Faster Walking Speeds Require Greater Activity from the Primary Motor Cortex in Older Adults Compared to Younger Adults
Abstract
1. Introduction
2. Materials and Methods
2.1. Participants
2.2. Study Design, Apparatus and Data Acquisition
2.2.1. Regional HbO2
2.2.2. Gait
2.3. Data Analysis
2.3.1. Regional HbO2
2.3.2. Gait
2.4. Statistical Analysis
2.4.1. Aim 1—Change in HbO2 and Gait When Walking at a Preferred and Fast Speed
2.4.2. Aim 2—Association between Regional HbO2 and Gait in Young and Older Adults
3. Results
3.1. Changes in Regional HbO2 Concentration and Gait When Walking at a Preferred and Fast Speed (Aim 1)
3.1.1. Regional HbO2 in Young and Older Adults
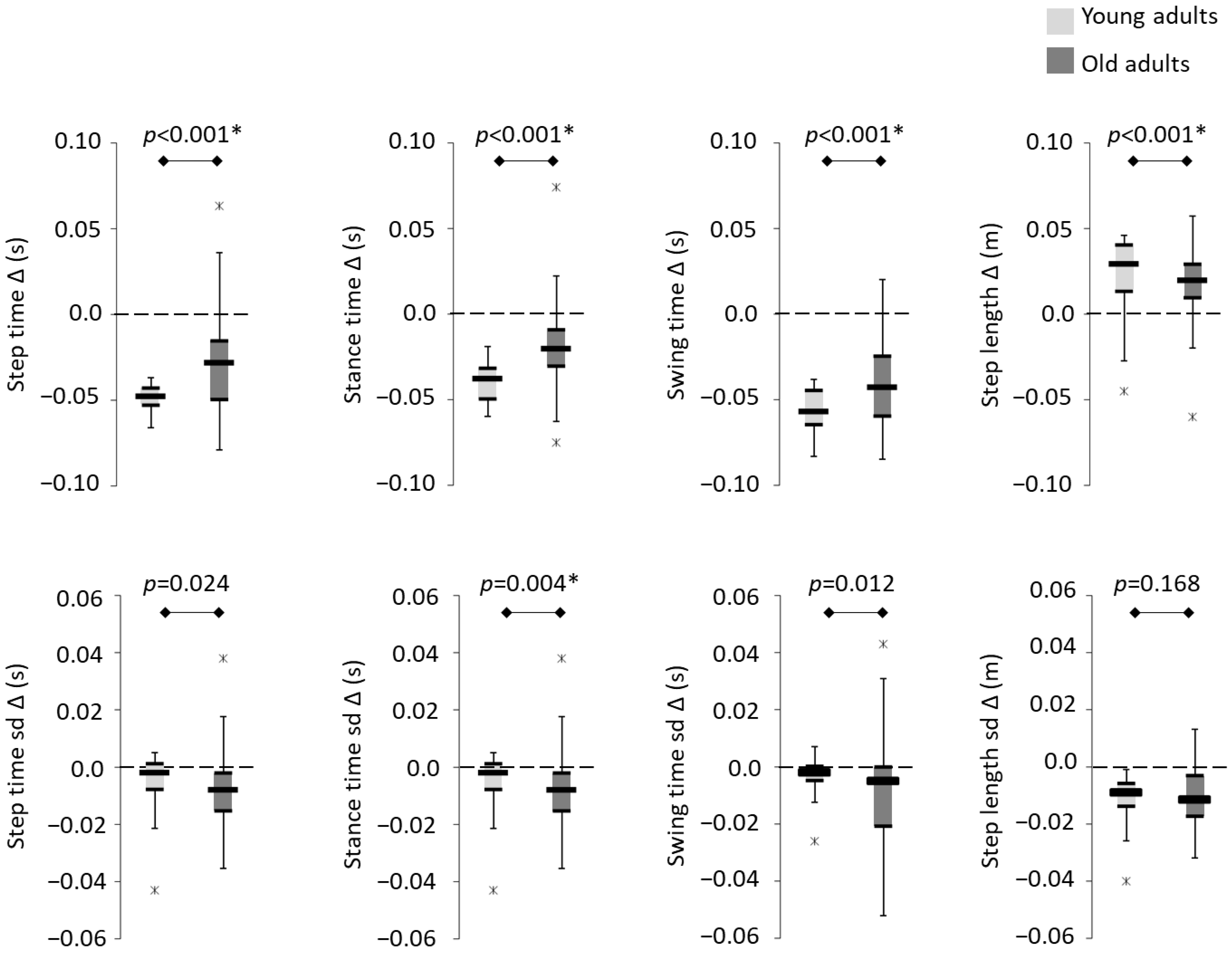
3.1.2. Gait in Young and Older Adults
3.1.3. Influence of Age on Regional HbO2 and Gait
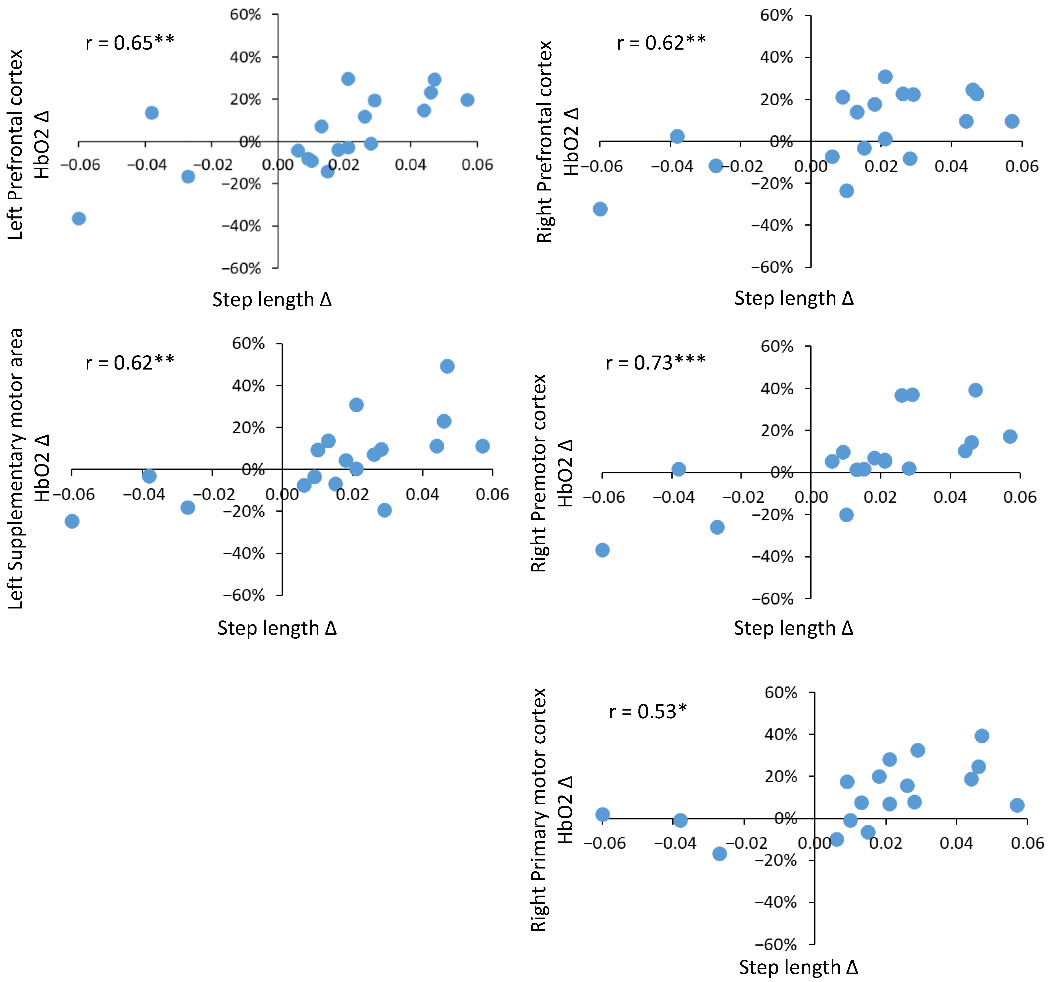
3.2. Associations between Regional HbO2 and Gait (Aim 2)
3.2.1. Bivariate Correlations
3.2.2. Partial Correlations
4. Discussion
4.1. Changes in Regional HbO2 and Gait: Preferred vs. Fast Speed
4.2. Changes in Regional HbO2 and Gait: Young vs. Older Adults
4.3. Associations between Regional HbO2 and Gait in Young and Older Adults
4.4. Study Considerations
4.5. Recommendations for Future Work
5. Conclusions
Supplementary Materials
Author Contributions
Funding
Institutional Review Board Statement
Informed Consent Statement
Data Availability Statement
Acknowledgments
Conflicts of Interest
References
- Hamacher, D.; Herold, F.; Wiegel, P.; Hamacher, D.; Schega, L. Brain activity during walking: A systematic review. Neurosci. Biobehav. Rev. 2015, 57, 310–327. [Google Scholar] [CrossRef] [PubMed]
- Herold, F.; Wiegel, P.; Scholkmann, F.; Thiers, A.; Hamacher, D.; Schega, L. Functional near-infrared spectroscopy in movement science: A systematic review on cortical activity in postural and walking tasks. Neurophotonics 2017, 4, 041403. [Google Scholar] [CrossRef]
- Wilson, J.; Allcock, L.; Mc Ardle, R.; Taylor, J.-P.; Rochester, L. The neural correlates of discrete gait characteristics in ageing: A structured review. Neurosci. Biobehav. Rev. 2019, 100, 344–369. [Google Scholar] [CrossRef] [PubMed]
- Labriffe, M.; Annweiler, C.; Amirova, L.E.; Gauquelin-Koch, G.; Ter Minassian, A.; Leiber, L.-M.; Beauchet, O.; Custaud, M.-A.; Dinomais, M. Brain activity during mental imagery of gait versus gait-like plantar stimulation: A novel combined functional MRI paradigm to better understand cerebral gait control. Front. Hum. Neurosci. 2017, 11, 106. [Google Scholar] [PubMed]
- Rosano, C.; Brach, J.; Longstreth, W.T., Jr.; Newman, A.B. Quantitative measures of gait characteristics indicate prevalence of underlying subclinical structural brain abnormalities in high-functioning older adults. Neuroepidemiology 2005, 26, 52–60. [Google Scholar] [CrossRef]
- Callisaya, M.L.; Beare, R.; Phan, T.G.; Blizzard, L.; Thrift, A.G.; Chen, J.; Srikanth, V.K. Brain Structural Change and Gait Decline: A Longitudinal Population-Based Study. J. Am. Geriatr. Soc. 2013, 61, 1074–1079. [Google Scholar] [CrossRef]
- Jernigan, T.L.; Archibald, S.L.; Fennema-Notestine, C.; Gamst, A.C.; Stout, J.C.; Bonner, J.; Hesselink, J.R. Effects of age on tissues and regions of the cerebrum and cerebellum. Neurobiol. Aging 2001, 22, 581–594. [Google Scholar] [CrossRef]
- Resnick, S.M.; Pham, D.L.; Kraut, M.A.; Zonderman, A.B.; Davatzikos, C. Longitudinal magnetic resonance imaging studies of older adults: A shrinking brain. J. Neurosci. 2003, 23, 3295–3301. [Google Scholar] [CrossRef]
- Alvarez, J.A.; Emory, E. Executive function and the frontal lobes: A meta-analytic review. Neuropsychol. Rev. 2006, 16, 17–42. [Google Scholar] [CrossRef]
- Yuan, P.; Raz, N. Prefrontal cortex and executive functions in healthy adults: A meta-analysis of structural neuroimaging studies. Neurosci. Biobehav. Rev. 2014, 42, 180–192. [Google Scholar]
- Doi, T.; Makizako, H.; Shimada, H.; Park, H.; Tsutsumimoto, K.; Uemura, K.; Suzuki, T. Brain activation during dual-task walking and executive function among older adults with mild cognitive impairment: A fNIRS study. Aging Clin. Exp. Res. 2013, 25, 539–544. [Google Scholar]
- Mirelman, A.; Maidan, I.; Bernad-Elazari, H.; Shustack, S.; Giladi, N.; Hausdorff, J.M. Effects of aging on prefrontal brain activation during challenging walking conditions. Brain Cogn. 2017, 115, 41–46. [Google Scholar]
- Stuart, S.; Alcock, L.; Rochester, L.; Vitorio, R.; Pantall, A. Monitoring multiple cortical regions during walking in young and older adults: Dual-task response and comparison challenges. Int. J. Psychophysiol. 2019, 135, 63–72. [Google Scholar] [PubMed]
- Mirelman, A.; Maidan, I.; Bernad-Elazari, H.; Nieuwhof, F.; Reelick, M.; Giladi, N.; Hausdorff, J.M. Increased frontal brain activation during walking while dual tasking: An fNIRS study in healthy young adults. J. Neuroeng. Rehabil 2014, 11, 85. [Google Scholar] [CrossRef] [PubMed]
- Suzuki, M.; Miyai, I.; Ono, T.; Kubota, K. Activities in the frontal cortex and gait performance are modulated by preparation. An fNIRS study. Neuroimage 2008, 39, 600–607. [Google Scholar] [CrossRef]
- Suzuki, M.; Miyai, I.; Ono, T.; Oda, I.; Konishi, I.; Kochiyama, T.; Kubota, K. Prefrontal and premotor cortices are involved in adapting walking and running speed on the treadmill: An optical imaging study. Neuroimage 2004, 23, 1020–1026. [Google Scholar] [PubMed]
- Drew, T.; Andujar, J.-E.; Lajoie, K.; Yakovenko, S. Cortical mechanisms involved in visuomotor coordination during precision walking. Brain Res. Rev. 2008, 57, 199–211. [Google Scholar] [PubMed]
- Mihara, M.; Miyai, I.; Hatakenaka, M.; Kubota, K.; Sakoda, S. Role of the prefrontal cortex in human balance control. Neuroimage 2008, 43, 329–336. [Google Scholar]
- Fukuyama, H.; Ouchi, Y.; Matsuzaki, S.; Nagahama, Y.; Yamauchi, H.; Ogawa, M.; Kimura, J.; Shibasaki, H. Brain functional activity during gait in normal subjects: A SPECT study. Neurosci. Lett. 1997, 228, 183–186. [Google Scholar] [CrossRef]
- Miyai, I.; Tanabe, H.C.; Sase, I.; Eda, H.; Oda, I.; Konishi, I.; Tsunazawa, Y.; Suzuki, T.; Yanagida, T.; Kubota, K. Cortical mapping of gait in humans: A near-infrared spectroscopic topography study. Neuroimage 2001, 14, 1186–1192. [Google Scholar]
- Ninomiya, T.; Inoue, K.-i.; Hoshi, E.; Takada, M. Layer specificity of inputs from supplementary motor area and dorsal premotor cortex to primary motor cortex in macaque monkeys. Sci. Rep. 2019, 9, 18230. [Google Scholar] [PubMed]
- Fritz, S.; Lusardi, M. White paper: “Walking speed: The sixth vital sign”. J. Geriatr. Phys. Ther. 2009, 32, 2–5. [Google Scholar]
- Lusardi, M.M. Is walking speed a vital sign? Absolutely! Top. Geriatr. Rehabil. 2012, 28, 67–76. [Google Scholar]
- Middleton, A.; Fritz, S.L.; Lusardi, M. Walking speed: The functional vital sign. J. Aging Phys. Act. 2015, 23, 314–322. [Google Scholar]
- Perera, S.; Patel, K.V.; Rosano, C.; Rubin, S.M.; Satterfield, S.; Harris, T.; Ensrud, K.; Orwoll, E.; Lee, C.G.; Chandler, J.M. Gait speed predicts incident disability: A pooled analysis. J. Gerontol. Ser. A Biomed. Sci. Med. Sci. 2015, 71, 63–71. [Google Scholar]
- Atkinson, H.H.; Rosano, C.; Simonsick, E.M.; Williamson, J.D.; Davis, C.; Ambrosius, W.T.; Rapp, S.R.; Cesari, M.; Newman, A.B.; Harris, T.B. Cognitive function, gait speed decline, and comorbidities: The health, aging and body composition study. J. Gerontol. Ser. A Biol. Sci. Med. Sci. 2007, 62, 844–850. [Google Scholar]
- Cesari, M.; Kritchevsky, S.B.; Penninx, B.W.; Nicklas, B.J.; Simonsick, E.M.; Newman, A.B.; Tylavsky, F.A.; Brach, J.S.; Satterfield, S.; Bauer, D.C.; et al. Prognostic value of usual gait speed in well-functioning older people--results from the Health, Aging and Body Composition Study. J. Am. Geriatr. Soc. 2005, 53, 1675–1680. [Google Scholar] [CrossRef]
- Van Kan, G.A.; Rolland, Y.; Andrieu, S.; Bauer, J.; Beauchet, O.; Bonnefoy, M.; Cesari, M.; Donini, L.M.; Gillette-Guyonnet, S.; Inzitari, M. Gait speed at usual pace as a predictor of adverse outcomes in community-dwelling older people an International Academy on Nutrition and Aging (IANA) Task Force. J. Nutr. Health Aging 2009, 13, 881–889. [Google Scholar]
- Buckley, C.; Alcock, L.; McArdle, R.; Rehman, R.Z.U.; Del Din, S.; Mazzà, C.; Yarnall, A.J.; Rochester, L. The role of movement analysis in diagnosing and monitoring neurodegenerative conditions: Insights from gait and postural control. Brain Sci. 2019, 9, 34. [Google Scholar]
- Wilson, J.; Alcock, L.; Yarnall, A.J.; Lord, S.; Lawson, R.A.; Morris, R.; Taylor, J.-P.; Burn, D.J.; Rochester, L.; Galna, B. Gait Progression Over 6 Years in Parkinson’s Disease: Effects of Age, Medication, and Pathology. Front. Aging Neurosci. 2020, 12, 577435. [Google Scholar]
- Mc Ardle, R.; Del Din, S.; Galna, B.; Thomas, A.; Rochester, L. Differentiating dementia disease subtypes with gait analysis: Feasibility of wearable sensors? Gait Posture 2020, 76, 372–376. [Google Scholar]
- Edwards, M.; Dennison, E.; Sayer, A.A.; Fielding, R.; Cooper, C. Osteoporosis and sarcopenia in older age. Bone 2015, 80, 126–130. [Google Scholar]
- Witham, M.D.; Davies, J.I.; Bärnighausen, T.; Bountogo, M.; Manne-Goehler, J.; Payne, C.F.; Ouermi, L.; Sie, A.; Siedner, M.J.; Harling, G. Frailty and physical performance in the context of extreme poverty: A population-based study of older adults in rural Burkina Faso. Wellcome Open Res. 2019, 4, 135. [Google Scholar]
- Dumurgier, J.; Elbaz, A.; Dufouil, C.; Tavernier, B.; Tzourio, C. Hypertension and lower walking speed in the elderly: The Three-City study. J. Hypertens. 2010, 28, 1506. [Google Scholar]
- Rosano, C.; Longstreth, W.T., Jr.; Boudreau, R.; Taylor, C.A.; Du, Y.; Kuller, L.H.; Newman, A.B. High blood pressure accelerates gait slowing in well-functioning older adults over 18-years of follow-up. J. Am. Geriatr. Soc. 2011, 59, 390–397. [Google Scholar]
- Ramírez-Vélez, R.; Pérez-Sousa, M.A.; Venegas-Sanabria, L.C.; Chavarro-Carvajal, D.A.; Cano-Gutierrez, C.A.; Correa-Bautista, J.E.; González-Ruíz, K.; Izquierdo, M. Gait speed moderates the adverse effect of obesity on dependency in older Colombian adult. Exp. Gerontol. 2019, 127, 110732. [Google Scholar] [PubMed]
- George, C.; Verghese, J. Polypharmacy and Gait Performance in Community–dwelling Older Adults. J. Am. Geriatr. Soc. 2017, 65, 2082–2087. [Google Scholar] [PubMed]
- Lemke, M.R.; Wendorff, T.; Mieth, B.; Buhl, K.; Linnemann, M. Spatiotemporal gait patterns during over ground locomotion in major depression compared with healthy controls. J. Psychiatr. Res. 2000, 34, 277–283. [Google Scholar] [PubMed]
- Michalak, J.; Troje, N.F.; Fischer, J.; Vollmar, P.; Heidenreich, T.; Schulte, D. Embodiment of sadness and depression—Gait patterns associated with dysphoric mood. Psychosom. Med. 2009, 71, 580–587. [Google Scholar]
- Sanders, J.B.; Bremmer, M.A.; Deeg, D.J.; Beekman, A.T. Do depressive symptoms and gait speed impairment predict each other’s incidence? A 16-year prospective study in the community. J. Am. Geriatr. Soc. 2012, 60, 1673–1680. [Google Scholar]
- Bohannon, R. Comfortable and maximum walking speed of adults aged 20–79 years: Reference values and determinants. Age Ageing 1997, 26, 15–19. [Google Scholar]
- Bohannon, R.W.; Williams Andrews, A. Normal walking speed: A descriptive meta-analysis. Physiotherapy 2011, 97, 182–189. [Google Scholar] [CrossRef] [PubMed]
- Dumurgier, J.; Elbaz, A.; Ducimetière, P.; Tavernier, B.; Alpérovitch, A.; Tzourio, C. Slow walking speed and cardiovascular death in well functioning older adults: Prospective cohort study. BMJ 2009, 339, b4460. [Google Scholar] [PubMed]
- Studenski, S.; Perera, S.; Patel, K.; Rosano, C.; Faulkner, K.; Inzitari, M.; Brach, J.; Chandler, J.; Cawthon, P.; Connor, E.B. Gait speed and survival in older adults. JAMA J. Am. Med. Assoc. 2011, 305, 50–58. [Google Scholar] [CrossRef]
- White, D.K.; Neogi, T.; Nevitt, M.C.; Peloquin, C.E.; Zhu, Y.; Boudreau, R.M.; Cauley, J.A.; Ferrucci, L.; Harris, T.B.; Satterfield, S.M. Trajectories of gait speed predict mortality in well-functioning older adults: The Health, Aging and Body Composition study. J. Gerontol. Ser. A Biomed. Sci. Med. Sci. 2012, 68, 456–464. [Google Scholar]
- Harada, T.; Miyai, I.; Suzuki, M.; Kubota, K. Gait capacity affects cortical activation patterns related to speed control in the elderly. Exp. Brain Res. 2009, 193, 445–454. [Google Scholar] [CrossRef]
- Lin, C.-C.; Bair, W.-N.; Willson, J. Age differences in brain activity in dorsolateral prefrontal cortex and supplementary motor areas during three different walking speed tasks. Hum. Mov. Sci. 2022, 85, 102982. [Google Scholar]
- Morris, R.; Lord, S.; Bunce, J.; Burn, D.; Rochester, L. Gait and cognition: Mapping the global and discrete relationships in ageing and neurodegenerative disease. Neurosci. Biobehav. Rev. 2016, 64, 326–345. [Google Scholar]
- Yogev-Seligmann, G.; Rotem-Galili, Y.; Mirelman, A.; Dickstein, R.; Giladi, N.; Hausdorff, J.M. How does explicit prioritization alter walking during dual-task performance? Effects of age and sex on gait speed and variability. Phys. Ther. 2010, 90, 177–186. [Google Scholar]
- Montero-Odasso, M.; Verghese, J.; Beauchet, O.; Hausdorff, J.M. Gait and cognition: A complementary approach to understanding brain function and the risk of falling. J. Am. Geriatr. Soc. 2012, 60, 2127–2136. [Google Scholar]
- de Belli, V.; Orcioli-Silva, D.; Beretta, V.S.; Vitório, R.; Zampier, V.C.; Nóbrega-Sousa, P.; da Conceição, N.R.; Gobbi, L.T.B. Prefrontal cortical activity during preferred and fast walking in young and older adults: An fNIRS Study. Neuroscience 2021, 473, 81–89. [Google Scholar]
- Vitório, R.; Stuart, S.; Gobbi, L.T.; Rochester, L.; Alcock, L.; Pantall, A. Reduced gait variability and enhanced brain activity in older adults with auditory cues: A functional near-infrared spectroscopy study. Neurorehabil. Neural Repair 2018, 32, 976–987. [Google Scholar] [PubMed]
- Pirozzo, S.; Papinczak, T.; Glasziou, P. Whispered voice test for screening for hearing impairment in adults and children: Systematic review. BMJ 2003, 327, 967. [Google Scholar]
- Latham, K.; Katsou, M.F.; Rae, S. Advising patients on visual fitness to drive: Implications of revised DVLA regulations. Br. J. Ophthalmol. 2015, 99, 545–548. [Google Scholar] [PubMed]
- Dautzenberg, G.; Lijmer, J.; Beekman, A. Clinical value of the Montreal Cognitive Assessment (MoCA) in patients suspected of cognitive impairment in old age psychiatry. Using the MoCA for triaging to a memory clinic. Cogn. Neuropsychiatry 2021, 26, 1–17. [Google Scholar] [PubMed]
- Yardley, L.; Beyer, N.; Hauer, K.; Kempen, G.; Piot-Ziegler, C.; Todd, C. Development and initial validation of the Falls Efficacy Scale-International (FES-I). Age Ageing 2005, 34, 614–619. [Google Scholar]
- Menant, J.C.; Maidan, I.; Alcock, L.; Al-Yahya, E.; Cerasa, A.; Clark, D.J.; de Bruin, E.; Fraser, S.; Gramigna, V.; Hamacher, D. A consensus guide to using functional near-infrared spectroscopy in posture and gait research. Gait Posture 2020, 82, 254–265. [Google Scholar]
- Kocsis, L.; Herman, P.; Eke, A. The modified Beer–Lambert law revisited. Phys. Med. Biol. 2006, 51, N91. [Google Scholar] [CrossRef]
- Ye, J.C.; Tak, S.; Jang, K.E.; Jung, J.; Jang, J. NIRS-SPM: Statistical parametric mapping for near-infrared spectroscopy. Neuroimage 2009, 44, 428–447. [Google Scholar]
- Tsuzuki, D.; Dan, I. Spatial registration for functional near-infrared spectroscopy: From channel position on the scalp to cortical location in individual and group analyses. Neuroimage 2014, 85, 92–103. [Google Scholar]
- Vitorio, R.; Stuart, S.; Rochester, L.; Alcock, L.; Pantall, A. fNIRS response during walking—Artefact or cortical activity? A systematic review. Neurosci. Biobehav. Rev. 2017, 83, 160–172. [Google Scholar]
- Wolf, M.; Wolf, U.; Toronov, V.; Michalos, A.; Paunescu, L.A.; Choi, J.H.; Gratton, E. Different time evolution of oxyhemoglobin and deoxyhemoglobin concentration changes in the visual and motor cortices during functional stimulation: A near-infrared spectroscopy study. Neuroimage 2002, 16, 704–712. [Google Scholar] [PubMed]
- Friston, K.; Josephs, O.; Zarahn, E.; Holmes, A.; Rouquette, S.; Poline, J.-B. To smooth or not to smooth?: Bias and efficiency in fmri time-series analysis. Neuroimage 2000, 12, 196–208. [Google Scholar]
- Jang, K.E.; Tak, S.; Jung, J.; Jang, J.; Jeong, Y.; Ye, J.C. Wavelet minimum description length detrending for near-infrared spectroscopy. J. Biomed. Opt. 2009, 14, 034004. [Google Scholar] [PubMed]
- Koenraadt, K.L.; Roelofsen, E.G.; Duysens, J.; Keijsers, N.L. Cortical control of normal gait and precision stepping: An fNIRS study. Neuroimage 2014, 85, 415–422. [Google Scholar]
- West, K.L.; Zuppichini, M.D.; Turner, M.P.; Sivakolundu, D.K.; Zhao, Y.; Abdelkarim, D.; Spence, J.S.; Rypma, B. BOLD hemodynamic response function changes significantly with healthy aging. Neuroimage 2019, 188, 198–207. [Google Scholar]
- Zijlstra, W.; Hof, A.L. Assessment of spatio-temporal gait parameters from trunk accelerations during human walking. Gait Posture 2003, 18, 1–10. [Google Scholar] [CrossRef] [PubMed]
- Del Din, S.; Hickey, A.; Ladha, C.; Stuart, S.; Bourke, A.K.; Esser, P.; Rochester, L.; Godfrey, A. Instrumented gait assessment with a single wearable: An introductory tutorial. F1000Research 2016, 5, 2323. [Google Scholar]
- Del Din, S.; Godfrey, A.; Rochester, L. Validation of an accelerometer to quantify a comprehensive battery of gait characteristics in healthy older adults and Parkinson’s disease: Toward clinical and at home use. IEEE J. Biomed. Health Inform. 2015, 20, 838–847. [Google Scholar]
- Kim, H.-Y. Statistical notes for clinical researchers: Assessing normal distribution (2) using skewness and kurtosis. Restor. Dent. Endod. 2013, 38, 52–54. [Google Scholar]
- Fritz, C.O.; Morris, P.E.; Richler, J.J. Effect size estimates: Current use, calculations, and interpretation. J. Exp. Psychol. Gen. 2012, 141, 2. [Google Scholar] [PubMed]
- Cohen, J. Statistical Power Analysis for the Behavioral Sciences; Lawrence Erlbaum Associates: Mahwah, NJ, USA, 1988. [Google Scholar]
- Knief, U.; Forstmeier, W. Violating the normality assumption may be the lesser of two evils. Behav. Res. Methods 2021, 53, 2576–2590. [Google Scholar]
- Xu, J.; Kobayashi, S.; Yamaguchi, S.; Iijima, K.-i.; Okada, K.; Yamashita, K. Gender effects on age-related changes in brain structure. Am. J. Neuroradiol. 2000, 21, 112–118. [Google Scholar]
- Cosgrove, K.P.; Mazure, C.M.; Staley, J.K. Evolving knowledge of sex differences in brain structure, function, and chemistry. Biol. Psychiatry 2007, 62, 847–855. [Google Scholar] [PubMed]
- Matteis, M.; Troisi, E.; Monaldo, B.C.; Caltagirone, C.; Silvestrini, M. Age and sex differences in cerebral hemodynamics: A transcranial Doppler study. Stroke 1998, 29, 963–967. [Google Scholar] [PubMed]
- Kline, J.; Poggensee, K.; Ferris, D.P. Your brain on speed: Cognitive performance of a spatial working memory task is not affected by walking speed. Front. Hum. Neurosci. 2014, 8, 288. [Google Scholar] [CrossRef]
- Warden, S.J.; Kemp, A.C.; Liu, Z.; Moe, S.M. Tester and testing procedure influence clinically determined gait speed. Gait Posture 2019, 74, 83–86. [Google Scholar]
- Mount, S.; Ferrucci, L.; Wesselius, A.; Zeegers, M.P.; Schols, A.M. Measuring successful aging: An exploratory factor analysis of the InCHIANTI Study into different health domains. Aging 2019, 11, 3023. [Google Scholar]
- Cabeza, R. Hemispheric asymmetry reduction in older adults: The HAROLD model. Psychol. Aging 2002, 17, 85. [Google Scholar]
- Davis, S.W.; Dennis, N.A.; Daselaar, S.M.; Fleck, M.S.; Cabeza, R. Que PASA? The posterior–anterior shift in aging. Cereb. Cortex 2008, 18, 1201–1209. [Google Scholar]
- Daselaar, S.M.; Iyengar, V.; Davis, S.W.; Eklund, K.; Hayes, S.M.; Cabeza, R.E. Less wiring, more firing: Low-performing older adults compensate for impaired white matter with greater neural activity. Cereb. Cortex 2015, 25, 983–990. [Google Scholar]
- Bruijn, S.M.; Van Impe, A.; Duysens, J.; Swinnen, S.P. White matter microstructural organization and gait stability in older adults. Front. Aging Neurosci. 2014, 6, 104. [Google Scholar] [CrossRef] [PubMed]
- Manto, M.; Bower, J.M.; Conforto, A.B.; Delgado-García, J.M.; Da Guarda, S.N.F.; Gerwig, M.; Habas, C.; Hagura, N.; Ivry, R.B.; Mariën, P. Consensus paper: Roles of the cerebellum in motor control—The diversity of ideas on cerebellar involvement in movement. Cerebellum 2012, 11, 457–487. [Google Scholar] [PubMed]
- Ilg, W.; Golla, H.; Thier, P.; Giese, M.A. Specific influences of cerebellar dysfunctions on gait. Brain 2007, 130, 786–798. [Google Scholar]
- Seitz, R.J.; Roland, P.E. Learning of sequential finger movements in man: A combined kinematic and positron emission tomography (PET) study. Eur. J. Neurosci. 1992, 4, 154–165. [Google Scholar] [PubMed]
- Egerton, T.; Danoudis, M.; Huxham, F.; Iansek, R. Central gait control mechanisms and the stride length—Cadence relationship. Gait Posture 2011, 34, 178–182. [Google Scholar]
- Reuter-Lorenz, P.A.; Cappell, K.A. Neurocognitive aging and the compensation hypothesis. Curr. Dir. Psychol. Sci. 2008, 17, 177–182. [Google Scholar]
- Festini, S.B.; Zahodne, L.; Reuter-Lorenz, P.A. Theoretical perspectives on age differences in brain activation: HAROLD, PASA, CRUNCH—How do they STAC up? In Oxford Research Encyclopedia of Psychology; Oxford University Press: New York, NY, USA, 2018. [Google Scholar]
- Stergiou, N.; Decker, L.M. Human movement variability, nonlinear dynamics, and pathology: Is there a connection? Hum. Mov. Sci. 2011, 30, 869–888. [Google Scholar]
- Rosano, C.; Brach, J.; Studenski, S.; Longstreth, W., Jr.; Newman, A.B. Gait variability is associated with subclinical brain vascular abnormalities in high-functioning older adults. Neuroepidemiology 2008, 29, 193–200. [Google Scholar] [CrossRef] [PubMed]
- Tian, Q.; Chastan, N.; Bair, W.-N.; Resnick, S.M.; Ferrucci, L.; Studenski, S.A. The brain map of gait variability in aging, cognitive impairment and dementia—A systematic review. Neurosci. Biobehav. Rev. 2017, 74, 149–162. [Google Scholar] [CrossRef]
- Brach, J.S.; Studenski, S.A.; Perera, S.; VanSwearingen, J.M.; Newman, A.B. Gait variability and the risk of incident mobility disability in community-dwelling older adults. J. Gerontol. Ser. A Biol. Sci. Med. Sci. 2007, 62, 983–988. [Google Scholar]
- Hausdorff, J.M.; Rios, D.A.; Edelberg, H.K. Gait variability and fall risk in community-living older adults: A 1-year prospective study. Arch. Phys. Med. Rehabil. 2001, 82, 1050–1056. [Google Scholar] [PubMed]
- Pieruccini-Faria, F.; Montero-Odasso, M.; Hausdorff, J.M. Gait variability and fall risk in older adults: The role of cognitive function. In Falls and Cognition in Older Persons: Fundamentals, Assessment and Therapeutic Options; Springer: Berlin/Heidelberg, Germany, 2020; pp. 107–138. [Google Scholar] [CrossRef]
- Verghese, J.; Wang, C.; Lipton, R.B.; Holtzer, R.; Xue, X. Quantitative gait dysfunction and risk of cognitive decline and dementia. J. Neurol. Neurosurg. Psychiatry 2007, 78, 929–935. [Google Scholar] [CrossRef]
- Callisaya, M.L.; Blizzard, L.; Schmidt, M.D.; Martin, K.L.; McGinley, J.L.; Sanders, L.M.; Srikanth, V.K. Gait, gait variability and the risk of multiple incident falls in older people: A population-based study. Age Ageing 2011, 40, 481–487. [Google Scholar]
- Herold, F.; Aye, N.; Hamacher, D.; Schega, L. Towards the neuromotor control processes of steady-state and speed-matched treadmill and overground walking. Brain Topogr. 2019, 32, 472–476. [Google Scholar]
- Huang, R.; Hong, K.-S. Multi-channel-based differential pathlength factor estimation for continuous-wave fNIRS. IEEE Access 2021, 9, 37386–37396. [Google Scholar] [CrossRef]
- Tarumi, T.; Zhang, R. Cerebral blood flow in normal aging adults: Cardiovascular determinants, clinical implications, and aerobic fitness. J. Neurochem. 2018, 144, 595–608. [Google Scholar] [PubMed]
- De Bartolo, D.; De Giorgi, C.; Compagnucci, L.; Betti, V.; Antonucci, G.; Morone, G.; Paolucci, S.; Iosa, M. Effects of cognitive workload on heart and locomotor rhythms coupling. Neurosci. Lett. 2021, 762, 136140. [Google Scholar]
- Holtzer, R.; Feldman, J.M.; Jariwala, S.P.; Izzetoglu, M. Asthma history influences gait performance and associated prefrontal cortex activation patterns in older adults. Aging Clin. Exp. Res. 2022, 35, 407–411. [Google Scholar] [PubMed]
- Alcock, L.; Vanicek, N.; O’Brien, T.D. Alterations in gait speed and age do not fully explain the changes in gait mechanics associated with healthy older women. Gait Posture 2013, 37, 586–592. [Google Scholar] [CrossRef]
- Noce Kirkwood, R.; de Souza Moreira, B.; Mingoti, S.A.; Faria, B.F.; Sampaio, R.F.; Alves Resende, R. The slowing down phenomenon: What is the age of major gait velocity decline? Maturitas 2018, 115, 31–36. [Google Scholar] [CrossRef]
- Lee, A.; Bhatt, T.; Smith-Ray, R.L.; Wang, E.; Pai, Y.-C.C. Gait speed and dynamic stability decline accelerates only in late life: A cross-sectional study in community-dwelling older adults. J. Geriatr. Phys. Ther. 2019, 42, 73–80. [Google Scholar]
- Rostami, M.; Mosallanezhad, Z.; Ansari, S.; Ehsani, F.; Kidgell, D.; Nourbakhsh, M.R.; Bakhshi, E.; Jaberzadeh, S. Multi-session anodal transcranial direct current stimulation enhances lower extremity functional performance in healthy older adults. Exp. Brain Res. 2020, 238, 1925–1936. [Google Scholar] [CrossRef]
- Baharlouei, H.; Salehinejad, M.A.; Talimkhani, A.; Nitsche, M.A. The effect of non-invasive brain stimulation on gait in healthy young and older adults: A systematic review of the literature. Neuroscience 2023, 516, 125–140. [Google Scholar] [PubMed]
- Craig, C.E.; Doumas, M. Anodal transcranial direct current stimulation shows minimal, measure-specific effects on dynamic postural control in young and older adults: A double blind, sham-controlled study. PLoS ONE 2017, 12, e0170331. [Google Scholar]
- Guo, Z.; Bao, D.; Manor, B.; Zhou, J. The effects of transcranial direct current stimulation (tDCS) on balance control in older adults: A systematic review and meta-analysis. Front. Aging Neurosci. 2020, 12, 275. [Google Scholar] [PubMed]
- Kahya, M.; Hackman, D.; Jacobs, L.; Nilsson, D.; Rumsey, Y.; Oddsson, L.I. Wearable Technologies Using Peripheral Neuromodulation to Enhance Mobility and Gait Function in Older Adults―A Narrative Review. J. Gerontol. Ser. A 2023, 78, 831–841. [Google Scholar] [CrossRef]
- Aanerud, J.; Borghammer, P.; Rodell, A.; Jonsdottir, K.Y.; Gjedde, A. Sex differences of human cortical blood flow and energy metabolism. J. Cereb. Blood Flow Metab. 2017, 37, 2433–2440. [Google Scholar] [CrossRef]
- Clark, D.J.; Manini, T.M.; Ferris, D.P.; Hass, C.J.; Brumback, B.A.; Cruz-Almeida, Y.; Pahor, M.; Reuter-Lorenz, P.A.; Seidler, R.D. Multimodal imaging of brain activity to investigate walking and mobility decline in older adults (mind in motion study): Hypothesis, theory, and methods. Front. Aging Neurosci. 2020, 11, 358. [Google Scholar]






| Descriptors | Young Adults (n = 17) | Old Adults (n = 18) | Sig. (p) |
|---|---|---|---|
| Age (y) | 20.3 [1.2] | 72.6 [8.0] | p < 0.001 |
| Sex (f/m) | 9 f/ 8 m | 9 f/ 9 m | p = 0.565 a |
| Height (m) | 1.73 [0.10] | 1.69 [0.08] | p = 0.274 |
| Mass (kg) | 65.5 [13.6] | 74.1 [18.6] | p = 0.128 |
| BMI (kg/m2) | 22.0 [20.1, 24.0] | 23.5 [21.3, 30.0] | p = 0.072 b |
| Global cognition (MOCA) | 28 [1] | 28 [1] | p = 0.892 |
| Fear of falling (FES-I) | 17 [16, 19] | 18 [17, 20] | p = 0.143 b |
| 10-m overground speed (m/s) | 1.08 [0.19] | 0.73 [0.25] | p < 0.001 |
| Cortical Region (HbO2; %) | Young Adults (n = 17) | Old Adults (n = 18) | ||||||
|---|---|---|---|---|---|---|---|---|
| Preferred | Fast | Sig. (p) | Effect Size | Preferred | Fast | Sig. (p) | Effect Size | |
| Left Prefrontal cortex | −7.3 [32.0] | −11.0 [33.0] | p = 0.419 | - | −1.8 [31.2] | 6.9 [30.8] | p = 0.026 | - |
| Left Premotor cortex | −0.6 [41.7] | −5.3 [37.8] | p = 0.224 | - | −5.1 [31.2] | 3.5 [29.9] | p = 0.035 | - |
| Left Supplementary motor area | 2.2 [27.6] | −2.0 [33.2] | p = 0.429 | - | −10.2 [35.8] | −2.5 [32.7] | p = 0.069 | - |
| Left Primary motor cortex | 2.7 [35.0] | 3.5 [35.8] | p = 0.881 | - | −9.6 [32.9] | 3.7 [29.6] | p = 0.004 * | 0.423 |
| Right Prefrontal cortex | −3.3 [32.4] | −3.8 [35.0] | p = 0.903 | - | −5.4 [30.8] | 3.7 [28.0] | p = 0.026 | - |
| Right Premotor cortex | 3.5 [33.9] | 1.5 [35.3] | p = 0.659 | - | −3.3 [29.8] | 5.2 [27.6] | p = 0.063 | - |
| Right Supplementary motor area | −3.6 [37.1] | −3.2 [35.0] | p = 0.930 | - | −5.9 [31.1] | 8.7 [29.7] | p < 0.001 * | 0.480 |
| Right Primary motor cortex | 6.2 [32.5] | 11.7 [36.9] | p = 0.242 | - | −10.6 [35.8] | 1.5 [32.8] | p = 0.002 * | 0.352 |
| Temporal-Spatial Gait Outcomes | Young Adults (n = 17) | Old Adults (n = 18) | ||||||
|---|---|---|---|---|---|---|---|---|
| Preferred | Fast | Sig. (p) | Effect size | Preferred | Fast | Sig. (p) | Effect Size | |
| Mean gait outcomes | ||||||||
| Step time (s) a | 0.61 [0.05] | 0.56 [0.05] | p < 0.001 * | 0.955 | 0.61 [0.07] | 0.58[0.06] | p = 0.005 * | 0.416 |
| Stance time (s) a | 0.73 [0.04] | 0.69 [0.05] | p < 0.001 * | 0.874 | 0.74 [0.07] | 0.72 [0.06] | p = 0.046 | |
| Swing time (s) a | 0.49 [0.06] | 0.43 [0.06] | p < 0.001 * | 0.969 | 0.49 [0.07] | 0.45 [0.07] | p < 0.001 * | 0.580 |
| Step length (m) a | 0.52 [0.06] | 0.55 [0.06] | p = 0.001 * | 0.350 | 0.48 [0.06] | 0.49 [0.05] | p = 0.053 | |
| Gait variability | ||||||||
| Step time (s) b | 0.021 [0.02, 0.03] | 0.016 [0.01, 0.02] | p = 0.017 | 0.044 [0.02, 0.15] | 0.027 [0.02, 0.08] | p = 0.018 | ||
| Stance time (s) b | 0.026 [0.02, 0.03] | 0.022 [0.02, 0.03] | p = 0.039 | 0.052 [0.03, 0.16] | 0.033 [0.02, 0.09] | p = 0.031 | ||
| Swing time (s) b | 0.023 [0.02, 0.03] | 0.021 [0.02, 0.03] | p = 0.039 | 0.050 [0.02, 0.11] | 0.032 [0.02, 0.07] | p = 0.078 | ||
| Step length (m) b | 0.056 [0.04, 0.07] | 0.045 [0.03, 0.06] | p < 0.001 * | 0.612 | 0.090 [0.05, 0.13] | 0.070 [0.04, 0.11] | p = 0.006 * | 0.467 |
| Young (n = 17) | 10 m Walk Speed a | BMI a | LPFC b | LPMC b | LSMA b | LM1 b | RPFC b | RPMC b | RSMA b | RM1 b | |
|---|---|---|---|---|---|---|---|---|---|---|---|
| 10-m gait speed a | - | 0.25 | −0.08 | −0.27 | −0.03 | 0.04 | −0.20 | −0.03 | 0.34 | 0.19 | |
| BMI a | 0.25 | - | 0.11 | 0.01 | 0.06 | 0.15 | −0.01 | 0.09 | 0.09 | 0.06 | |
| Mean | |||||||||||
| Step time (s) b | 0.20 | −0.06 | 0.04 | 0.04 | −0.11 | 0.11 | 0.09 | 0.07 | −0.10 | −0.17 | |
| Stance time (s) b | 0.38 | 0.33 | 0.08 | −0.13 | −0.02 | 0.18 | 0.25 | 0.05 | 0.06 | −0.03 | |
| Swing time (s) b | −0.11 | −0.27 | −0.02 | 0.18 | −0.10 | 0.00 | −0.12 | 0.07 | −0.16 | −0.16 | |
| Step length (m) b | 0.39 | 0.08 | 0.28 | −0.18 | 0.06 | −0.11 | 0.42 | 0.12 | −0.06 | 0.04 | |
| Variability | |||||||||||
| Step time (s) b | 0.14 | −0.34 | 0.17 | 0.18 | 0.10 | 0.03 | 0.32 | 0.31 | 0.19 | 0.23 | |
| Stance time (s) b | 0.14 | −0.13 | 0.03 | 0.19 | 0.05 | 0.06 | 0.17 | 0.22 | 0.24 | 0.17 | |
| Swing time (s) b | −0.04 | −0.25 | 0.06 | 0.10 | −0.05 | −0.11 | 0.17 | 0.07 | 0.16 | 0.04 | |
| Step length (m) b | 0.19 | 0.31 | 0.26 | −0.03 | 0.16 | −0.07 | 0.51 | 0.24 | −0.01 | 0.09 | |
| Old (n = 18) | 10 m walk speed a | BMI a | LPFC b | LPMC b | LSMA b | LM1 b | RPFC b | RPMC b | RSMA b | RM1 b | |
| 10-m gait speed a | - | 0.06 | 0.48* | 0.45 | 0.36 | 0.23 | 0.44 | 0.33 | 0.25 | 0.31 | |
| BMI a | 0.06 | - | 0.15 | 0.26 | 0.31 | 0.26 | 0.06 | −0.03 | 0.12 | 0.25 | |
| Mean | |||||||||||
| Step time (s) b | −0.46 | 0.07 | −0.03 | −0.09 | 0.06 | 0.03 | 0.19 | 0.25 | 0.10 | 0.03 | |
| Stance time (s) b | −0.46 | 0.04 | 0.12 | −0.05 | 0.08 | 0.16 | 0.31 | 0.43 | 0.17 | 0.18 | |
| Swing time (s) b | −0.32 | 0.12 | −0.25 | −0.12 | −0.01 | −0.17 | −0.12 | −0.01 | 0.00 | −0.24 | |
| Step length (m) b | 0.36 | 0.26 | 0.65 ** | 0.17 | 0.62 ** | 0.46 | 0.62 ** | 0.73 *** | 0.47 | 0.53 * | |
| Variability | |||||||||||
| Step time (s) b | 0.20 | −0.20 | −0.14 | −0.05 | −0.24 | 0.12 | 0.02 | 0.11 | 0.12 | 0.05 | |
| Stance time (s) b | 0.38 | −0.20 | −0.13 | 0.00 | −0.32 | 0.09 | −0.04 | 0.10 | 0.13 | 0.09 | |
| Swing time (s) b | 0.07 | −0.47 * | −0.17 | −0.09 | −0.33 | −0.15 | −0.32 | −0.01 | −0.06 | −0.24 | |
| Step length (m) b | −0.12 | −0.46 | 0.48 | 0.16 | 0.25 | 0.37 | 0.45 | 0.70 * | 0.42 | 0.51 * | |
![]() | |||||||||||
Disclaimer/Publisher’s Note: The statements, opinions and data contained in all publications are solely those of the individual author(s) and contributor(s) and not of MDPI and/or the editor(s). MDPI and/or the editor(s) disclaim responsibility for any injury to people or property resulting from any ideas, methods, instructions or products referred to in the content. |
© 2023 by the authors. Licensee MDPI, Basel, Switzerland. This article is an open access article distributed under the terms and conditions of the Creative Commons Attribution (CC BY) license (https://creativecommons.org/licenses/by/4.0/).
Share and Cite
Alcock, L.; Vitório, R.; Stuart, S.; Rochester, L.; Pantall, A. Faster Walking Speeds Require Greater Activity from the Primary Motor Cortex in Older Adults Compared to Younger Adults. Sensors 2023, 23, 6921. https://doi.org/10.3390/s23156921
Alcock L, Vitório R, Stuart S, Rochester L, Pantall A. Faster Walking Speeds Require Greater Activity from the Primary Motor Cortex in Older Adults Compared to Younger Adults. Sensors. 2023; 23(15):6921. https://doi.org/10.3390/s23156921
Chicago/Turabian StyleAlcock, Lisa, Rodrigo Vitório, Samuel Stuart, Lynn Rochester, and Annette Pantall. 2023. "Faster Walking Speeds Require Greater Activity from the Primary Motor Cortex in Older Adults Compared to Younger Adults" Sensors 23, no. 15: 6921. https://doi.org/10.3390/s23156921
APA StyleAlcock, L., Vitório, R., Stuart, S., Rochester, L., & Pantall, A. (2023). Faster Walking Speeds Require Greater Activity from the Primary Motor Cortex in Older Adults Compared to Younger Adults. Sensors, 23(15), 6921. https://doi.org/10.3390/s23156921


