An L-Shaped Three-Level and Single Common Element Sparse Sensor Array for 2-D DOA Estimation
Abstract
1. Introduction
- (1)
- This paper proposes a new L-shaped sparse array, named three-level and single common element sparse array. Its array element configuration has a complete mathematical expression.
- (2)
- According to the mathematical expression of TSESA, its uniform degrees of freedom expression can be derived.
- (3)
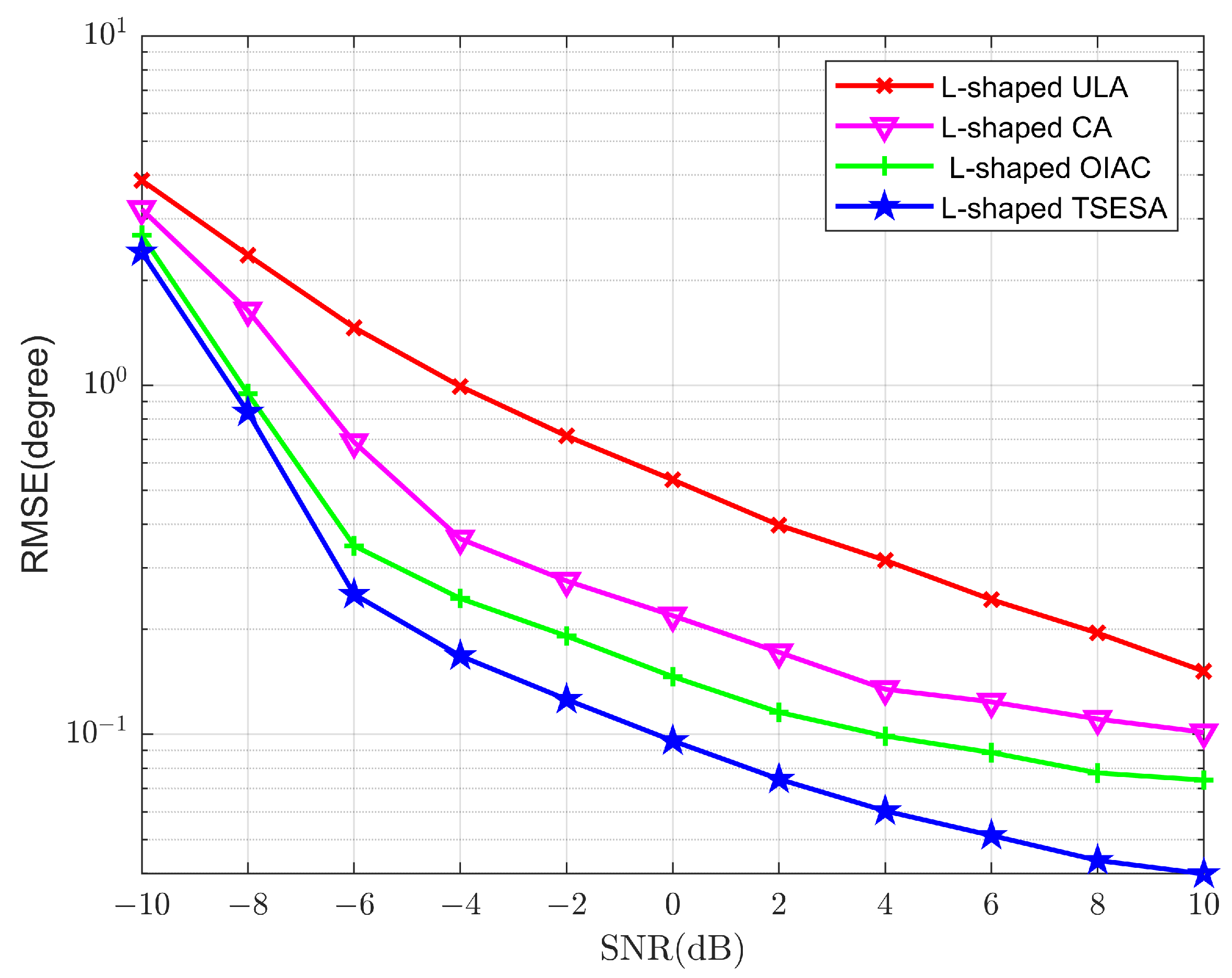
- We evaluate the performance of the popular L-shaped sparse array and the proposed L-shaped TSESA for 2-D DOA estimation, which fully demonstrates the superiority of the TSESA geometry.
2. The Configuration of L-Shaped Three-Level and Single Common Element Sparse Array
2.1. The Mathematical Expression of Array Element’s Position
2.2. The uDOF and Array Aperture of TSESA
3. The Signal Model and Estimation Method Used
3.1. The Signal Model
- (1)
- The sources of these signals are located in the far field range of the array;
- (2)
- These signals are narrow-band signals;
- (3)
- These signals are irrelevant.
3.2. The Estimation of Azimuth Angles
3.3. The Estimation of Matched Elevation Angles
4. Numerical Experiments
4.1. Experiment 1
4.2. Experiment 2
4.3. Experiment 3
4.4. Experiment 4
5. Conclusions
Author Contributions
Funding
Institutional Review Board Statement
Informed Consent Statement
Data Availability Statement
Conflicts of Interest
Appendix A
- (a)
- (b)
- (c)
- (d)
References
- Zhong, J.; Chen, T.; Peng, F.; Bi, X.; Chen, Z. Direction of arrival estimation based on slope fitting of wideband array signal in fractional fourier transform domain. IET Radar Sonar Navig. 2023, 17, 422–434. [Google Scholar] [CrossRef]
- Zhu, D.; Cheng, X.; Chen, B. Joint 2d-doa and polarization estimation for electromagnetic vector sensors array with compressive measurements. IET Radar Sonar Navig. 2022, 16, 1627–1640. [Google Scholar] [CrossRef]
- Molaei, A.M.; Zakeri, B.; Hosseini Andargoli, S.M. Two-dimensional doa estimation for multi-path environments by accurate separation of signals using k-medoids clustering. IET Commun. 2019, 13, 1141–1147. [Google Scholar] [CrossRef]
- Si, W.; Zeng, F.; Qu, Z.; Peng, Z. Two-dimensional doa estimation via a novel sparse array consisting of coprime and nested subarrays. IEEE Commun. Lett. 2020, 24, 1266–1270. [Google Scholar] [CrossRef]
- Li, J.; Ma, P.; Zhang, X.; Zhao, G. Improved dft algorithm for 2d doa estimation based on 1d nested array motion. IEEE Commun. Lett. 2020, 24, 1953–1956. [Google Scholar] [CrossRef]
- He, J.; Li, L.; Shu, T.; Truong, T.-K. Mixed near-field and far-field source localization based on exact spatial propagation geometry. IEEE Trans. Veh. Technol. 2021, 70, 3540–3551. [Google Scholar] [CrossRef]
- Wang, C.; Hu, J.; Zhang, Q.; Yuan, X. An efficient 2d doa estimation algorithm based on omp for rectangular array. Electronics 2023, 12, 1634. [Google Scholar] [CrossRef]
- Han, S.; Lai, X.; Zhang, Y.; Zhang, X. A computationally efficient and virtualization-free two-dimensional doa estimation method for nested planar array: Rd-root-music algorithm. Sensors 2022, 22, 5220. [Google Scholar] [CrossRef]
- Famoriji, O.J.; Shongwe, T. Direction-of-arrival estimation of electromagnetic wave impinging on spherical antenna array in the presence of mutual coupling using a multiple signal classification method. Electronics 2021, 10, 2651. [Google Scholar] [CrossRef]
- Mei, R.; Tian, Y.; Huang, Y.; Wang, Z. 2d-doa estimation in switching uca using deep learning-based covariance matrix completion. Sensors 2022, 22, 3754. [Google Scholar] [CrossRef]
- Hu, Z.; Wu, Q.; Zou, J.; Wan, Q. Fast and efficient two-dimensional doa estimation for signals with known waveforms using uniform circular array. Appl. Sci. 2022, 12, 4007. [Google Scholar] [CrossRef]
- Zhang, M.; Wang, C.; Zhu, W.; Shen, Y. An intelligent doa estimation error calibration method based on transfer learning. Appl. Sci. 2022, 12, 7636. [Google Scholar] [CrossRef]
- Zhang, C.; Qiu, P.Y.; Lu, H.Z. Minimum-redundancy linear array based two-dimensional doa estimation approach. Chin. J. Sens. Actuators 2009, 22, 371–377. [Google Scholar]
- Pal, P.; Vaidyanathan, P.P. Nested arrays: A novel approach to array processing with enhanced degrees of freedom. IEEE Trans. Signal Process. 2010, 58, 4167–4181. [Google Scholar] [CrossRef]
- Vaidyanathan, P.P.; Pal, P. Sparse sensing with co-prime samplers and arrays. IEEE Trans. Signal Process. 2010, 59, 573–586. [Google Scholar] [CrossRef]
- Wu, Q.; Sun, F.; Lan, P.; Ding, G.; Zhang, X. Two-dimensional direction-of-arrival estimation for co-prime planar arrays: A partial spectral search approach. IEEE Sens. J. 2016, 16, 5660–5670. [Google Scholar] [CrossRef]
- Zheng, Z.; Yang, Y.; Wang, W.-Q.; Yang, J.; Ge, Y. 2-d doa estimation of multiple signals based on sparse l-shaped array. In Proceedings of the 2016 International Symposium on Antennas and Propagation (ISAP), Okinawa, Japan, 24–28 October 2016; pp. 1014–1015. [Google Scholar]
- Zhang, H.; Gao, K.; Xing, J.; Jiang, T.; Xu, R. 2d direction-of-arrival estimation for sparse l-shaped array based on recursive gridding. In Proceedings of the 2020 9th Asia-Pacific Conference on Antennas and Propagation (APCAP), Xiamen, China, 4–7 August 2020; pp. 1–2. [Google Scholar]
- Peng, Z.; Si, W.; Zeng, F. 2-d doa estimation for l-shaped sparse array via joint use of spatial and temporal information. IEEE Commun. Lett. 2020, 24, 1934–1938. [Google Scholar] [CrossRef]
- Zheng, H.; Shi, Z.; Zhou, C.; Haardt, M.; Chen, J. Coupled coarray tensor cpd for doa estimation with coprime l-shaped array. IEEE Signal Process. Lett. 2021, 28, 1545–1549. [Google Scholar] [CrossRef]
- Wu, F.; Cao, F.; Ni, X.; Chen, C.; Zhang, Y.; Xu, J. L-shaped sparse array structure for 2-d doa estimation. IEEE Access 2020, 8, 140030–140037. [Google Scholar] [CrossRef]
- Xu, H.; Cui, W.; Mei, F.; Ba, B.; Jian, C. The design of a novel sparse array using two uniform linear arrays considering mutual coupling. J. Sens. 2021, 2021, 9934097. [Google Scholar] [CrossRef]
- Suzuki, M.; Kikuchi, J.; Hosoya, Y. Detection of arrival signal number based on mdl criterion. IEICE Tech. Rep. Circuits Syst. 1994, 94, 75–82. [Google Scholar]
- Shan, T.J.; Kailath, T. Adaptive beamforming for coherent signals and interference. IEEE Trans. Acoust. Speech Signal Process. 1985, 33, 527–536. [Google Scholar] [CrossRef]
- Shan, T.J.; Wax, M.; Kailath, T. On spatial smoothing of estimation of coherent signals. IEEE Trans. Acoust. Speech Signal Process. 1985, 33, 806–811. [Google Scholar] [CrossRef]
- Elbir, A.M. L-shaped coprime array structures for doa estimation. Multidimens. Syst. Signal Process. 2020, 31, 205–219. [Google Scholar] [CrossRef]
- Yuen, N.; Friedlander, B. Performance analysis of higher order esprit for localization of near-field sources. IEEE Trans. Signal Process. 1998, 46, 709–719. [Google Scholar] [CrossRef]






| Number of Array Elements | The Largest Number of Consecutive Lags (X-axis or Z-axis) | |||
|---|---|---|---|---|
| L-Shaped ULA | L-Shaped CA | L-Shaped OIAC | L-Shaped TSESA | |
| 23 | 23 | 47 | 65 | 91 |
| 29 | 29 | 65 | 97 | 127 |
| 35 | 35 | 95 | 133 | 195 |
| 41 | 41 | 125 | 177 | 255 |
| 47 | 47 | 167 | 225 | 331 |
| Number of Array Elements | The Maximum Aperture of the Array (X-axis or Z-axis) | |||
|---|---|---|---|---|
| L-Shaped ULA | L-Shaped CA | L-Shaped OIAC | L-Shaped TSESA | |
| 23 | 12 | 35 | 39 | 45 |
| 29 | 15 | 54 | 47 | 63 |
| 35 | 18 | 77 | 62 | 97 |
| 41 | 21 | 104 | 87 | 127 |
| 47 | 24 | 143 | 159 | 165 |
| Different Arrays | Element Positions | |
|---|---|---|
| Intersection Element’s Location | Other Elements’ Locations (X-axis or Z-axis) | |
| L-shaped ULA | 0 | 1, 2, 3, 4, 5, 6, 7, 8, 9, 10, 11 |
| L-shaped CA | 0 | 4, 5, 8, 10, 12, 15, 16, 20, 25, 30, 35 |
| L-shaped OIAC | 0 | 4, 8, 12, 16, 20, 14, 18, 19, 32, 34, 39 |
| L-shaped TSESA | 0 | 1, 2, 23, 25, 27, 30, 33, 36, 39, 42, 45 |
Disclaimer/Publisher’s Note: The statements, opinions and data contained in all publications are solely those of the individual author(s) and contributor(s) and not of MDPI and/or the editor(s). MDPI and/or the editor(s) disclaim responsibility for any injury to people or property resulting from any ideas, methods, instructions or products referred to in the content. |
© 2023 by the authors. Licensee MDPI, Basel, Switzerland. This article is an open access article distributed under the terms and conditions of the Creative Commons Attribution (CC BY) license (https://creativecommons.org/licenses/by/4.0/).
Share and Cite
Du, B.; Cui, W.; Ba, B.; Xu, H.; Gao, W. An L-Shaped Three-Level and Single Common Element Sparse Sensor Array for 2-D DOA Estimation. Sensors 2023, 23, 6625. https://doi.org/10.3390/s23146625
Du B, Cui W, Ba B, Xu H, Gao W. An L-Shaped Three-Level and Single Common Element Sparse Sensor Array for 2-D DOA Estimation. Sensors. 2023; 23(14):6625. https://doi.org/10.3390/s23146625
Chicago/Turabian StyleDu, Bo, Weijia Cui, Bin Ba, Haiyun Xu, and Wubin Gao. 2023. "An L-Shaped Three-Level and Single Common Element Sparse Sensor Array for 2-D DOA Estimation" Sensors 23, no. 14: 6625. https://doi.org/10.3390/s23146625
APA StyleDu, B., Cui, W., Ba, B., Xu, H., & Gao, W. (2023). An L-Shaped Three-Level and Single Common Element Sparse Sensor Array for 2-D DOA Estimation. Sensors, 23(14), 6625. https://doi.org/10.3390/s23146625

