 361–368. [Google Scholar] [CrossRef]
- Diab, M.S.; Rodriguez-Villegas, E. Embedded Machine Learning Using Microcontrollers in Wearable and Ambulatory Systems for Health and Care Applications: A Review. IEEE Access 2022, 10, 98450–98474. [Google Scholar] [CrossRef]
- Alohali, Y.A.; Fayed, M.S.; Abdelsamad, Y.; Almuhawas, F.; Alahmadi, A.; Mesallam, T.; Hagr, A. Machine Learning and Cochlear Implantation: Predicting the Post-Operative Electrode Impedances. Electronics 2023, 12, 2720. [Google Scholar] [CrossRef]
- Johnson, D.; Shami, P. The Signal Processing Information Base. IEEE Signal Process. Mag. 1993, 10, 36–42. [Google Scholar] [CrossRef]
- Naing, H.M.S.; Hidayat, R.; Winduratna, B.; Miyanaga, Y. Comparison of Three Auditory Frequency Scales in Feature Extraction on Myanmar Digits Recognition. In Proceedings of the 2018 10th International Conference on Information Technology and Electrical Engineering (ICITEE), Bali, Indonesia, 24–26 July 2018; pp. 1–6. [Google Scholar]
- Todisco, M.; Delgado, H.; Evans, N. A new feature for automatic speaker verification anti-spoofing: Constant Q cepstral coefficients. Odyssey 2016, 2016, 283–290. [Google Scholar]
- Clemins, P.J.; Trawicki, M.B.; Adi, K.; Tao, J.; Johnson, M.T. Generalized perceptual features for vocalization analysis across multiple species. In Proceedings of the 2006 IEEE International Conference on Acoustics Speech and Signal Processing Proceedings, Toulouse, France, 14–19 May 2006; Volume 1, p. I. [Google Scholar]
- Yin, H.; Hohmann, V.; Nadeu, C. Acoustic features for speech recognition based on Gammatone filterbank and instantaneous frequency. Speech Commun. 2011, 53, 707–715. [Google Scholar] [CrossRef]
- Chen, J.; Huang, Y.; Li, Q.; Paliwal, K. Recognition of Noisy Speech Using Dynamic Spectral Subband Centroids. IEEE Signal Process. Lett. 2004, 11, 258–261. [Google Scholar] [CrossRef]
- Turab, M.; Kumar, T.; Bendechache, M.; Saber, T. Investigating multi-feature selection and ensembling for audio classification. arXiv 2022, arXiv:2206.07511. [Google Scholar] [CrossRef]
- Alavi, Z.; Azimi, B. Application of Environment Noise Classification towards Sound Recognition for Cochlear Implant Users. In Proceedings of the 2019 6th International Conference on Electrical and Electronics Engineering (ICEEE), Istanbul, Turkey, 16–17 April 2019; pp. 144–148. [Google Scholar] [CrossRef]
- Chen, J.; Wang, Y.; Wang, D. A feature study for classification-based speech separation at low signal-to-noise ratios. IEEE/ACM Trans. Audio Speech Lang. Process. 2014, 22, 1993–2002. [Google Scholar] [CrossRef]
- ANSI S1.11-2004; Specification for Octave Band and Fractional Octave band Analog and Digital Filters. American National Standards Institute: Washington, DC, USA, 2004.
- Kalaivani, S.; Thakur, R.S. Modified Hidden Markov Model for Speaker Identification System. Int. J. Adv. Comput. Electron. Eng. 2017, 2, 1–7. [Google Scholar]
- Dai, J.; Vijayarajan, V.; Peng, X.; Tan, L.; Jiang, J. Speech Recognition Using Sparse Discrete Wavelet Decomposition Feature Extraction. In Proceedings of the 2018 IEEE International Conference on Electro/Information Technology (EIT), Rochester, MI, USA, 3–5 May 2018; pp. 0812–0816. [Google Scholar] [CrossRef]
- Al-Shoshan, A.I. Speech and Music Classification and Separation: A Review. J. King Saud Univ.—Eng. Sci. 2006, 19, 95–132. [Google Scholar] [CrossRef]
- Palo, H.K.; Mohanty, M.N. Wavelet based feature combination for recognition of emotions. Ain Shams Eng. J. 2018, 9, 1799–1806. [Google Scholar] [CrossRef]
- Gaafar, T.S.; Bakr, H.M.A.; Abdalla, M.I. An improved method for speech/speaker recognition. In Proceedings of the 2014 International Conference on Informatics, Electronics & Vision (ICIEV), Dhaka, Bangladesh, 23–24 May 2014; pp. 1–5. [Google Scholar] [CrossRef]
- Sharan, R.V.; Xiong, H.; Berkovsky, S. Benchmarking Audio Signal Representation Techniques for Classification with Convolutional Neural Networks. Sensors 2021, 21, 3434. [Google Scholar] [CrossRef] [PubMed]
- Rothauser, E. IEEE recommended practice for speech quality measurements. IEEE Trans. Audio Electroacoust. 1969, 17, 225–246. [Google Scholar]
- Wang, Y.; Han, K.; Wang, D. Exploring Monaural Features for Classification-Based Speech Segregation. IEEE Trans. Audio Speech Lang. Process. 2012, 21, 270–279. [Google Scholar] [CrossRef]
- Wang, D.; Hansen, J.H.L. Speech enhancement for cochlear implant recipients. J. Acoust. Soc. Am. 2018, 143, 2244–2254. [Google Scholar] [CrossRef]
- Healy, E.W.; Yoho, S.E.; Wang, Y.; Wang, D. An algorithm to improve speech recognition in noise for hearing-impaired listeners. J. Acoust. Soc. Am. 2013, 134, 3029–3038. [Google Scholar] [CrossRef]
- Dorman, M.F.; Loizou, P.C.; Rainey, D. Speech intelligibility as a function of the number of channels of stimulation for signal processors using sine-wave and noise-band outputs. J. Acoust. Soc. Am. 1997, 102, 2403–2411. [Google Scholar] [CrossRef]
- Bolner, F.; Goehring, T.; Monaghan, J.; Van Dijk, B.; Wouters, J.; Bleeck, S. Speech Enhancement Based on Neural Networks Applied to Cochlear Implant Coding Strategies. In Proceedings of the 2016 IEEE International Conference on Acoustics, Speech and Signal Processing (ICASSP), IEEE, Shanghai, China, 20–25 March 2016; pp. 6520–6524. [Google Scholar]
- Montgomery, D.C.; Runger, G.C. Applied Statistics and Probability for Engineers; John Wiley & Sons: Hoboken, NJ, USA, 2020. [Google Scholar]
- Ghosh, R.; Ali, H.; Hansen, J.H.L. CCi-MOBILE: A Portable Real Time Speech Processing Platform for Cochlear Implant and Hearing Research. IEEE Trans. Biomed. Eng. 2021, 69, 1251–1263. [Google Scholar] [CrossRef] [PubMed]











| Feature | Abbreviation | Reference |
|---|---|---|
| Unprocessed mixtures | UN | - |
| Bark Spectrum | BS | Naing et al. [60] |
| Constant Q Cepstral Coefficients | CQCC | Todisco et al. [61] |
| Equivalent Rectangular Bandwidth Spectrum | ES | Naing et al. [60] |
| Gammatone Filterbank Power Spectra | GF | Wang et al. [11] |
| Greenwood Function Cepstral Coefficients | GFCC | Clemins et al. [62] |
| Gammatone Cepstral Coefficients | GTCC | Yin et al. [63] |
| Linear Prediction Cepstral Coefficients | LPCC | Chen et al. [64] |
| Mel Spectrogram | MS1 | Turab et al. [65] |
| Mel Spectrum | MS2 | Naing et al. [60] |
| Mel Frequency Cepstral Coefficients | MFCC | Alavi and Azimi [66] |
| Multiresolution Cochleagram | MRCG | Chen et al. [67] |
| Octave Spectrum | OS | ANSI [68] |
| Perceptual Linear Prediction Coefficients | PLP | Hermansky [69] |
| Sparse Discrete Wavelet Decomposition | SDWD | Dai et al. [70] |
| Spectral Shape | SS | Al-Shoshan [71] |
| Short Time Fourier Transform | STFT | - |
| Wavelet Mel Frequency Cepstral Coefficients | WMFCC | Palo and Kumar [72] |
| Wavelet Perceptual Linear Prediction Coefficients | WPLP | Gaafar et al. [73] |
| Noise | Babble | SSN | ||||
|---|---|---|---|---|---|---|
| Feat/SNR | −5 dB | 0 dB | 5 dB | −5 dB | 0 dB | 5 dB |
| UN | 0.5599 (0.0530) | 0.6738 (0.0489) | 0.7889 (0.0409) | 0.5849 (0.0493) | 0.7047 (0.0442) | 0.8216 (0.0349) |
| BS | 0.6309 (0.0666) | 0.7639 (0.0552) | 0.8601 (0.0387) | 0.7147 (0.0559) | 0.8240 (0.0397) | 0.8916 (0.0262) |
| CQCC | 0.6249 (0.0636) | 0.7613 (0.0547) | 0.8622 (0.0379) | 0.7089 (0.0557) | 0.8197 (0.0404) | 0.8917 (0.0260) |
| ES | 0.6258 (0.0659) | 0.7635 (0.0541) | 0.8602 (0.0385) | 0.7188 (0.0562) | 0.8273 (0.0394) | 0.8928 (0.0258) |
| GF | 0.6201 (0.0685) | 0.7704 (0.0539) | 0.8681 (0.0362) | 0.7135 (0.0564) | 0.8281 (0.0372) | 0.8955 (0.0239) |
| GFCC | 0.6148 (0.0639) | 0.7616 (0.0521) | 0.8626 (0.0363) | 0.6966 (0.0598) | 0.8191 (0.0411) | 0.8910 (0.0257) |
| GTCC | 0.6134 (0.0663) | 0.7610 (0.0539) | 0.8616 (0.0371) | 0.6962 (0.0600) | 0.8165 (0.0417) | 0.8899 (0.0268) |
| LPCC | 0.5977 (0.0698) | 0.7333 (0.0607) | 0.8367 (0.0447) | 0.6948 (0.0578) | 0.8101 (0.0419) | 0.8850 (0.0270) |
| MS1 | 0.6255 (0.0687) | 0.7666 (0.0573) | 0.8635 (0.0398) | 0.7100 (0.0551) | 0.8209 (0.0392) | 0.8894 (0.0259) |
| MS2 | 0.6273 (0.0682) | 0.7609 (0.0566) | 0.8583 (0.0392) | 0.7142 (0.0560) | 0.8223 (0.0398) | 0.8902 (0.0265) |
| MFCC | 0.6168 (0.0669) | 0.7611 (0.0544) | 0.8610 (0.0378) | 0.7013 (0.0571) | 0.8170 (0.0405) | 0.8902 (0.0267) |
| MRCG | 0.6164 (0.0718) | 0.7634 (0.0517) | 0.8622 (0.0370) | 0.7157 (0.0542) | 0.8272 (0.0369) | 0.8930 (0.0241) |
| OS | 0.6208 (0.0667) | 0.7660 (0.0540) | 0.8615 (0.0392) | 0.7141 (0.0544) | 0.8201 (0.0388) | 0.8894 (0.0261) |
| PLP | 0.6214 (0.0639) | 0.7571 (0.0541) | 0.8572 (0.0393) | 0.7010 (0.0549) | 0.8192 (0.0400) | 0.8895 (0.0266) |
| SDWD | 0.6156 (0.0649) | 0.7559 (0.0548) | 0.8572 (0.0409) | 0.7059 (0.0551) | 0.8166 (0.0402) | 0.8878 (0.0268) |
| SS | 0.6011 (0.0654) | 0.7436 (0.0557) | 0.8455 (0.0402) | 0.6892 (0.0600) | 0.8045 (0.0450) | 0.8779 (0.0301) |
| STFT | 0.6219 (0.0655) | 0.7610 (0.0551) | 0.8609 (0.0388) | 0.7068 (0.0567) | 0.8208 (0.0403) | 0.8912 (0.0259) |
| WMFCC | 0.6150 (0.0662) | 0.7574 (0.0570) | 0.8597 (0.0394) | 0.7032 (0.0575) | 0.8155 (0.0420) | 0.8872 (0.0268) |
| WPLP | 0.6188 (0.0669) | 0.7588 (0.0564) | 0.8584 (0.0401) | 0.7097 (0.0568) | 0.8194 (0.0402) | 0.8890 (0.0263) |
| Noise | Babble | SSN | ||||
|---|---|---|---|---|---|---|
| Feat/SNR | −5 dB | 0 dB | 5 dB | −5 dB | 0 dB | 5 dB |
| BS | 46.25 (17) | 58.96 (13) | 66.92 (13) | 64.77 (12) | 74.69 (19) | 79.53 (19) |
| CQCC | 45.71 (16) | 59.55 (20) | 69.68 (20) | 62.53 (19) | 74.02 (18) | 80.68 (20) |
| ES | 43.85 (17) | 58.46 (17) | 67.20 (16) | 65.45 (16) | 75.58 (20) | 79.86 (20) |
| GF | 47.45 (20) | 63.57 (14) | 72.14 (14) | 69.20 (14) | 77.80 (17) | 83.37 (16) |
| GFCC | 40.74 (20) | 55.76 (18) | 65.18 (18) | 57.94 (19) | 70.18 (20) | 77.60 (20) |
| GTCC | 41.04 (20) | 57.85 (18) | 67.42 (18) | 60.50 (20) | 73.20 (20) | 79.46 (19) |
| LPCC | 41.12 (16) | 55.39 (16) | 64.73 (15) | 60.99 (16) | 72.83 (16) | 78.89 (20) |
| MS1 | 45.99 (20) | 60.36 (20) | 69.36 (20) | 62.75 (13) | 73.79 (19) | 79.50 (19) |
| MS2 | 45.75 (17) | 58.10 (17) | 66.22 (19) | 64.67 (12) | 74.59 (19) | 79.25 (19) |
| MFCC | 45.46 (20) | 60.29 (18) | 69.61 (18) | 63.35 (19) | 74.85 (19) | 81.07 (19) |
| MRCG | 48.95 (18) | 62.52 (16) | 71.25 (20) | 69.12 (10) | 78.21 (15) | 83.20 (20) |
| OS | 44.28 (19) | 59.08 (15) | 67.34 (15) | 63.64 (20) | 73.89 (20) | 79.12 (20) |
| PLP | 43.52 (17) | 57.55 (16) | 67.42 (14) | 64.24 (7) | 74.49 (20) | 80.53 (17) |
| SDWD | 42.28 (17) | 57.72 (14) | 68.38 (19) | 62.23 (17) | 73.79 (17) | 79.74 (17) |
| SS | 36.49 (19) | 51.72 (15) | 62.29 (19) | 58.08 (15) | 69.09 (20) | 74.77 (20) |
| STFT | 46.14 (20) | 59.96 (20) | 69.44 (19) | 63.79 (19) | 74.79 (19) | 80.84 (18) |
| WMFCC | 43.76 (17) | 59.33 (20) | 69.42 (20) | 61.83 (18) | 73.30 (17) | 79.80 (16) |
| WPLP | 45.40 (16) | 59.58 (20) | 69.44 (15) | 63.23 (18) | 74.66 (18) | 80.31 (18) |
| Noise | Babble | SSN | ||||
|---|---|---|---|---|---|---|
| Feat/SNR | −5 dB | 0 dB | 5 dB | −5 dB | 0 dB | 5 dB |
| UN | 0.3651 (0.0640) | 0.5643 (0.0570) | 0.7143 (0.0446) | 0.4469 (0.0525) | 0.6326 (0.0381) | 0.7544 (0.0263) |
| BS | 0.5299 (0.0732) | 0.7055 (0.0506) | 0.8042 (0.0350) | 0.6933 (0.0288) | 0.7903 (0.0255) | 0.8380 (0.0229) |
| CQCC | 0.5318 (0.0723) | 0.7073 (0.0479) | 0.8095 (0.0329) | 0.6883 (0.0311) | 0.7929 (0.0263) | 0.8415 (0.0217) |
| ES | 0.5324 (0.0746) | 0.7076 (0.0509) | 0.8043 (0.0322) | 0.6972 (0.0302) | 0.7922 (0.0231) | 0.8387 (0.0217) |
| GF | 0.5285 (0.0721) | 0.7114 (0.0487) | 0.8139 (0.0341) | 0.6836 (0.0311) | 0.7919 (0.0254) | 0.8424 (0.0216) |
| GFCC | 0.5064 (0.0717) | 0.6784 (0.0488) | 0.7848 (0.0321) | 0.6461 (0.0352) | 0.7583 (0.0299) | 0.8194 (0.0258) |
| GTCC | 0.5087 (0.0765) | 0.6957 (0.0502) | 0.8037 (0.0337) | 0.6726 (0.0335) | 0.7801 (0.0249) | 0.8339 (0.0218) |
| LPCC | 0.5114 (0.0796) | 0.6893 (0.0539) | 0.7932 (0.0357) | 0.6722 (0.0334) | 0.7793 (0.0274) | 0.8354 (0.0223) |
| MS1 | 0.5412 (0.0720) | 0.7146 (0.0524) | 0.8118 (0.0349) | 0.6912 (0.0304) | 0.7924 (0.0249) | 0.8374 (0.0196) |
| MS2 | 0.5331 (0.0722) | 0.7072 (0.0510) | 0.8049 (0.0346) | 0.6935 (0.0287) | 0.7902 (0.0254) | 0.8376 (0.0228) |
| MFCC | 0.5366 (0.0692) | 0.7076 (0.0467) | 0.8102 (0.0306) | 0.6825 (0.0316) | 0.7903 (0.0259) | 0.8414 (0.0214) |
| MRCG | 0.5378 (0.5378) | 0.7158 (0.0494) | 0.8120 (0.0345) | 0.6845 (0.0313) | 0.7909 (0.0236) | 0.8411 (0.0223) |
| OS | 0.5321 (0.0749) | 0.7078 (0.0535) | 0.8035 (0.0346) | 0.6936 (0.0320) | 0.7902 (0.0244) | 0.8338 (0.0226) |
| PLP | 0.5272 (0.0784) | 0.7025 (0.0530) | 0.8041 (0.0362) | 0.6736 (0.0320) | 0.7910 (0.0250) | 0.8409 (0.0197) |
| SDWD | 0.5321 (0.0819) | 0.7034 (0.0528) | 0.8083 (0.0356) | 0.6881 (0.0293) | 0.7895 (0.0243) | 0.8386 (0.0210) |
| SS | 0.5017 (0.0784) | 0.6820 (0.0569) | 0.7910 (0.0335) | 0.6671 (0.0368) | 0.7704 (0.0286) | 0.8229 (0.0243) |
| STFT | 0.5287 (0.0714) | 0.7071 (0.0509) | 0.8101 (0.0342) | 0.6881 (0.0322) | 0.7915 (0.0251) | 0.8409 (0.0206) |
| WMFCC | 0.5267 (0.0742) | 0.7059 (0.0549) | 0.8101 (0.0341) | 0.6825 (0.0319) | 0.7879 (0.0267) | 0.8385 (0.0208) |
| WPLP | 0.5252 (0.0759) | 0.7014 (0.0532) | 0.8084 (0.0356) | 0.6888 (0.0301) | 0.7890 (0.0253) | 0.8397 (0.0221) |
| Metrics | Noise | −5 dB SNR | 0 dB SNR | 5 dB SNR |
|---|---|---|---|---|
| STOI vs. NCM | Babble | 0.9237 | 0.9519 | 0.9403 |
| STOI vs. NCM | SSN | 0.9855 | 0.9755 | 0.9641 |
| HIT-FA vs. NCM | Babble | 0.8386 | 0.8554 | 0.8872 |
| HIT-FA vs. NCM | SSN | 0.6164 | 0.7802 | 0.8235 |
Disclaimer/Publisher’s Note: The statements, opinions and data contained in all publications are solely those of the individual author(s) and contributor(s) and not of MDPI and/or the editor(s). MDPI and/or the editor(s) disclaim responsibility for any injury to people or property resulting from any ideas, methods, instructions or products referred to in the content. |
© 2023 by the authors. Licensee MDPI, Basel, Switzerland. This article is an open access article distributed under the terms and conditions of the Creative Commons Attribution (CC BY) license (https://creativecommons.org/licenses/by/4.0/).
Share and Cite
Henry, F.; Parsi, A.; Glavin, M.; Jones, E. Experimental Investigation of Acoustic Features to Optimize Intelligibility in Cochlear Implants. Sensors 2023, 23, 7553. https://doi.org/10.3390/s23177553
Henry F, Parsi A, Glavin M, Jones E. Experimental Investigation of Acoustic Features to Optimize Intelligibility in Cochlear Implants. Sensors. 2023; 23(17):7553. https://doi.org/10.3390/s23177553
Chicago/Turabian StyleHenry, Fergal, Ashkan Parsi, Martin Glavin, and Edward Jones. 2023. "Experimental Investigation of Acoustic Features to Optimize Intelligibility in Cochlear Implants" Sensors 23, no. 17: 7553. https://doi.org/10.3390/s23177553
APA StyleHenry, F., Parsi, A., Glavin, M., & Jones, E. (2023). Experimental Investigation of Acoustic Features to Optimize Intelligibility in Cochlear Implants. Sensors, 23(17), 7553. https://doi.org/10.3390/s23177553

