Abstract
The monoclinic structures of vanadium dioxide are widely studied as appealing systems due to a plethora of functional properties in several technological fields. In particular, the possibility to obtain the VO2 material in the form of thin film with a high control of structure and morphology represents a key issue for their use in THz devices and sensors. Herein, a fine control of the crystal habit has been addressed through an in-depth study of the metal organic chemical vapor deposition (MOCVD) synthetic approach. The focus is devoted to the key operative parameters such as deposition temperature inside the reactor in order to stabilize the P21/c or the C2/m monoclinic VO2 structures. Furthermore, the compositional purity, the morphology and the thickness of the VO2 films have been assessed through energy dispersive X-ray (EDX) analyses and field-emission scanning electron microscopy (FE-SEM), respectively. THz time domain spectroscopy is used to validate at very high frequency the functional properties of the as-prepared VO2 films.
1. Introduction
Vanadium oxides have attracted growing interest in the last decades due to their unique electrical, optoelectronic and magnetic properties [1,2]. The peculiar multi-oxidation states of vanadium, ranging from +2 to +5, are reflected in various crystalline structures and thus highly tunable functional properties [3,4]. Particularly, four vanadium oxides are characterized by single oxidation states (+2 for VO, +3 for V2O3, +4 for VO2 and +5 for V2O5), and others have mixed oxidation states, resulting in a plethora of different V-O ratios. The polymorphism of vanadium oxide, characterized by crystalline structures with different oxygen coordination, results in the formation of octahedral, pentagonal bipyramid, square pyramid and tetrahedral sharing corners, edges or faces [1,5]. Consequently, the multi-oxidation state of the vanadium cations and the various crystalline structures dramatically affect the physical and chemical properties of the final materials [5]. Particularly, the vanadium oxides exhibit excellent intercalation properties [6,7], catalytic activities [8,9], outstanding phase transitions (metal−insulator transition) [10,11] and high electrical conductivity [12]. The above-mentioned features have opened the way for recent research to explore the potential of vanadium oxide materials in ion batteries, water splitting, smart windows, supercapacitors, sensors and in reconfigurable metasurfaces [13,14,15,16,17,18].
Among the different V-O structures, several VO2 crystal phases are known, including tetragonal VO2(R) (P42/mnm), monoclinic VO2(M) (P21/c), tetragonal VO2(A) (P42/nmc), monoclinic VO2(B) (C2/m) and triclinic VO2(T) (P*(2)) [19]. Recently, monoclinic structures of vanadium dioxide have attracted growing interest due to their unique optical and electrical properties useful in several technological applications, such as supercapacitors, sensors and metasurfaces at very high frequency. In particular, VO2(M) and VO2(B) structures have attracted great attention due to their unique sensing activities [20]. Recently, we tested the interesting sensing properties of vanadium dioxide VO2(M) P21/c phase through the fabrication of an open cavity operating in the THz regime. Particularly, the cavity has been realized by employing as mirrors two VO2 thin films grown on silicon parallel supports. The effect of a variable length of the cavity and the transition between insulating and conducting states have been evaluated [21].
However, the massive application of V-O phases as key materials in the field of sensors and active metasurfaces for the manipulation of the electromagnetic (EM) fields requires the development of synthetic strategies which allow a high degree of uniformity in both thickness and composition over large areas for the fabrication of thin films. Among the different synthetic strategies tested in literature, pulsed laser deposition [22], molecular beam epitaxy [23], magnetron sputtering [24], atomic layer deposition (ALD) [25] and electrodeposition [26,27] have been reported. Metal-organic chemical vapor deposition (MOCVD) represents, up to now, one of the most appealing approaches for the deposition of V-O films, due to its advantages, ranging from reliable and reproducible methods, fast and industrially scalable production and high control of thin film growth in terms of composition and morphology over large areas [28,29].
In the present work, we have focused our attention on the VO2 phase structures, due to their unique optical and electrical properties, which can be exploited to realize metadevices at very high frequency. A few examples of possible applications include sensing [1,20], beam steering [30,31], polarization control [32] and vortex beam generation with different topological charges [33].
We report an optimized MOCVD process for the selective fabrication of monoclinic VO2(M) P21/c and/or VO2(B) C2/m phase structures in the form of thin films on silicon substrate starting from the [VO(acac)2] (bis(penta-2,4-dionato)oxovanadium) precursor. Among the various operative parameters involved in the growth, the effect of the deposition temperature has been the focus of the synthetic strategy in order to finely tune not only the crystalline structure of the VO2 films, but also the morphology of the film surfaces and the thickness of the materials. Furthermore, using THz time domain spectroscopy, we will show that the structural and morphological features of deposited films are strictly related to the conducting properties of the metallic-like phase, triggered by heating the vanadium oxide film to temperatures above its critical value 78 °C [34,35].
2. Materials and Methods
2.1. Synthesis of VO2 Thin Films
The vanadyl-acetylacetonate [VO(acac)2], used as vanadium precursor, was purchased from STREM Chemicals and used without any further purifications. V-O films were deposited on Si (001) substrates in a horizontal, hot-wall MOCVD reactor in the 300–450 °C deposition temperature range, whereas the V source temperature was controlled independently and kept at 170 °C. Each section was monitored using K-type thermocouples with ±1 °C accuracy. The deposition processes were carried out under O2 flow at 150 sccm used as reacting gas, and Ar flow at 150 sccm as carrier gas. Both the gas flows were controlled using MKS 1160 flow controller units. The time of the process was kept at 1 h and the pressure inside the reactor at the value of 4 Torr through a scroll pump unit monitored using MKS Baratron 122AAX.
2.2. Characterization
An in-depth study on the structural characterization was performed through X-ray diffraction (XRD) analysis using a Smartlab Rigaku diffractometer in grazing incident mode (0.5°) operating at 45 kV and 200 mA, equipped with a rotating anode of Cu Kα radiation. The morphological characterization was conducted using a Field Emission Scanning Electron Microscope FE-SEM ZEISS SUPRA 55 VP. The EDX spectra were recorded using an INCA-Oxford windowless detector, having a resolution of 127 eV as the full width at half-maximum (FWHM) of the Mn Kα radiation. THz spectroscopy was operated in time domain by employing a commercial setup (TERAK-15 by Menlo Systems®, Martinsried, Germany). THz waves were coherently generated and detected through photo-conducting antennas enabling to investigate the EM response in the range 0.1–4.0 THz with a resolution of a few GHz. Experiments were performed in a purging box filled with N2 gas to prevent absorption of humidity. V-O films were investigated in transmission configuration by the use of a customized sample holder enabling to control the sample temperature from room temperature (RT) up to about 400 °C. Herewith, the analysis was performed by using only two temperatures: 22 °C, representing the room temperature RT, and 90 °C when films were completely within the metallic-like phase. The THz system enables to record the time dependent electric field signals propagating through both the free space and the sample , represented by the V-O film deposited on Si substrate. Both signals were then processed through fast Fourier transform to obtain the transmission function that depends on the complex refractive index of both substrate and thin film sample . In order to improve the accuracy in the estimation of refractive index [36], the VO2 films were deposited only over half the area of substrates in size. By applying an in-house MATLAB® code based on a total variation technique [37], was retrieved and used to calculate the complex dielectric function , where and . Finally, the film conductivity was evaluated by using where is the vacuum permittivity (8.854189 × 10−12 F m−1).
3. Results and Discussion
The metalorganic compound [VO(acac)2] has been successfully applied as a volatile and stable precursor for the fabrication of VO2 thin film through a MOCVD approach. The deposition temperature has been set up in the range of 300–450 °C (see Figure 1). Under the present conditions, it is possible to finely tailor the stabilization of the monoclinic P21/c and/or the C2/m phases [38,39]. Even though the deposition temperature is the key parameter that has the main effect on the structure of VO2 films, the stabilization of the monoclinic structure as P21/c and/or the C2/m has been observed to affect both the morphology and the thickness of the synthesized films. The other parameters, such as deposition time, oxygen and Ar flows and precursor source temperature, have been instead fixed at 60 min, 150 sccm and 170 °C, respectively. The results reported are well framed within the data previously reported in ref. [28]. As widely studied in the past decades, the vanadium oxide phases present different V-O ratios, which results in the formation of VO2, V2O5, V4O9 and V6O13 structures with different V oxidation states. In particular, the present study has focused on the stabilization of the pure monoclinic phase in the form of P21/c space group due to the interesting properties they show in the THz region. In addition, the effect of changing in morphology and thickness has been analyzed and studied in relation to the functional properties of the films.
Figure 1.
Scheme of the MOCVD process for the synthesis of VO2 thin films, and P21/c and C2/m monoclinic structures derived through the Vesta program.
3.1. Structural Characterization
A structural investigation on the VO2 thin films obtained as a function of the different deposition temperatures has been conducted through XRD analysis. In order to assess the direct effect of this key parameter on the phase stabilization, the other process parameters have been kept constant. The pattern of the VO2 thin film obtained at 300 °C is reported in Figure 2a. The analysis points to the formation of a crystalline film in the form of pure monoclinic C2/m, as confirmed by comparison with PDF card n. 31-1438 and 43-1050. Particularly, the peaks at 14.46°, 29.08° and 44.20° associated with 001, 002 and 003 reflections, respectively, point to the growth of a nanostructured system with a preferential orientation along the 00ℓ. Similarly, the pattern associated with the film deposited at 350 °C (Figure 2b) shows the formation of the pure monoclinic C2/m, with the same preferential orientation along the 00ℓ. At the higher deposition temperature, i.e., 400 °C (Figure 2c), it is evident the formation of a crystalline film which has peaks associated with both the C2/m and P21/c phases, as confirmed by matching with the PDF cards n. 31-1438 and 43-1050 for the first structure, and PDF cards n. 43-1051 and 44-0252 for the second one. Finally, the system synthesized at 450 °C shows the stabilization of the pure and crystalline monoclinic P21/c phase (PDF file numbers 43-1051, 44-0252), as confirmed by the presence of the peaks at 27.87°, 37.08°, 39.64°, 42.18°, 55.44° and 57.52° (Figure 2d). Interestingly, thanks to the here-reported structural XRD characterization, it has been possible to identify three temperature windows, in which each monoclinic structure, i.e., C2/m and P21/c, is stable as a pure phase or as a mixture, under specific operative conditions. Specifically, the deposition temperature of 400 °C represents the turning point of crystalline arrangement change. It is worth noting the orientation along the 00ℓ of the films fabricated at 300 °C and 350 °C, which represents an added value of the present MOCVD synthesis considering the low temperatures required for this thermal-induced growth process.
Figure 2.
XRD patterns of VO2 thin films grown on Si (001) substrate at different deposition temperatures: (a) 300 °C, (b) 350 °C, (c) 400 °C and (d) 450 °C.
3.2. Morphological and Compositional Characterization
Morphological features of the VO2 films have been deeply studied by field emission scanning electron microscopy (FE-SEM). In Figure 3a, the film obtained at 300 °C deposition temperature displays the growth of compact and homogenous nanostructured film with plate-like grains characterized by regular dimensions having width in the order of 500–700 nm, mainly placed perpendicular to the substrate. The film synthesized at 350 °C, shown in Figure 3b, presents a uniform coverage of the surface with a very peculiar morphology. In fact, the film displays thinner and even more regular plate-like grains of 700–1000 nm in width, which are intertwined to form a very regular texture. For both these films, the morphology finds counterpart in the XRD patterns indicating highly oriented samples. Different from the first two morphologies, in Figure 3c, the sample obtained at 400 °C shows the formation of a homogeneous film composed of parallelepiped grains. Conversely from the other films, in this case, the system is characterized by an enhanced porosity, even though, also in this case, the homogeneity of the deposit is guaranteed over large substrate areas (up to 2 × 2 cm2). Finally, the VO2 film synthesized at 450 °C (Figure 3d) displays the formation of flake-like grains of the order of 1 µm overlapped on top of each other forming a very compact deposit with equiaxial grains. Notably, the deposition temperature affects in a significant way the morphological features of the films, which pass from a well-organized plate-like structure placed in a perpendicular way with respect to the substrates, to parallelepiped grains and to equiaxial grains. The differences can be likely attributed to two main aspects of the synthesis: (i) the balance between nucleation and growth process, which in general affects the dimensions of the grains; and (ii) the stabilization of the monoclinic structures, which pass from the C2/m structure at 300 °C and 350 °C (Figure 3a,b), to a mixture of C2/m and P21/c at 400 °C (Figure 3d), and to a pure P21/c at 450 °C (Figure 3d). The more porous structure of films deposited at 400 °C may be likely associated with the faster growth rate, yielding larger grains not well coalesced, and the presence of the two phases.
Figure 3.
FE-SEM plan view images of VO2 thin films grown on Si (001) substrate at different deposition temperatures: (a) 300 °C, (b) 350 °C, (c) 400 °C and (d) 450 °C.
Finally, the thickness evaluation of the VO2 samples has been conducted through FE-SEM analysis in cross-sectional mode. In Figure 4, an overview of all the four systems discussed above has been reported regarding the related thickness of the films. Notably, the thickness of the systems passes from around 850 nm and 900 nm for the samples deposited at 300 °C and 350 °C (see Figure 4a,b), to a thickness of 2.1 μm for the film at 400 °C (Figure 4c), and a value of 1.2 μm for the film at 450 °C (Figure 4d). In this case, the trend observed can be associated not only with the mere effect of the deposition temperature, but also with the different C2/m and P21/c phase structure growth. Specifically, the growth rate varies from 14, 15, 35 and 20 nm/min for 300, 350, 400 and 450 °C, respectively. Finally, it is worth noting that the cross-sectional image of the film obtained at 400 °C also confirms the formation of a more porous sample, as suggested from the plan view in Figure 3c.
Figure 4.
FE-SEM cross-view images of VO2 thin films grown on Si (001) substrate at different deposition temperatures: (a) 300 °C, (b) 350 °C, (c) 400 °C and (d) 450 °C.
In addition, the compositional purity of the VO2 films has been assessed through energy dispersive X-ray (EDX) analyses. The EDX spectra reported in Figure 5 are quite similar and confirm the formation of pure vanadium oxide phases for all the films deposited in the range 300–450 °C. In particular, the signals found at 4.9 and 5.4 keV are associated with the Kα and Kβ peaks of V, and the one found at 0.51 keV is related to the O Kα peak. In addition, the peak found at 1.73 keV is due to the Si Kα peaks of the Si (001) substrate. The different intensities of this last signal in the three samples are related to the difference in thickness of the analyzed films. Notably, the absence of signals around 0.27 keV, due to the C Kα peak, points to the absence of carbon contamination within the detection limit of the technique (around 1% atomic), even at the lower deposition temperature of 300 °C. This aspect points to the excellent thermal properties of the [VO(acac)2] as a V precursor and to the good optimization of the MOCVD process.
Figure 5.
EDX spectra of VO2 thin films grown on Si (001) substrate at different deposition temperatures.
3.3. THz Spectroscopic Analysis
Preliminarily, the quality of the conducting phase of several VO2 films has been tested just by monitoring in time domain the change in the transmitted THz signal at the two reference temperatures: 22 °C () and 90 °C (). Along with the sample showing the pure phases C2/m (VO2 sample on Si(100) at 350 °C, Figure 2b) and P21/c (VO2 sample on Si(100) at 450 °C, Figure 2d), we have tested films showing mixed phases in which the C2/m and P21/c components co-exist (a prototype of these films is the VO2 sample on Si(100) at 400 °C, Figure 2c). In Figure 6, a representative histogram of the phase change performances is reported. Black and red columns are the peak-to-peak (PtP) amplitudes for and , respectively. PtP values have been normalized with respect to the highest PtP measured for the phase P21/c at . MIX(1) represents a sample with a mixed phase in which the C2/m prevails, whereas in MIX(2) the P21/c phase is dominant. According to the results summarized in Figure 6, the higher the component P21/c with respect to C2/m, the stronger the phase change. The pure phase P21/c manifests the highest insulating/conducting transition passing through VO2 films below and above Phase change performances of MIX(1) and MIX(2), representing different C2/m + P21/c mixed phases, reflect the nature of the two samples. In MIX(1) the C2/m phase dominates, whereas in MIX(2) the P21/c one prevails.
Figure 6.
Histograms showing the phase change performances of different VO2 crystalline phases. In black and red, the normalized peak-to-peak amplitudes of the time-dependent THz signals getting through VO2 films at temperatures 22 °C () and 90 °C (), respectively. The normalization has been operated employing the peak-to-peak of the P21/c phase for . MIX(1) and MIX(2) represent different mixed phases C2/m + P21/c. In MIX(1), the C2/m phase dominates; in MIX(2), the P21/c one prevails instead.
The transmitted THz signal for a film thick in the pure P21/c phase is reported in Figure 7b. The signal at (black curve) practically overlaps the signal passing through the bare Si substrate, indicating a high transparency of the sample and making difficult a reliable extraction of Conductivity values lie around zero, as shown previously [21].
Figure 7.
(a) Time-dependent THz signals and (b) transmissions recorded for a VO2 sample having the pure crystalline phase P21/c below and above Tc (black and red curve, respectively).
At , the PtP amplitude of the THz signal passing through the vanadium oxide film undergoes an 80% reduction with respect to the
RT case. Moreover, the time dependence shown in the Fabry–Perot (FP) features the signature of a highly conducting state, recognizable by the upside-down behavior of the even oscillations [21].
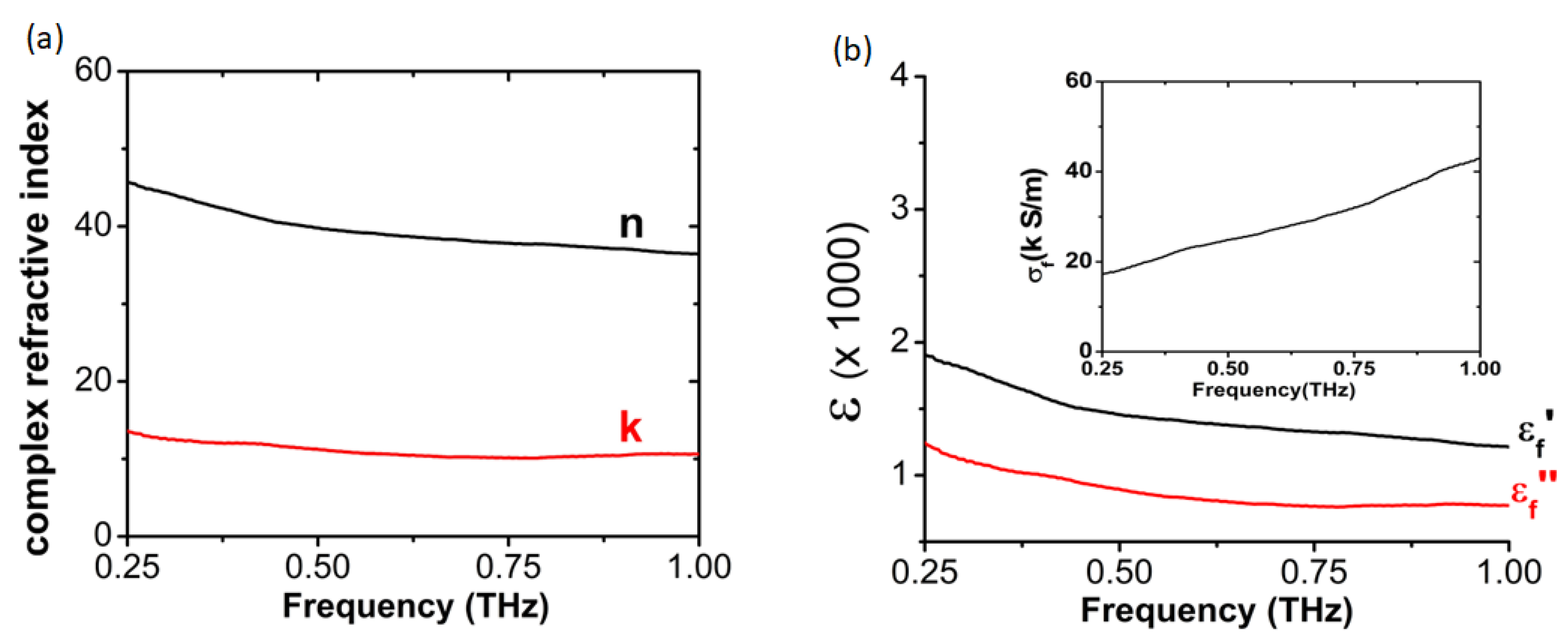
The complex refractive index and the dielectric function of the VO2 film having the pure P21/c phase is reported in Figure 8. The imaginary part of presents a decaying Drude-like behavior, but values are still positive, signaling that the general behavior of VO2 films is not fully metallic, as also recognized elsewhere [40]. The presence of a strong backscattering process [41] is also observable in the positive derivative of conductivity, as reported in the inset of Figure 8b.
Figure 8.
The complex refractive index (a) and the dielectric function (b) of the VO2 film having the pure P21/c phase as a function of frequency. Inset: the film conductivity.
4. Conclusions
In the present study, an optimized MOCVD process has been reported for the selective and reproducible synthesis of monoclinic VO2(M) P21/c and/or VO2(B) C2/m phase in the form of thin films. The focus has been devoted to the effect of the deposition temperature in order to finely tune both the crystalline structure of the VO2 films and the morphology of the film surfaces. Particularly, at lower deposition temperatures, i.e., 300 °C and 350 °C, the pure C2/m phase is stabilized, and at higher temperature, i.e., 450 °C, the pure P21/c has been found. The mixture of the two phases is, instead, stabilized at the deposition temperature of 400 °C. The related morphologies vary as a function of deposition temperature, from films with compact and homogenous plate-like grains to parallelepiped grains and equiaxial grains deriving from flake-like features.
Finally, the electrodynamic properties have been assessed using THz time domain spectroscopy, which allows the functional properties of the VO2 thin films to be shown at very high frequency. The functional validation, executed by heating the samples above the critical temperature value, i.e., Tc = 78 °C, displays the conducting properties of the metallic-like phase, and their relationship with the structural features of the deposited films.
Author Contributions
Conceptualization, A.L.P.; validation, F.L.P., G.P.P. and C.K.; investigation, A.L.P., F.L.P., G.P.P. and C.K.; writing—original draft preparation, A.L.P.; writing—review and editing, G.M. and A.A.; funding acquisition, G.M. and A.A.; supervision, G.M. and A.A. All authors have read and agreed to the published version of the manuscript.
Funding
This research was funded by the University of Catania within the PIACERI research program UNICT 2020-22 Linea 2 and by the European Union under the Italian National Recovery and Resilience Plan (NRRP) of NextGenerationEU, partnership on “Telecommunications of the Future” (PE00000001—program “RESTART”).
Institutional Review Board Statement
Not applicable.
Informed Consent Statement
Not applicable.
Data Availability Statement
Data are available from the authors upon request.
Acknowledgments
A.L.P., F.L.P. and G.M. acknowledge the Bio-nanotech Research and Innovation Tower (BRIT) laboratory of the University of Catania (Grant no. PONa3_00136 financed by the MIUR) for the Smartlab diffractometer facility. A.L.P. thanks the Ministero dell’Università e della Ricerca within the PON “Ricerca e Innovazione” 2014–2020 Azioni IV.4 program.
Conflicts of Interest
The authors declare no conflict of interest.
References
- Hu, P.; Hu, P.; Vu, T.D.; Li, M.; Wang, S.; Ke, Y.; Zeng, X.; Mai, L.; Long, Y. Vanadium Oxide: Phase Diagrams, Structures, Synthesis, and Applications. Chem. Rev. 2023, 123, 4353–4415. [Google Scholar] [CrossRef] [PubMed]
- Katzke, H.; Toledano, P.; Depmeier, W. Theory of morphotropic transformations in vanadium oxides. Phys. Rev. B 2003, 68, 024109. [Google Scholar] [CrossRef]
- Cotton, F.A.; Wilkinson, G.; Murillo, C.A.; Bochmann, M. Advanced Inorganic Chemistry; John Wiley & Sons: New York, NY, USA, 1999. [Google Scholar]
- Prasadam, V.P.; Bahlawane, N.; Mattelaer, F.; Rampelberg, G.; Detavernier, C.; Fang, L.; Jiang, Y.; Martens, K.; Parkin, I.P.; Papakonstantinou, I. Atomic Layer Deposition of Vanadium Oxides: Process and Application Review. Mater. Today Chem. 2019, 12, 396–423. [Google Scholar] [CrossRef]
- Monfort, O.; Petrisková, P. Binary and Ternary Vanadium Oxides: General Overview, Physical Properties, and Photochemical Processes for Environmental Applications. Processes 2021, 9, 214. [Google Scholar] [CrossRef]
- Liu, Z.; Sun, H.; Qin, L.; Cao, X.; Zhou, J.; Pan, A.; Fang, G.; Liang, S. Interlayer Doping in Layered Vanadium Oxides for Low-cost Energy Storage: Sodium-ion Batteries and Aqueous Zinc ion Batteries. ChemNanoMat 2020, 6, 1553–1566. [Google Scholar] [CrossRef]
- Li, R.; Xing, F.; Li, T.; Zhang, H.; Yan, J.; Zheng, Q.; Li, X. Intercalated polyaniline in V2O5 as a unique vanadium oxide bronze cathode for highly stable aqueous zinc ion battery. Energy Storage Mater. 2021, 38, 590–598. [Google Scholar] [CrossRef]
- Rostom, S.; de Lasa, H. Propane Oxidative Dehydrogenation on Vanadium-Based Catalysts under Oxygen-Free Atmospheres. Catalysts 2020, 10, 418. [Google Scholar] [CrossRef]
- Wachs, I.E. Catalysis science of supported vanadium oxide catalysts. Dalton Trans. 2013, 42, 11762–11769. [Google Scholar] [CrossRef]
- Outon, J.; Blanco, E.; Domínguez, M.; Bakkali, H.; Gonzalez-Leal, J.M.; Delgado, J.J.; Ramírez-del-Solar, M. Tracking the optical constants of porous vanadium dioxide thin films during metal–insulator transition: Influence of processing conditions on their application in smart glasses. Appl. Surf. Sci. 2022, 580, 152228. [Google Scholar] [CrossRef]
- Choi, H.; Lee, W.; Lim, J.; Shin, H.; Kumar, M.; Seo, H. Interface and bulk engineering of VO2 thin film deposited on Si for multi-level metal-to-insulator transitions. Appl. Surf. Sci. 2023, 611, 155648. [Google Scholar] [CrossRef]
- Wu, C.; Xie, Y. Promising Vanadium Oxide and Hydroxide Nanostructures: From Energy Storage to Energy Saving. Energy Environ. Sci. 2010, 3, 1191–1206. [Google Scholar] [CrossRef]
- Wang, Z.; Song, Y.; Wang, J.; Lin, Y.; Meng, J.; Cui, W.; Liu, X.X. Vanadium Oxides with Amorphous-Crystalline Heterointerface Network for Aqueous Zinc-Ion Batteries. Angew. Chem. 2023, 135, e202216290. [Google Scholar]
- Luo, Z.; Peng, Q.; Huang, Z.; Wang, L.; Yang, Y.; Dong, J.; Isimjan, T.T.; Yang, X. Fine-tune d-band center of cobalt vanadium oxide nanosheets by N-doping as a robust overall water splitting electrocatalyst. J. Colloid Interface Sci. 2023, 629, 111–120. [Google Scholar] [CrossRef] [PubMed]
- Shahzad, M.K.; Manj, R.Z.A.; Abbas, G.; Laghari, R.A.; Akhtar, S.S.; Khan, M.A.; Tahir, M.B.; Znaidia, S.; Alzaid, M. Influence of VO2 based structures and smart coatings on weather resistance for boosting the thermochromic properties of smart window applications. RSC Adv. 2022, 12, 30985–31003. [Google Scholar] [CrossRef] [PubMed]
- Temam, A.G.; Alshoaibi, A.; Getaneh, S.A.; Awada, C.; Nwanya, A.C.; Ejikeme, P.M.; Ezema, F.I. Recent progress on V2O5 based electroactive materials: Synthesis, properties, and supercapacitor application current. Curr. Opin. Electrochem. 2023, 38, 101239. [Google Scholar] [CrossRef]
- Mounasamy, V.; Mani, G.K.; Madanagurusamy, S. Vanadium oxide nanostructures for chemiresistive gas and vapour sensing: A review on state of the art. Microchim. Acta 2020, 187, 253. [Google Scholar] [CrossRef]
- Matos, R.; Pala, N. VO2-based ultra-reconfigurable intelligent reflective surface for 5G applications. Sci. Rep. 2022, 12, 4497. [Google Scholar] [CrossRef]
- Zhang, Y.; Chen, N.; Zhou, Y.; Lai, H.; Liu, P.; Xie, W. Phase B vanadium dioxide: Characteristics, synthesis and applications. Cryst. Eng. Comm. 2022, 24, 518–542. [Google Scholar] [CrossRef]
- Chang, T.; Cao, X.; Li, N.; Long, S.; Zhu, Y.; Huang, J.; Luo, H.; Jin, P. Mitigating Deterioration of Vanadium Dioxide Thermochromic Films by Interfacial Encapsulation. Sens. Actuators B 2018, 255, 1119–1129. [Google Scholar] [CrossRef]
- Papari, G.P.; Pellegrino, A.L.; Malandrino, G.; Andreone, A. Sensing enhancement of a Fabry-Perot THz cavity using switchable VO2 mirrors. Opt. Express 2022, 30, 19402. [Google Scholar] [CrossRef]
- Lysenko, S.; Fernandez, F.; Rua, A.; Aparicio, J.; Sepulveda, N.; Figueroa, J.; Vargas, K.; Cordero, J. Light scattering by epitaxial VO2 films near the metal-insulator transition point. J. Appl. Phys. 2015, 117, 184304. [Google Scholar] [CrossRef]
- Chen, F.-H.; Fan, L.-L.; Chen, S.; Liao, G.-M.; Chen, Y.-L.; Wu, P.; Song, L.; Zou, C.-W.; Wu, Z.-Y. Control of the Metal–Insulator Transition in VO2 Epitaxial Film by Modifying Carrier Density. ACS Appl. Mater. Interfaces 2015, 7, 6875–6881. [Google Scholar] [CrossRef]
- Mazur, M.; Lubańska, A.; Domaradzki, J.; Wojcieszak, D. Complex Research on Amorphous Vanadium Oxide Thin Films Deposited by Gas Impulse Magnetron Sputtering. Appl. Sci. 2022, 12, 8966. [Google Scholar] [CrossRef]
- Singh, T.; Wang, S.; Aslam, N.; Zhang, H.; Hoffmann-Eifert, S.; Mathur, S. Atomic Layer Deposition of TiO2 Thin-Films for Planar-Heterojunction Perovskite Solar Cells. Chem. Vap. Depos. 2014, 20, 291–297. [Google Scholar] [CrossRef]
- Cezar, A.B.; Graff, I.L.; Rikers, Y.; Schreiner, W.H.; Mattoso, N. Highly Oriented VO2 Thin Films Prepared by Electrodeposition. Electrochem. Solid-State Lett. 2011, 14, D23. [Google Scholar] [CrossRef]
- Koza, J.A.; He, Z.; Miller, A.S.; Switzer, J.A. Resistance Switching in Electrodeposited VO2 Thin Films. Chem. Mater. 2011, 23, 4105–4108. [Google Scholar] [CrossRef]
- Spano, S.F.; Toro, R.G.; Condorelli, G.G.; Messina, G.M.L.; Marletta, G.; Malandrino, G. Phase-selective Route to V-O Film Formation: A Systematic MOCVD Study into the Effects of Deposition Temperature on Structure and Morphology. Chem. Vap. Depos. 2015, 21, 319–326. [Google Scholar] [CrossRef]
- Bahlawane, N.; Lenoble, D. Vanadium Oxide Compounds: Structure, Properties, and Growth from the Gas Phase. Chem. Vap. Depos. 2014, 20, 299–311. [Google Scholar] [CrossRef]
- Hashemi, M.R.M.; Yang, S.-H.; Wang, T.; Sepúlveda, N.; Jarrahi, M. Electronically-Controlled Beam Steering through Vanadium Dioxide Metasurfaces. Sci. Rep. 2016, 6, 35439. [Google Scholar] [CrossRef]
- Proffit, M.; Pelivani, S.; Landais, P.; Bradley, A.L. Electrically Driven Reprogrammable Vanadium Dioxide Metasurface Using Binary Control for Broadband Beam Steering. ACS Appl. Mater. Interfaces 2022, 14, 41186–41195. [Google Scholar] [CrossRef]
- Wang, D.; Zhang, L.; Gu, Y.; Mehmood, M.Q.; Gong, Y.; Srivastava, A.; Jian, L.; Venkatesan, T.; Qiu, C.-W.; Hong, M. Switchable Ultrathin Quarter-wave Plate in Terahertz Using Active Phase-change Metasurface. Sci. Rep. 2015, 5, 15020. [Google Scholar] [CrossRef] [PubMed]
- Shabanpour, J.; Beyraghi, S.; Cheldavi, A. Ultrafast reprogrammable multifunctional vanadium-dioxide-assisted metasurface for dynamic THz wavefront engineering. Sci. Rep. 2020, 10, 8950. [Google Scholar] [CrossRef]
- Cueff, S.; John, J.; Zhang, Z.; Parra, J.; Sun, J.; Orobtchouk, R.; Ramanathan, S.; Sanchis, P. VO2 nanophotonics. APL Photonics 2020, 5, 110901. [Google Scholar] [CrossRef]
- Lourembam, J.; Srivastava, A.; La-o-vorakiat, C.; Rotella, H.; Venkatesan, T.; Chia, E.E.M. New Insights into the Diverse Electronic Phases of a Novel Vanadium Dioxide Polymorph: A Terahertz Spectroscopy Study. Sci. Rep. 2015, 5, 9182. [Google Scholar] [CrossRef] [PubMed]
- Papari, G.; Koral, C.; Hallam, T.; Duesberg, G.S.; Andreone, A. Terahertz Spectroscopy of Amorphous WSe2 and MoSe2 Thin Film. Materials 2018, 11, 1613. [Google Scholar] [CrossRef] [PubMed]
- Duvillaret, L.; Garet, F.; Coutaz, J.-L. A Reliable Method for Extraction of Material Parameters in Terahertz Time-Domain Spectroscopy. IEEE J. Sel. Top. Quantum Electron. 1996, 2, 739–746. [Google Scholar] [CrossRef]
- Eyert, V. The metal-insulator transitions of VO2: A band theoretical approach. Ann. Phys. 2002, 11, 650–702. [Google Scholar] [CrossRef]
- Theobald, F.; Cabala, R.; Bernard, J. Essai sur la Structure de VO2(B). J. Solid State Chem. 1976, 17, 431–438. [Google Scholar] [CrossRef]
- Cocker, T.L.; Titova, L.V.; Fourmaux, S.; Bandulet, H.-C.; Brassard, D.; Kieffer, J.-C.; El Khakani, M.A.; Hegmann, F.A. Terahertz conductivity of the metal-insulator transition in a nanogranular VO2 film. Appl. Phys. Lett. 2010, 97, 221905. [Google Scholar] [CrossRef]
- Smith, N.V. Classical generalization of the Drude formula for the optical conductivity. Phys. Rev. B 2001, 64, 155106. [Google Scholar] [CrossRef]
Disclaimer/Publisher’s Note: The statements, opinions and data contained in all publications are solely those of the individual author(s) and contributor(s) and not of MDPI and/or the editor(s). MDPI and/or the editor(s) disclaim responsibility for any injury to people or property resulting from any ideas, methods, instructions or products referred to in the content. |
© 2023 by the authors. Licensee MDPI, Basel, Switzerland. This article is an open access article distributed under the terms and conditions of the Creative Commons Attribution (CC BY) license (https://creativecommons.org/licenses/by/4.0/).







