A Novel AGV Path Planning Approach for Narrow Channels Based on the Bi-RRT Algorithm with a Failure Rate Threshold
Abstract
:1. Introduction
2. Background
2.1. Problem Definition
2.2. Related Work
| Algorithm 1. Bi-RRT | |
| 1 | T1 ← {nstart}; T2 ← {ngoal}; |
| 2 | E1; |
| 3 | for each iter ∈ [1, Maxiter] do |
| 4 | nrand ← Sample(iter); |
| 5 | nnearest ← Nearest(T1, nrand); |
| 6 | nnew ← Steer(nnearest, nrand); |
| 7 | if Collision-free(nnearest, nnew, Sobs) then |
| 8 | T1 ←T1 ∪{nnew}; |
| 9 | E1 ← E1 ∪{(nnearest, nnew)}; |
| 10 | n′nearest ← Nearest(T2, nnew); |
| 11 | n′new ← Steer(n′nearest, nnew); |
| 12 | if Collision-free(n′nearest, n′new, Sobs) then |
| 13 | T2 ←T2 ∪{n′new}; |
| 14 | E2 ← E2 ∪{(n′nearest, n′new)}; |
| 15 | n″new ← Steer(n′new, nnew); |
| 16 | if Collision-free(n′nearest, n′new, Sobs) then |
| 17 | T2 ← T2 ∪{n″new}; |
| 18 | E2 ← E2 ∪{(n″new, n′new)}; |
| 19 | n′new ← n″new; |
| 20 | end if; |
| 21 | if n′new = nnew then Return T1, T2, E1, E2; |
| 22 | end if; |
| 23 | end if; |
| 24 | if |T2| < |T1| then |
| 25 | Swap(T1, T2); |
| 26 | Swap(E1, E2); |
| 27 | end if; |
| 28 | end for |
| 29 | Return T1, T2, E1, E2; |
- Sample: Random sample in the environment and return the sample point nrand.
- Nearest(T, nrand): Returns the node closest to nrand in the tree T.
- Steer(nnearest, nrand): Extend a length from nnearest to nrand to get a new node.
3. Improved Bi-RRT Algorithm with Search Failure Rate Threshold (SFRT)
- Balanced growth strategy: The growth priority of the bidirectional tree of the Bi-RRT algorithm is improved. The number of nodes in each tree and the distance from the target point are used as cost indicators, and the growth of the tree with the lower cost is given priority in order to make the sampling more uniform.
- High-quality search strategy: The node closest to the target point on the search tree is selected to carry out the search. Three search strategies were designed to adapt to different environments. The calculated real-time sampling failure rate was compared with the failure rate threshold to determine whether the current environment was simple, complex, or the most complex. When sampling becomes increasingly difficult, the adaptive sector search strategy, the dynamic right angle search strategy, and the target-biased RRT search strategy are gradually implemented to help the algorithm adapt to the obstacle environment. At the same time, the parent node re-selection and the path pruning methods are introduced to reduce redundant nodes and further improve search quality.
- Path smoothing strategy: After generating an initial path, the piecewise quadratic Bezier curve method is used to optimize the corners of the path, so that the smoothness of the path is higher and more in line with the steering motion of AGV.
3.1. Dual Index-Exchange Search Tree
3.2. Search and Optimize Paths
3.2.1. Three-Stage Search Strategy
| Algorithm 2. Adaptive sector search strategy | |
| 1 | nnearest ← nnearest; |
| 2 | a ← Len(T) |
| 3 | A ← Surrounding nodes(nnearest, S) |
| 4 | for each nref ∈ A do |
| 5 | if Collision-free(nnearest, nref, Sobs) then |
| 6 | nnew ← nref; |
| 7 | T ← T ∪{nnew}; |
| 8 | E ← E ∪{(nnearest, nnew)}; |
| 9 | break |
| 10 | b ← Len(T) |
| 11 | if b ! = a then |
| 12 | nnew ← Sample sector(nnearest, ngoal, p); |
| 13 | if Collision-free(nnearest, nnew, Sobs) then |
| 14 | T ← T ∪{nnew}; |
| 15 | E ← E ∪{(nnearest, nnew)}; |
| 16 | else then |
| 17 | nnew = None; |
| 18 | Return nnearnest, nnew; |
| Algorithm 3. Surrounding nodes | |
| 1 | A; nnearest ← nnearest; |
| 2 | B ← Extending nodes(S); |
| 3 | for each nref ∈ B do |
| 4 | if nref ∈ Ssur(nnearest, ngoal) then |
| 5 | A ←A ∪{ nref }; |
| 6 | end if; |
| 7 | end for |
| 8 | Return A; |
| Algorithm 4. Sample sector | |
| 1 | nnearest ← nnearest; p ← p; |
| 2 | a, r ← Angle(nnearest, ngoal, p); |
| 3 | S’sec ← Ssec(a, r); |
| 4 | nnew ← Sample(S’sec); |
| 5 | Return nnew; |
- Len: Calculate the length of the list.
- Samplesector: Sample in a fan-shaped space and return new nodes.
- Extending nodes: The collection of a series of reference points, which is composed of reference points (nref in Figure 3) that extend around the vertices of each obstacle at a certain length.
- Ssur: A rectangular dynamic search region between nnearest and ngoal.
- Angle: Calculate the central angle and radius of the fan from nnearest to ngoal.
- Ssec: Plan out the fan-shaped sampling area.
| Algorithm 5. Sampleright | |
| 1 | nnearest ← nnearest; p ← p; |
| 2 | b1, b2 ← rectangle(nnearest, ngoal, p); |
| 3 | S’rec ← Srec(a, r); |
| 4 | nnew ← Sample(S’rec); |
| 5 | Return nnew; |
- rectangle: Calculate the length of two adjacent edges of the rectangle.
- Srec: Plan out the right-angle sampling area.
3.2.2. Path Cost Optimization Strategy
| Algorithm 6. ChooseParent(Snear, nnew, nnearest) | |
| 1 | nmin ← nnearest; |
| 2 | Cmindist ← C(nnear) + Dist(nnear, nnew); |
| 3 | for each nnear ∈ Snear do |
| 4 | Cdist ← C(nnear) + Dist(nnear, nnew); |
| 5 | if Collision-free(nnear, nnew, Sobs) then |
| 6 | if Cmindist < Cdist then |
| 7 | Cmindist = Cdist; |
| 8 | nmin ← nnear; |
| 9 | end if; |
| 10 | end if; |
| 11 | end for |
| 12 | Return nmin; |
3.3. Bezier Curve Optimization
4. Simulation Results
4.1. Performance Testing
4.2. Simulation of a Real Warehouse Environment
4.3. Discussion
5. Conclusions
Author Contributions
Funding
Data Availability Statement
Conflicts of Interest
References
- Luo, L.; Zhao, N.; Zhu, Y.; Sun, Y.J. A* guiding DQN algorithm for automated guided vehicle pathfinding problem of robotic mobile fulfillment systems. Comput. Ind. Eng. 2023, 178, 19. [Google Scholar] [CrossRef]
- Xie, L.; Li, H.Y.; Luttmann, L. Formulating and solving integrated order batching and routing in multi-depot AGV-assisted mixed-shelves warehouses. Eur. J. Oper. Res. 2023, 307, 713–730. [Google Scholar] [CrossRef]
- Liang, C.; Zhang, Y.; Dong, L. A Three Stage Optimal Scheduling Algorithm for AGV Route Planning Considering Collision Avoidance under Speed Control Strategy. Mathematics 2022, 11, 138. [Google Scholar] [CrossRef]
- Yang, Y.S.; He, S.; Sun, S. Research on the Cooperative Scheduling of ARMGs and AGVs in a Sea-Rail Automated Container Terminal under the Rail-in-Port Model. J. Mar. Sci. Eng. 2023, 11, 23. [Google Scholar] [CrossRef]
- Li, Z.K.; Sang, H.Y.; Li, J.Q.; Han, Y.Y.; Gao, K.Z.; Zheng, Z.X.; Liu, L.L. Invasive weed optimization for multi-AGVs dispatching problem in a matrix manufacturing workshop. Swarm Evol. Comput. 2023, 77, 15. [Google Scholar] [CrossRef]
- Quan, Y.M.; Lei, M.; Chen, W.Z.; Wang, R.H. AGV Motion Balance and Motion Regulation Under Complex Conditions. Int. J. Control Autom. Syst. 2022, 20, 551–563. [Google Scholar] [CrossRef]
- Badgujar, C.; Flippo, D.; Welch, S. Artificial neural network to predict traction performance of autonomous ground vehicle on a sloped soil bin and uncertainty analysis. Comput. Electron. Agric. 2022, 196, 10. [Google Scholar] [CrossRef]
- Saiz-Rubio, V.; Rovira-Mas, F.; Cuenca-Cuenca, A.; Alves, F. Robotics-based vineyard water potential monitoring at high resolution. Comput. Electron. Agric. 2021, 187, 12. [Google Scholar] [CrossRef]
- Yang, Y.S.; Sun, S.; Zhong, M.S.; Feng, J.K.; Wen, F.R.; Song, H.T. A Refined Collaborative Scheduling Method for Multi-Equipment at U-Shaped Automated Container Terminals Based on Rail Crane Process Optimization. J. Mar. Sci. Eng. 2023, 11, 27. [Google Scholar] [CrossRef]
- Lin, R. Research into the Automatic Guidance System for AGVs Used for Logistics Based on Millimeter Wave Radar Imaging. Wirel. Commun. Mob. Comput. 2022, 2022, 8. [Google Scholar] [CrossRef]
- Lin, S.W.; Liu, A.; Wang, J.G.; Kong, X.Y. An intelligence-based hybrid PSO-SA for mobile robot path planning in warehouse. J. Comput. Sci. 2023, 67, 11. [Google Scholar] [CrossRef]
- Liu, Y.Y.; Yan, S.H.; Zhao, Y.; Song, C.H.; Li, F. Improved Dyna-Q: A Reinforcement Learning Method Focused via Heuristic Graph for AGV Path Planning in Dynamic Environments. Drones 2022, 6, 17. [Google Scholar] [CrossRef]
- Lee, M.Y.; Chen, B.S. Robust H-infinity Network Observer-Based Attack-Tolerant Path Tracking Control of Autonomous Ground Vehicle. IEEE Access 2022, 10, 58332–58353. [Google Scholar] [CrossRef]
- Liu, X.J.; Wang, G.L.; Chen, K. Nonlinear Model Predictive Tracking Control With C/GMRES Method for Heavy-Duty AGVs. IEEE Trans. Veh. Technol. 2021, 70, 12567–12580. [Google Scholar] [CrossRef]
- Peng, J.S.; Ngo, V.T.; Liu, Y.C. Toward distributed control of networked omnidirectional automated ground vehicles in complex environment with delay communication. Control Eng. Pract. 2023, 134, 8. [Google Scholar] [CrossRef]
- Niu, H.Y.; Wu, W.M.; Xing, Z.C.; Wang, X.K.; Zhang, T. A novel multi-tasks chain scheduling algorithm based on capacity prediction to solve AGV dispatching problem in an intelligent manufacturing system. J. Manuf. Syst. 2023, 68, 130–144. [Google Scholar] [CrossRef]
- Hart, P.E.; Nilsson, N.J.; Raphael, B. A formal basis for the heuristic determination of minimum cost paths. IEEE Trans. Syst. Sci. Cybern. 1968, 4, 100–107. [Google Scholar] [CrossRef]
- LaValle, S.M. Rapidly-exploring random trees: A new tool for path planning. Res. Rep. 1999, 87, 1208–1227. [Google Scholar]
- Karaman, S.; Frazzoli, E. Sampling-based algorithms for optimal motion planning. Int. J. Robot. Res. 2011, 30, 846–894. [Google Scholar] [CrossRef]
- Gammell, J.D.; Srinivasa, S.S.; Barfoot, T.D.; IEEE. Informed RRT*: Optimal Sampling-based Path Planning Focused via Direct Sampling of an Admissible Ellipsoidal Heuristic. In Proceedings of the IEEE/RSJ International Conference on Intelligent Robots and Systems (IROS), Chicago, IL, USA, 14–18 September 2014; IEEE: Chicago, IL, USA, 2014; pp. 2997–3004. [Google Scholar]
- Yu, F.J.; Shang, H.Q.; Zhu, Q.L.; Zhang, H.S.; Chen, Y. An efficient RRT-based motion planning algorithm for autonomous underwater vehicles under cylindrical sampling constraints. Auton. Robot. 2023, 47, 281–297. [Google Scholar] [CrossRef]
- An, J.; Lee, G.; Oh, I.; Moon, H.; Ryew, S. Navigation-oriented design for in-pipe robot in recursively divided sampling space with rapidly exploring random tree. J. Mech. Sci. Technol. 2017, 31, 5987–5995. [Google Scholar] [CrossRef]
- Kuffner, J.J.; LaValle, S.M. RRT-connect: An efficient approach to single-query path planning. In Proceedings of the 2000 ICRA, Millennium Conference, IEEE International Conference on Robotics and Automation, Symposia Proceedings (Cat. No. 00CH37065), San Francisco, CA, USA, 24–28 April 2000; IEEE: Chicago, IL, USA, 2000; pp. 995–1001. [Google Scholar]
- Klemm, S.; Oberländer, J.; Hermann, A.; Roennau, A.; Schamm, T.; Zollner, J.M.; Dillmann, R. Rrt-connect: Faster, asymptotically optimal motion planning. In Proceedings of the 2015 IEEE International Conference on Robotics and Biomimetics (ROBIO), Zhuhai, China, 6–9 December 2015; IEEE: Chicago, IL, USA, 2015; pp. 1670–1677. [Google Scholar]
- Qureshi, A.H.; Mumtaz, S.; Iqbal, K.F.; Ali, B.; Ayaz, Y.; Ahmed, F.; Muhammad, M.S.; Hasan, O.; Kim, W.Y.; Ra, M.; et al. Adaptive Potential Guided Directional-RRT. In Proceedings of the IEEE International Conference on Robotics and Biomimetics (ROBIO), Shenzhen, China, 12–14 December 2013; IEEE: Shenzhen, China, 2013; pp. 1887–1892. [Google Scholar]
- Qureshi, A.H.; Iqbal, K.F.; Qamar, S.M.; Islam, F.; Ayaz, Y.; Muhammad, N.; IEEE. Potential Guided Directional-RRT* for Accelerated Motion Planning in Cluttered Environments. In Proceedings of the 10th IEEE International Conference on Mechatronics and Automation (ICMA), Takamatsu, Japan, 4–7 August 2013; IEEE: Takamatsu, Japan, 2013; pp. 519–524. [Google Scholar]
- Qureshi, A.H.; Ayaz, Y. Potential functions based sampling heuristic for optimal path planning. Auton. Robot. 2016, 40, 1079–1093. [Google Scholar] [CrossRef]
- Wang, X.Y.; Li, X.J.; Guan, Y.; Song, J.D.; Wang, R. Bidirectional Potential Guided RRT* for Motion Planning. IEEE Access 2019, 7, 95046–95057. [Google Scholar]
- Fan, J.M.; Chen, X.; Liang, X. UAV trajectory planning based on bi-directional APF-RRT* algorithm with goal-biased. Expert Syst. Appl. 2023, 213, 12. [Google Scholar] [CrossRef]
- Chai, Q.S.; Wang, Y.J. RJ-RRT: Improved RRT for Path Planning in Narrow Passages. Appl. Sci. 2022, 12, 17. [Google Scholar] [CrossRef]
- Ding, J.; Zhou, Y.X.; Huang, X.; Song, K.; Lu, S.Q.; Wang, L.S. An improved RRT* algorithm for robot path planning based on path expansion heuristic sampling. J. Comput. Sci. 2023, 67, 12. [Google Scholar] [CrossRef]
- Huang, C.M.; Hsu, S.H. Efficient Path Planning for a Microrobot Passing through Environments with Narrow Passages. Micromachines 2022, 13, 17. [Google Scholar] [CrossRef]
- Li, B.H.; Chen, B.D. An Adaptive Rapidly-Exploring Random Tree. IEEE-CAA J. Autom. Sin. 2022, 9, 283–294. [Google Scholar] [CrossRef]
- Durakli, Z.; Nabiyev, V. A new approach based on Bezier curves to solve path planning problems for mobile robots. J. Comput. Sci. 2022, 58, 8. [Google Scholar] [CrossRef]
- Kang, J.G.; Lim, D.W.; Choi, Y.S.; Jang, W.J.; Jung, J.W. Improved RRT-Connect Algorithm Based on Triangular Inequality for Robot Path Planning. Sensors 2021, 21, 32. [Google Scholar] [CrossRef]













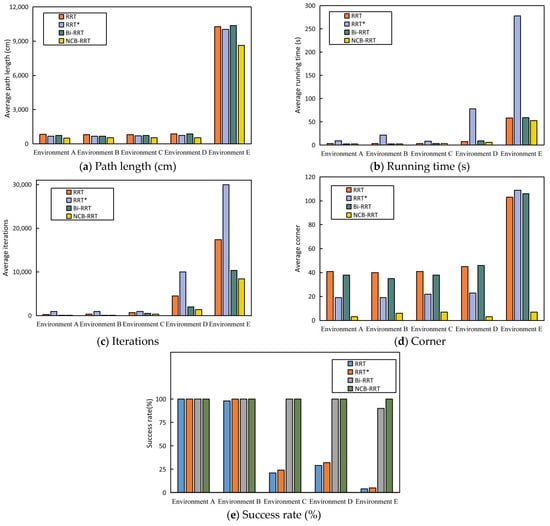
| Environment | A | B | C | D | E |
|---|---|---|---|---|---|
| p1 | 0.1 | 0.1 | 0.5 | 0.5 | 0.1 |
| p2 | 0.9 | 0.2 | 0.6 | 0.9 | 0.9 |
| Algorithm | Success Rate (%) | Average Path Length (cm) | Average Running Time (s) | Average Iterations | Average Corners |
|---|---|---|---|---|---|
| RRT | 100 | 830.3207 | 3.3379 | 310 | 41 |
| RRT* | 100 | 659.0076 | 9.4609 | 1000 | 19 |
| Bi-RRT | 100 | 725.4594 | 2.8425 | 85 | 38 |
| NCB-RRT | 100 | 492.3891 | 2.6257 | 36 | 3 |
| Algorithm | Success Rate (%) | Average Path Length (cm) | Average Running Time (s) | Average Iterations | Average Corners |
|---|---|---|---|---|---|
| RRT | 98 | 810.1111 | 3.5699 | 367 | 40 |
| RRT* | 100 | 658.5574 | 21.9250 | 1000 | 19 |
| Bi-RRT | 100 | 676.1681 | 2.9837 | 51 | 35 |
| NCB-RRT | 100 | 545.6007 | 3.0067 | 52 | 6 |
| Algorithm | Success Rate (%) | Average Path Length (cm) | Average Running Time (s) | Average Iterations | Average Corners |
|---|---|---|---|---|---|
| RRT | 21 | 818.5157 | 3.6746 | 723 | 41 |
| RRT* | 24 | 703.6255 | 8.7475 | 1000 | 22 |
| Bi-RRT | 100 | 722.3770 | 3.5743 | 569 | 38 |
| NCB-RRT | 100 | 547.1600 | 3.5157 | 346 | 7 |
| Algorithm | Success Rate (%) | Average Path Length (cm) | Average Running Time (s) | Average Iterations | Average Corners |
|---|---|---|---|---|---|
| RRT | 29 | 885.4526 | 8.0130 | 4567 | 45 |
| RRT* | 32 | 738.1071 | 78.4928 | 10,000 | 23 |
| Bi-RRT | 100 | 862.8697 | 8.8575 | 2002 | 46 |
| NCB-RRT | 100 | 526.0580 | 5.8575 | 1389 | 3 |
| Algorithm | Success Rate (%) | Average Path Length (cm) | Average Running Time (s) | Average Iterations | Average Corner |
|---|---|---|---|---|---|
| RRT | 4 | 10,285.2113 | 58.6121 | 17,421 | 103 |
| RRT* | 5 | 10,034.2300 | 278.0813 | 30,000 | 109 |
| Bi-RRT | 90 | 10,388.9534 | 58.9138 | 10,374 | 106 |
| NCB-RRT | 100 | 8640.9002 | 52.7265 | 8445 | 7 |
Disclaimer/Publisher’s Note: The statements, opinions and data contained in all publications are solely those of the individual author(s) and contributor(s) and not of MDPI and/or the editor(s). MDPI and/or the editor(s) disclaim responsibility for any injury to people or property resulting from any ideas, methods, instructions or products referred to in the content. |
© 2023 by the authors. Licensee MDPI, Basel, Switzerland. This article is an open access article distributed under the terms and conditions of the Creative Commons Attribution (CC BY) license (https://creativecommons.org/licenses/by/4.0/).
Share and Cite
Wu, B.; Zhang, W.; Chi, X.; Jiang, D.; Yi, Y.; Lu, Y. A Novel AGV Path Planning Approach for Narrow Channels Based on the Bi-RRT Algorithm with a Failure Rate Threshold. Sensors 2023, 23, 7547. https://doi.org/10.3390/s23177547
Wu B, Zhang W, Chi X, Jiang D, Yi Y, Lu Y. A Novel AGV Path Planning Approach for Narrow Channels Based on the Bi-RRT Algorithm with a Failure Rate Threshold. Sensors. 2023; 23(17):7547. https://doi.org/10.3390/s23177547
Chicago/Turabian StyleWu, Bin, Wei Zhang, Xiaonan Chi, Di Jiang, Yang Yi, and Yi Lu. 2023. "A Novel AGV Path Planning Approach for Narrow Channels Based on the Bi-RRT Algorithm with a Failure Rate Threshold" Sensors 23, no. 17: 7547. https://doi.org/10.3390/s23177547
APA StyleWu, B., Zhang, W., Chi, X., Jiang, D., Yi, Y., & Lu, Y. (2023). A Novel AGV Path Planning Approach for Narrow Channels Based on the Bi-RRT Algorithm with a Failure Rate Threshold. Sensors, 23(17), 7547. https://doi.org/10.3390/s23177547
