An End-to-End Dynamic Posture Perception Method for Soft Actuators Based on Distributed Thin Flexible Porous Piezoresistive Sensors
Abstract
1. Introduction
- (1)
- An end-to-end (indirect) method for soft robot posture perception with flexible porous piezoresistive sensors via the RNN deep learning approach.
- (2)
- The design and characterization of a scalable miniature flexible bending sensor that can be quickly attached to existing bellow-shaped actuators to perceive the posture and dynamic behaviors as sensing units while minimizing the effect of motion restriction.
- (3)
- The validation of our proposed method on a small-scale 3 DoF bellow-shaped soft robot actuator with three pneumatic chambers.
2. Design Overview and Rationale
2.1. Soft Robot and Flexible Porous Piezoresistive Sensor Design
2.2. Working Mechanism of Flexible Porous Piezoresistive Sensor
2.3. Soft Robot Kinematic Description
2.4. Neural Network Design
3. Experiment Setup
3.1. Sensor Response Experiment Setup
3.2. Soft Robot Operation and Data Acquisition
3.3. Neural Network Training
4. Experiment Results
4.1. Soft Sensor and Actuator Characterization
4.1.1. Soft Actuator Working Space
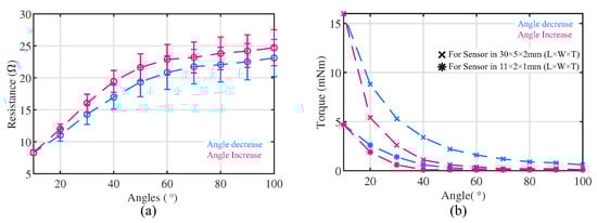
4.1.2. Response of Flexible Bending Sensor
4.2. Calibration Neural Network Performance
4.3. Validation of 3D Posture and Dynamic Behavior Prediction
5. Conclusions and Discussion
5.1. Discussion on Kinematic Description of Soft Actuator
5.2. Discussion on Sensor Characterization and Performance of the Sensing Method
Supplementary Materials
Author Contributions
Funding
Institutional Review Board Statement
Informed Consent Statement
Data Availability Statement
Acknowledgments
Conflicts of Interest
Abbreviations
| DOF | Degree of Freedom |
| PCC | Piecewise Constant Curvature |
| CC | Constant Curvature |
| LSTM | Long Short-Term Memory |
| RNN | Recurrent Neural Network |
| SD | Standard Deviation |
Appendix A. Experimental Setup for Sensor Characterizing

References
- Rus, D.; Tolley, M.T. Design, fabrication and control of soft robots. Nature 2015, 521, 467–475. [Google Scholar] [CrossRef] [PubMed]
- Pan, M.; Yuan, C.; Liang, X.; Dong, T.; Liu, T.; Zhang, J.; Zou, J.; Yang, H.; Bowen, C. Soft actuators and robotic devices for rehabilitation and assistance. Adv. Intell. Syst. 2022, 4, 2100140. [Google Scholar] [CrossRef]
- Tang, Z.Q.; Heung, H.L.; Tong, K.Y.; Li, Z. Model-based online learning and adaptive control for a “human-wearable soft robot” integrated system. Int. J. Robot. Res. 2021, 40, 256–276. [Google Scholar] [CrossRef]
- Yang, Y.; Chen, Y.; Li, Y.; Wang, Z.; Li, Y. Novel variable-stiffness robotic fingers with built-in position feedback. Soft Robot. 2017, 4, 338–352. [Google Scholar] [CrossRef] [PubMed]
- Yuen, M.C.; Tonoyan, H.; White, E.L.; Telleria, M.; Kramer, R.K. Fabric sensory sleeves for soft robot state estimation. In Proceedings of the 2017 IEEE international conference on robotics and automation (ICRA), Singapore, 29 May–3 June 2017; pp. 5511–5518. [Google Scholar]
- Gillespie, M.T.; Best, C.M.; Killpack, M.D. Simultaneous position and stiffness control for an inflatable soft robot. In Proceedings of the 2016 IEEE international conference on robotics and automation (ICRA), Stockholm, Sweden, 16–21 May 2016; pp. 1095–1101. [Google Scholar]
- Larson, C.; Peele, B.; Li, S.; Robinson, S.; Totaro, M.; Beccai, L.; Mazzolai, B.; Shepherd, R. Highly stretchable electroluminescent skin for optical signaling and tactile sensing. Science 2016, 351, 1071–1074. [Google Scholar] [CrossRef]
- Zhao, H.; O’Brien, K.; Li, S.; Shepherd, R.F. Optoelectronically innervated soft prosthetic hand via stretchable optical waveguides. Sci. Robot. 2016, 1, eaai7529. [Google Scholar] [CrossRef]
- Wall, V.; Zöller, G.; Brock, O. A method for sensorizing soft actuators and its application to the RBO hand 2. In Proceedings of the 2017 IEEE International Conference on Robotics and Automation (ICRA), Singapore, 29 May–3 June 2017; pp. 4965–4970. [Google Scholar]
- Truby, R.L.; Katzschmann, R.K.; Lewis, J.A.; Rus, D. Soft robotic fingers with embedded ionogel sensors and discrete actuation modes for somatosensitive manipulation. In Proceedings of the 2019 2nd IEEE International Conference on Soft Robotics (RoboSoft), Seoul, Republic of Korea, 14–18 April 2019; pp. 322–329. [Google Scholar]
- Li, Y.; Guo, C.; Xin, W.; Pan, T.; Li, W.; Chiu, P.W.Y.; Li, Z. Design and Preliminary Evaluation of an Electromagnetically Actuated Soft-Tethered Colonoscope. IEEE Trans. Med. Robot. Bionics 2021, 2, 402–413. [Google Scholar] [CrossRef]
- Elkeran, M.; Fanni, M. A transient FEA-based methodology for designing soft surgical manipulators. In Proceedings of the 2018 IEEE International Conference on Mechatronics and Automation (ICMA), Changchun, China, 5–8 August 2018; pp. 568–573. [Google Scholar]
- Katzschmann, R.K.; Della Santina, C.; Toshimitsu, Y.; Bicchi, A.; Rus, D. Dynamic motion control of multi-segment soft robots using piecewise constant curvature matched with an augmented rigid body model. In Proceedings of the 2019 2nd IEEE International Conference on Soft Robotics (RoboSoft), Seoul, Republic of Korea, 14–18 April 2019; pp. 454–461. [Google Scholar]
- Bajo, A.; Goldman, R.E.; Simaan, N. Configuration and joint feedback for enhanced performance of multi-segment continuum robots. In Proceedings of the 2011 IEEE International Conference on Robotics and Automation (ICRA), Shanghai, China, 9–13 May 2011; pp. 2905–2912. [Google Scholar]
- Zhang, B.; Fan, Y.; Yang, P.; Cao, T.; Liao, H. Worm-like soft robot for complicated tubular environments. Soft Robot. 2019, 6, 399–413. [Google Scholar] [CrossRef]
- Polygerinos, P.; Wang, Z.; Galloway, K.C.; Wood, R.J.; Walsh, C.J. Soft robotic glove for combined assistance and at-home rehabilitation. Robot. Auton. Syst. 2015, 73, 135–143. [Google Scholar] [CrossRef]
- Yan, X.; Bowen, C.R.; Yuan, C.; Hao, Z.; Pan, M. Carbon fibre based flexible piezoresistive composites to empower inherent sensing capabilities for soft actuators. Soft Matter 2019, 15, 8001–8011. [Google Scholar] [CrossRef]
- Pan, M.; Yuan, C.; Anpalagan, H.; Plummer, A.; Zou, J.; Zhang, J.; Bowen, C. Soft Controllable Carbon Fibre-based Piezoresistive Self-Sensing Actuators. Actuators 2020, 9, 79. [Google Scholar] [CrossRef]
- Truby, R.L.; Santina, C.D.; Rus, D. Distributed Proprioception of 3D Configuration in Soft, Sensorized Robots via Deep Learning. IEEE Robot. Autom. Lett. 2020, 5, 3299–3306. [Google Scholar] [CrossRef]
- Ye, Z.; Pang, G.; Liang, Y.; Lv, H.; Xu, K.; Wu, H.; Yang, G. Highly Stretchable and Sensitive Strain Sensor Based on Porous Materials and Rhombic-Mesh Structures for Robot Teleoperation. Adv. Sens. Res. 2023, 2300044. [Google Scholar] [CrossRef]
- Xu, K.; Lu, Y.; Takei, K. Flexible hybrid sensor systems with feedback functions. Adv. Funct. Mater. 2021, 31, 2007436. [Google Scholar] [CrossRef]
- Kong, D.; Yang, G.; Pang, G.; Ye, Z.; Lv, H.; Yu, Z.; Wang, F.; Wang, X.V.; Xu, K.; Yang, H. Bioinspired Co-Design of Tactile Sensor and Deep Learning Algorithm for Human–Robot Interaction. Adv. Intell. Syst. 2022, 4, 2200050. [Google Scholar] [CrossRef]
- Xu, K.; Fujita, Y.; Lu, Y.; Honda, S.; Shiomi, M.; Arie, T.; Akita, S.; Takei, K. A wearable body condition sensor system with wireless feedback alarm functions. Adv. Mater. 2021, 33, 2008701. [Google Scholar] [CrossRef]
- Heng, W.; Yang, G.; Kim, W.S.; Xu, K. Emerging wearable flexible sensors for sweat analysis. Bio-Des. Manuf. 2022, 5, 64–84. [Google Scholar] [CrossRef]
- Xu, K.; Lu, Y.; Honda, S.; Arie, T.; Akita, S.; Takei, K. Highly stable kirigami-structured stretchable strain sensors for perdurable wearable electronics. J. Mater. Chem. C 2019, 7, 9609–9617. [Google Scholar] [CrossRef]
- Vella, D. Buffering by buckling as a route for elastic deformation. Nat. Rev. Phys. 2019, 1, 425–436. [Google Scholar] [CrossRef]
- Lo, L.W.; Zhao, J.; Wan, H.; Wang, Y.; Chakrabartty, S.; Wang, C. A soft sponge sensor for multimodal sensing and distinguishing of pressure, strain, and temperature. ACS Appl. Mater. Interfaces 2022, 14, 9570–9578. [Google Scholar] [CrossRef]
- Li, X.; Li, X.; Liu, T.; Lu, Y.; Shang, C.; Ding, X.; Zhang, J.; Feng, Y.; Xu, F.J. Wearable, washable, and highly sensitive piezoresistive pressure sensor based on a 3D sponge network for real-time monitoring human body activities. ACS Appl. Mater. Interfaces 2021, 13, 46848–46857. [Google Scholar] [CrossRef] [PubMed]
- Wei, Q.; Chen, G.; Pan, H.; Ye, Z.; Au, C.; Chen, C.; Zhao, X.; Zhou, Y.; Xiao, X.; Tai, H.; et al. MXene-sponge based high-performance piezoresistive sensor for wearable biomonitoring and real-time tactile sensing. Small Methods 2022, 6, 2101051. [Google Scholar] [CrossRef] [PubMed]
- Li, Y.; Cui, Y.; Zhang, M.; Li, X.; Li, R.; Si, W.; Sun, Q.; Yu, L.; Huang, C. Ultrasensitive pressure sensor sponge using liquid metal modulated nitrogen-doped graphene nanosheets. Nano Lett. 2022, 22, 2817–2825. [Google Scholar] [CrossRef] [PubMed]
- Yang, W.; Xie, M.; Zhang, X.; Sun, X.; Zhou, C.; Chang, Y.; Zhang, H.; Duan, X. Multifunctional soft robotic finger based on a nanoscale flexible temperature–pressure tactile sensor for material recognition. ACS Appl. Mater. Interfaces 2021, 13, 55756–55765. [Google Scholar] [CrossRef] [PubMed]
- Chen, H.; Su, Z.; Song, Y.; Cheng, X.; Chen, X.; Meng, B.; Song, Z.; Chen, D.; Zhang, H. Omnidirectional bending and pressure sensor based on stretchable CNT-PU sponge. Adv. Funct. Mater. 2017, 27, 1604434. [Google Scholar] [CrossRef]
- Ge, G.; Cai, Y.; Dong, Q.; Zhang, Y.; Shao, J.; Huang, W.; Dong, X. A flexible pressure sensor based on rGO/polyaniline wrapped sponge with tunable sensitivity for human motion detection. Nanoscale 2018, 10, 10033–10040. [Google Scholar] [CrossRef] [PubMed]
- Ye, Z.; Pang, G.; Xu, K.; Hou, Z.; Lv, H.; Shen, Y.; Yang, G. Soft robot skin with conformal adaptability for on-body tactile perception of collaborative robots. IEEE Robot. Autom. Lett. 2022, 7, 5127–5134. [Google Scholar] [CrossRef]
- Ye, Z.; Yang, G.; Pang, G.; Huang, X.; Yang, H. Design and implementation of robot skin using highly sensitive sponge sensor. IEEE Trans. Med. Robot. Bionics 2020, 2, 670–680. [Google Scholar] [CrossRef]
- Shu, J.; Wang, J.; Lau, S.C.Y.; Su, Y.; Heung, K.H.L.; Shi, X.; Li, Z.; Tong, R.K.y. Soft Robots’ Dynamic Posture Perception Using Kirigami-Inspired Flexible Sensors with Porous Structures and Long Short-Term Memory (LSTM) Neural Networks. Sensors 2022, 22, 7705. [Google Scholar] [CrossRef]
- Elgeneidy, K.; Lohse, N.; Jackson, M. Bending angle prediction and control of soft pneumatic actuators with embedded flex sensors—A data-driven approach. Mechatronics 2018, 50, 234–247. [Google Scholar] [CrossRef]
- Thuruthel, T.G.; Shih, B.; Laschi, C.; Tolley, M.T. Soft robot perception using embedded soft sensors and recurrent neural networks. Sci. Robot. 2019, 4, eaav1488. [Google Scholar] [CrossRef] [PubMed]
- Shu, J.; Wang, J.; Su, Y.; Liu, H.; Li, Z.; Tong, R.K.Y. An End-to-end Posture Perception Method for Soft Bending Actuators Based on Kirigami-inspired Piezoresistive Sensors. In Proceedings of the 2022 IEEE-EMBS International Conference on Wearable and Implantable Body Sensor Networks (BSN), Ioannina, Greece, 27–30 September 2022; pp. 1–5. [Google Scholar]
- Hochreiter, S.; Schmidhuber, J. Long short-term memory. Neural Comput. 1997, 9, 1735–1780. [Google Scholar] [CrossRef] [PubMed]
- Shih, B.; Drotman, D.; Christianson, C.; Huo, Z.; White, R.; Christensen, H.I.; Tolley, M.T. Custom soft robotic gripper sensor skins for haptic object visualization. In Proceedings of the 2017 IEEE/RSJ international conference on intelligent robots and systems (IROS), Vancouver, BC, Canada, 24–28 September 2017; pp. 494–501. [Google Scholar]
- Galloway, K.C.; Chen, Y.; Templeton, E.; Rife, B.; Godage, I.S.; Barth, E.J. Fiber optic shape sensing for soft robotics. Soft Robot. 2019, 6, 671–684. [Google Scholar] [CrossRef]
- Shu, J.; Chirarattananon, P. A quadrotor with an origami-inspired protective mechanism. IEEE Robot. Autom. Lett. 2019, 4, 3820–3827. [Google Scholar] [CrossRef]
- Webster, R.J., III; Jones, B.A. Design and kinematic modeling of constant curvature continuum robots: A review. Int. J. Robot. Res. 2010, 29, 1661–1683. [Google Scholar] [CrossRef]
- Kingma, D.P.; Ba, J. Adam: A method for stochastic optimization. arXiv 2014, arXiv:1412.6980. [Google Scholar]
- Truby, R.L.; Chin, L.; Zhang, A.; Rus, D. Fluidic innervation sensorizes structures from a single build material. Sci. Adv. 2022, 8, eabq4385. [Google Scholar] [CrossRef]
- Ang, B.W.K.; Yeow, C.H. A learning-based approach to sensorize soft robots. Soft Robot. 2022, 9, 1144–1153. [Google Scholar] [CrossRef]












| Direction | Prediction Accuracy (mm) | Error Percentage |
|---|---|---|
| x-axis | −0.31 ± 7.37 | 0.37% |
| y-axis | 2.00 ± 6.03 | 2.38% |
| z-axis | 1.33 ± 3.46 | 1.58% |
| Sensors | Prediction Accuracy in x-Axis (mm) | Prediction Accuracy in y-Axis (mm) | Prediction Accuracy in z-Axis (mm) |
|---|---|---|---|
| #1, #4 and #7 | 3.21 ± 11.82 | 0.43 ± 9.53 | 1.78 ± 5.47 |
| #2, #5 and #8 | −5.19 ± 11.41 | 4.39 ± 14.38 | 6.91 ± 7.05 |
| #3, #6 and #9 | −2.46 ± 9.99 | −4.97 ± 9.39 | 4.83 ± 6.62 |
| Direction | Prediction Accuracy (mm/s) |
|---|---|
| x-axis | 0.48 ± 3.11 |
| y-axis | −0.25 ± 3.16 |
| z-axis | 0.11 ± 1.44 |
| Research Work | Sensor Material /Structure | Design Method | Advantages | Drawbacks | |
|---|---|---|---|---|---|
| #1 | Truby et al. [19] | Conductive Silicon | Separated | 3-DoF Posture Estimation | Only Steady-State Estimation |
| #2 | Shu et al. [39] | Separated | Dynamic Posture Estimation | Only Performs on Single DoF Motion | |
| #3 | Thuruthel et al. [38] | Integrated | 2-DoF Posture and Contact Force Estimation | Low Sampling Frequency (10 Hz) | |
| #4 | Truby et al. [46] | Sealed Air Chamber | Integrated | 3-DoF Dynamic Posture Estimation and Tactile Detection | Require Specific Fabrication Equipment (High-Resolution DLP 3D Printers) |
| #5 | Ang et al. [47] | Integrated | 2-DoF Dynamic Posture and Contact Force Estimation | Low Sampling Frequency | |
| #7 | Shu et al. (This Work) | Conductive Sponge | Separated | 3-DoF Dynamic Posture Estimation | Saturation Region Affects Estimation Accuracy |
Disclaimer/Publisher’s Note: The statements, opinions and data contained in all publications are solely those of the individual author(s) and contributor(s) and not of MDPI and/or the editor(s). MDPI and/or the editor(s) disclaim responsibility for any injury to people or property resulting from any ideas, methods, instructions or products referred to in the content. |
© 2023 by the authors. Licensee MDPI, Basel, Switzerland. This article is an open access article distributed under the terms and conditions of the Creative Commons Attribution (CC BY) license (https://creativecommons.org/licenses/by/4.0/).
Share and Cite
Shu, J.; Wang, J.; Cheng, K.C.-C.; Yeung, L.-F.; Li, Z.; Tong, R.K.-y. An End-to-End Dynamic Posture Perception Method for Soft Actuators Based on Distributed Thin Flexible Porous Piezoresistive Sensors. Sensors 2023, 23, 6189. https://doi.org/10.3390/s23136189
Shu J, Wang J, Cheng KC-C, Yeung L-F, Li Z, Tong RK-y. An End-to-End Dynamic Posture Perception Method for Soft Actuators Based on Distributed Thin Flexible Porous Piezoresistive Sensors. Sensors. 2023; 23(13):6189. https://doi.org/10.3390/s23136189
Chicago/Turabian StyleShu, Jing, Junming Wang, Kenneth Chik-Chi Cheng, Ling-Fung Yeung, Zheng Li, and Raymond Kai-yu Tong. 2023. "An End-to-End Dynamic Posture Perception Method for Soft Actuators Based on Distributed Thin Flexible Porous Piezoresistive Sensors" Sensors 23, no. 13: 6189. https://doi.org/10.3390/s23136189
APA StyleShu, J., Wang, J., Cheng, K. C.-C., Yeung, L.-F., Li, Z., & Tong, R. K.-y. (2023). An End-to-End Dynamic Posture Perception Method for Soft Actuators Based on Distributed Thin Flexible Porous Piezoresistive Sensors. Sensors, 23(13), 6189. https://doi.org/10.3390/s23136189

