Next Article in Journal
Intelligent Fusion Imaging Photonics for Real-Time Lighting Obstructions
Next Article in Special Issue
Impact of Iran’s Forest Nationalization Law on Forest Cover Changes over Six Decades: A Case Study of a Zagros Sparse Coppice Oak Forest
Previous Article in Journal
Prediction of Honeydew Contaminations on Cotton Samples by In-Line UV Hyperspectral Imaging
Previous Article in Special Issue
An Overview of Sensors for Long Range Missile Defense
 
 
Font Type:
Arial Georgia Verdana
Font Size:
Aa Aa Aa
Line Spacing:
Column Width:
Background:
Article

Initial Performance Analysis of the At-Altitude Radiance Ratio Method for Reflectance Conversion of Hyperspectral Remote Sensing Data

1
Digital Imaging and Remote Sensing Laboratory, Chester F. Carlson Center for Imaging Science, College of Science, Rochester Institute of Technology, 54 Lomb Memorial Drive, Rochester, NY 14623, USA
2
Department of Electrical and Computer Engineering Technology, College of Engineering Technology, Rochester Institute of Technology, 15 Lomb Memorial Drive, Rochester, NY 14623, USA
*
Authors to whom correspondence should be addressed.
Sensors 2023, 23(1), 320; https://doi.org/10.3390/s23010320
Submission received: 17 November 2022 / Revised: 15 December 2022 / Accepted: 24 December 2022 / Published: 28 December 2022
(This article belongs to the Special Issue Feature Papers in the Remote Sensors Section 2022)

Abstract

In remote sensing, the conversion of at-sensor radiance to surface reflectance for each pixel in a scene is an essential component of many analysis tasks. The empirical line method (ELM) is the most used technique among remote sensing practitioners due to its reliability and production of accurate reflectance measurements. However, the at-altitude radiance ratio (AARR), a more recently proposed methodology, is attractive as it allows reflectance conversion to be carried out in real time throughout data collection, does not require calibrated samples of pre-measured reflectance to be placed in scene, and can account for changes in illumination conditions. The benefits of AARR can substantially reduce the level of effort required for collection setup and subsequent data analysis, and provide a means for large-scale automation of remote sensing data collection, even in atypical flight conditions. In this study, an onboard, downwelling irradiance spectrometer integrated onto a small unmanned aircraft system (sUAS) is utilized to characterize the performance of AARR-generated reflectance from hyperspectral radiance data under a variety of challenging illumination conditions. The observed error introduced by AARR is often on par with ELM and acceptable depending on the application requirements and natural variation in the reflectance of the targets of interest. Additionally, a number of radiometric and atmospheric corrections are proposed that could increase the accuracy of the method in future trials, warranting further research.

1. Introduction

Conversion of recorded radiance imagery to reflectance is essential to the production of accurate and useful information for a variety of remote sensing applications. The empirical line method (ELM) [1,2] is the most commonly used approach, which requires in-scene calibration panels with known spectral reflectance to be placed in the scene and imaged at various times during the collection event. This impacts the time and level of effort requirements of data collection, which are not shared with the alternative approach dubbed the at-altitude radiance ratio (AARR) [3,4,5,6].
While many previous studies have taken a modelling approach in characterizing the performance of AARR, this research focuses on real-world application; a miniature high resolution spectrometer was integrated into a newly designed sUAS-mountable downwelling irradiance sensor, coined the RIT Downwelling Irradiance Sensor (RIT DIS), in order to collect the data required for AARR. The initial version of the RIT DIS has produced encouraging results for AARR with multispectral sensors, where the MicaSense RedEdge-M multispectral camera was used to capture scene radiance [7]. This paper aims to extend these findings to hyperspectral data by instead using the Headwall Nano-Hyperspec to record scene radiance. The Nano-Hyperspec and the RIT DIS are mounted on a DJI Wind8 sUAS and a target scene containing several reflectance panels is imaged at a low altitude of ~30 m, and a higher altitude of ~90 m. Additionally, ELM provides a baseline for reflectance conversion performance comparison.
While ELM was previously shown to slightly outperform AARR [7], the data were collected under a clear sky, which is one of the known best case scenarios for the ELM method. ELM cannot account for changes in illumination conditions unless the in-scene calibration panels are imaged regularly throughout the flight, which introduces logistical issues for many data collection events and thus it is not commonly feasible. These changing conditions between ELM calibrations can result in a substantial impact to the recorded scene radiance, confusing subsequent analysis results. As the AARR method captures downwelling irradiance data in real time throughout the collection event, it has the ability to adapt to these changing conditions. Accordingly, the data for this study were collected across several days with increasingly challenging weather conditions in order to determine the use cases where AARR would be preferred over ELM. Furthermore, the importance of this study is further highlighted by considering the ease of data collection and the automation potential granted by AARR. Real-world applications of AARR has been researched previously, including downwelling corrections for platform attitude and atmospheric effects, but like other studies, data were collected on a clear day [8,9]. This study focuses on a more rudimentary approach to AARR in order to deduce findings that can support its use under a variety of weather conditions.
This paper is organized into the following sections; Section 2 discusses the materials and methods used in further detail, including reflectance conversion and methods in Section 2.1, Section 2.2 and Section 2.3, the specifications and particulars of the sensors used in Section 2.4, the data collection process in Section 2.5, the post processing pipeline in Section 2.6 and the tools used for the analysis of the recorded data in Section 2.7. Finally, qualitative results are presented in Section 3 and discussed in Section 4.

2. Materials and Methods

2.1. Reflectance Conversion Preliminaries

Remote sensing data are captured in raw digital count by the sensor and is then commonly converted to radiance using a variety of radiometric calibration techniques. Reflectance conversion is the next step in the processing chain. It allows practitioners and scientists in a variety of fields to discern further important details about specific materials in the target scene. As mentioned previously, the most popular method to perform this conversion is the empirical line method (ELM), however the at-altitude radiance ratio (AARR) promises to facilitate the data collection process by reducing the number of personnel and on-site equipment required. Therefore, it has the potential to progress the automation of the data collection process for sUAS-based remote sensing.
Before exploring these reflectance conversion methods in the following sections, another important element to consider is the bidirectional reflectance distribution function (BRDF) and the impact it has on reflectance measurements. BRDF represents the reflectance factor of a particular material as a function of illumination angle, detector imaging angle and other environmental factors [10]. A portable goniometer was created to measure the BRDF of a material in the field to facilitate extensive research of BRDF for a multitude of imaging applications [11], which emphasizes the importance of BRDF consideration.
Since the reflectance factor of materials is a function of illumination angle and detector imaging angle, it must be considered in all reflectance measurements. In sUAS-based remote sensing, the imaging angle is most often at nadir (zenith relative to the material). It should be noted that the field of view (FOV) of the sensor on the platform will have a direct impact on the imaging angle and will cause it to vary for each recorded pixel. The attitude of the platform is also changing throughout the flight as it tries to stabilize, thus the imaging angle is not perfectly nadir across the sensor’s aperture. Yet, the illumination angle of the target surface varies as the solar zenith angle changes throughout the collect. Consequently, it is commonplace for remote sensing reflectance conversion methods to make the assumption that the diffuse reflectance is the main component being measured, ignoring the specular component. This assumption implies that the materials in the target scene have a constrained BRDF, independent of detector imaging angle, which is a property of Lambertian surfaces. Although nearly all materials on the Earth’s surface are not Lambertian, the actual BRDF and an assumed Lambertian BRDF of materials are consistently in agreement when the solar zenith angle is between 30 and 45 degrees and the imaging angle is at zenith [10,12,13]. The error introduced by this assumption is inherent to both ELM and AARR, furnishing a fair ground for comparison between the two.
It is important to note that radiance reflected by the specular component of reflectance must come from a particular direction and might not always be from direct sunlight; they can come from specular reflections from a variety of objects such as leaves blowing in the wind, windows, sand grains and wave facets in the water. Specular reflections from direct sunlight will be much brighter than specular reflections from surrounding objects, but based on the nearly nadir imaging angles typical of sUAS-based sensors and the position of the sun in the sky during these collects, true specular reflections from direct sunlight should not contribute to measured radiance. The specular reflections from other objects in or near the scene can and will affect radiance measured by the sensor, but they should only affect the recorded radiance of certain pixels in the scene, not all, as they are typically less than fraction of a pixel in size. On average, the recorded radiance of a target within the scene across all pixels will be less likely to be affected by these specular reflections, which further explains why the omission of the specular component of reflectance is reasonable.

2.2. Empirical Line Method

ELM identifies a linear relationship between radiance and reflectance and uses it as a basis for reflectance conversion [1,2]. This linear relationship holds true between digital count and reflectance as well assuming the detector response is linear, allowing the use of ELM without calibrating the sensor for radiance. Although this may be beneficial to some, remote sensing practitioners typically prefer a radiance calibrated sensor where detector non-linearity is corrected for [14].
ELM requires a number of calibration panels to be placed in the target scene, and a field spectrometer is used to measure the reflectance of these panels prior to the data collection event. Before measuring the in-scene panels, the field spectrometer is calibrated for reflectance by first measuring the radiance of a white reference panel. This panel must be clean, in pristine condition and have calibrated reflectance measurements supplied by a provider such as Labsphere, Inc. (North Sutton, NH, USA) for a Spectralon® panel. The reflectance measurements of the in-scene calibration panels can then be recorded. It is important to note that other reflectance measurements of in-scene calibration panels can be used as a basis for this second approach, such as those measured in a lab setting or on previous collect days; however, it is common practice to take measurements in the field on the same day since they can be substantially influenced by changes in illumination conditions, as discussed in Section 2.1.
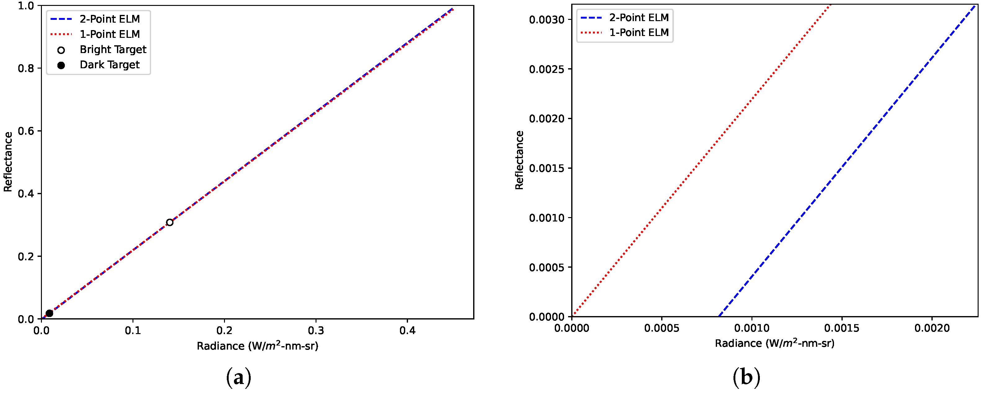
With the reflectance measurements of the in-scene calibration panels in hand, the collection flight can commence. The sUAS-platform must image these panels at least once or at various points during the flight which allows their digital counts or radiance values to be extracted during post processing. Any realistic number of panels of varying spectral reflectance can be used to determine the ELM relationship; commonly one or two panels are used, referred to as 1-point ELM and 2-point ELM, respectively. For 3 or more calibration panels, a line of best fit is applied using an assortment of regression techniques. For this research, 1-point and 2-point ELM are used as references for our experiments as they are currently the preferred methods for reflectance conversion; arbitrary examples are shown in Figure 1.
For 2-point ELM, two panels are deployed in the field, one dark and the other bright. The relationship for 2-point ELM can then be calculated using Equations (1)–(3) [1,2].
ρ λ ( x , y ) = m λ L s , λ ( x , y ) + b λ ,
m λ = ρ bright , λ ρ dark , λ L s , bright , λ L s , dark , λ ,
b λ = ρ bright , λ m λ L s , bright , λ ,
where ρ bright , λ is the average reflectance of the bright target, ρ dark , λ is the average reflectance of the dark target, L s , bright , λ is the average radiance or digital count of the bright target, L s , dark , λ is the average radiance or digital count of the bright target, x and y denote the pixel coordinates and λ denotes the center wavelength of the spectral band. It should be noted that the bias, b λ , can be computed using either the dark or bright target, and represents the path radiance, or backscattering, between the target scene to the imaging platform. Essentially, this is the solar scattered spectral path radiance generated in the path between target and the sensor [4].
For 1-point ELM, only one bright panel is placed in the scene. Since two points are required to compute a linear relationship, b λ from Equation (3) is assumed to be zero, which requires the assumption that L s , λ ( x , y ) = 0 implies ρ λ ( x , y ) = 0 . The 1-point ELM relationship then simplifies to Equations (4) and (5) [1,2].
ρ λ ( x , y ) = m λ L s , λ ( x , y ) ,
m λ = ρ bright , λ L s , bright , λ ,
where ρ λ ( x , y ) is the ELM calculated reflectance, L s , λ ( x , y ) is the at-sensor radiance recorded from the scene, L s , bright , λ is the spatially averaged radiance of the bright panel extracted from the radiance imagery recorded by the sensor, ρ bright , λ is the measured reflectance of the bright panel, x and y denote the pixel coordinates and λ denotes the center wavelength of the spectral band.
For 1-point ELM, the assumption of zero path radiance implies that L s , λ ( x , y ) = 0 when observing a target with ρ λ ( x , y ) = 0 . Figure 2 shows 1-point and 2-point ELM relationships calculated with real data under clear conditions at an altitude of 90 m for a chosen wavelength of 555 nm. For 2-point ELM, the path radiance was non-zero and estimated to be 0.0008 W/m2-nm-sr. This causes 1-point ELM to overestimate the reflectance of weak reflectors by a maximum of 0.002 reflectance units and underestimate the reflectance of strong reflectors by a maximum of 0.004 reflectance units. Thus, the assumption should not have a substantial impact on ELM-estimated reflectance under clear conditions at typical sUAS altitudes.
The widespread use of ELM in remote sensing research is easily explained by its reliable performance and relatively low error [1,2]. However, it has many drawbacks, including the setup time needed to prepare on-site equipment, the requirement to re-image the calibration panels at multiple times during the collect and the decrease in accuracy during changing illumination conditions. These issues are undesirable as they ultimately reduce the time effectiveness and defer the furtherance in automation of the data collection process, which could be avoided by the development and research of the AARR approach.

2.3. At-Altitude Radiance Ratio (AARR)

AARR, a more recently proposed method for reflectance conversion [3], is the focus of this research. The derivation of the simplified AARR equation begins with the effective at-sensor radiance L s , λ for the reflective/VIS-NIR region (400–1000 nm) at Equation (6), in which all energy paths of thermal emission are negligible [15].
L s , λ = E TOA , λ τ , λ cos σ + E sky , λ τ , λ ρ d , λ π + L a , λ
where E TOA , λ is the exo-atmospheric solar irradiance, τ , λ is the transmission through the atmosphere to the target, σ is the solar zenith angle, E sky , λ is the hemispherical diffuse irradiance at the Earth’s surface, τ , λ is the path transmission from target to sensor, ρ d , λ is the target’s Lambertian reflectance and L a , λ is a combination of path radiance and adjacency effects.
Since sUAS-based remote sensing typically operates at low altitudes between 30 and 90 m, the path radiance will contribute negligibly to the total at-sensor radiance [3], as long as the wavelength dependent optical depth between the ground and the sensor is close enough to 0, which would not be the case in foggy or dusty conditions. Additionally, adjacency effects are negligible for scenes that are mostly horizontal without tall objects in the vicinity [16]. Reconsidering the previous assumption that the imaging platform is operating below altitudes of 90 m, it follows that τ , λ can be expected to be very close to unity. The AARR relationship, Equation (7), is formulated by applying these assumptions to Equation (6) and rearranging to solve for ρ d , λ
ρ d , λ = π L s , λ E TOA , λ τ , λ cos σ + E sky , λ
where the denominator of Equation (7) is simply an approximation of the downwelling irradiance at the Earth’s surface, which can be measured and exploited for reflectance calculations by the implementation of a downwelling irradiance spectrometer [3]. Since this sensor needs to capture hemispherical downwelling irradiance, a cosine corrector with a 180° FOV is attached. This measurement, denoted as E DIS , λ , simplifies Equation (7) to Equation (8).
ρ d , λ = π L s , λ E DIS , λ
In practice, AARR can be applied using data collected by a ground-based sensor [7]. However, this does not alleviate the inconveniences of the ELM method noted in Section 2.2, and furthermore a fixed-in-place, ground-based sensor cannot realistically be in the area being imaged at all times. Instead, the downwelling irradiance sensor can be mounted on the imaging platform, placing it directly above the target scene, so any changes in illumination conditions are captured in real time. In-scene reflectance panels would not be required, and would not have to be imaged throughout the flight, substantially reducing the level of effort required for initial data collection setup and subsequent data analysis.
To make this work, the E DIS , λ term in Equation (8) is assumed to be equivalent to the surface irradiance in the target scene. Although, this is not always the case; cloudy conditions may cast shadows over specific areas of the scene but not others, or on the downwelling irradiance sensor itself. Figure 3 illustrates these situations, but currently the AARR method assumes that irradiance variations on the ground are the same as at the sUAS. By extension, this assumption disregards the absorption and scattering in the two-way imaging path between the platform and the surface, building on the assumptions made in the derivation of the AARR equation. Thus, it is expected that measurement errors will increase with altitude. The increase of this error between 15 and 100 m of altitude was shown to be less than 0.01 absolute reflectance units for multispectral remote sensing [7], which is negligible when considering the reflectance variability of vegetation [5]. Nonetheless, the data used in this paper were collected at low and high altitudes to verify these findings for hyperspectral imaging.

2.4. Sensors

The Nano-Hyperspec and RIT DIS used in this research to collect at-sensor radiance and downwelling irradiance, respectively, were introduced in Section 1. They are integrated onto the MX2 sensor suite mounted on a DJI wind8 sUAS, which allows each sensor to capture data simultaneously. The MX2 sensor suite is a multimodal payload built at RIT, and includes Multispectral, Hyperspectral, RGB, SWIR, LWIR and Lidar sensors that can record data simultaneously. In order to properly analyze the performance afforded by AARR with this arrangement and support the use of 2-point ELM as a direct comparison, the Spectra Vista Corporation (SVC) HR-1024i Field Spectrometer is used to measure surface reflectance of various in-scene targets. This section outlines the specifications and calibration details of each of these three sensors.

2.4.1. Headwall Nano-Hyperspec

The Headwall Nano-Hyperspec, a push-broom hyperspectral sensor, was used to capture the scene radiance data for this research. The Nano is calibrated for radiance at Headwall. The camera is depicted in Figure 4 and its specifications are listed in Table 1. The F/2.5 fore-optic has a 12 mm focal length coupled with the 7.4 μ m pixel pitch results in an imaged FOV of 22.6°, meaning the imaging angle for pixels at the periphery of the detector array would be as much as 11.3° assuming the sensor is pointing perfectly nadir. Before a flight, the integration time of the sensor is set using a white reference panel. This panel is made of Spectralon®, a cintered polytetrafluoroethylene (PTFE) developed by Labsphere, Inc. in 1986. It has an almost uniform spectral reflectance of ~50% from 400–1500 nm and exhibits Lambertian properties [17]. A target with this particular reflectance is used since most of the targets of interest exhibit ~50% reflectance, so optimizing the integration time for these targets can help to mitigate saturation.

2.4.2. RIT Downwelling Irradiance Sensor

The RIT DIS, a new sUAS-mounted sensor system, was built to measure and record downwelling irradiance throughout a collection flight. It enables the application of the AARR method with any radiance-calibrated sensor that is responsive in the VIS-NIR range. It was first applied to multispectral imagery [7], and is pictured in Figure 5. The RIT DIS records spectral irradiance measurements once every second synced with an integrated GPS, allowing each capture to be accurately timestamped. The integration time of the spectrometer is optimized prior to recording any data, and is then optimized at the frequency and saturation level set by the user.
The RIT DIS has been lightly modified since its use in the previous multispectral study. The specifications of the main component, the Ocean Insight (formerly Ocean Optics) Flame-S-VIS-NIR-ES spectrometer, are listed in Table 2. An Ocean Insight CC-3-DA direct-attach cosine corrector is attached to the aperture of the spectrometer, providing a theoretical 180° FOV. However, the shape of the fore-optic may limit the actual FOV to approximately 168°, as calculated by measuring its geometry. The spectrometer was radiance calibrated using a Labsphere, Inc. 20-inch integrating sphere, which is not how these instruments are typically calibrated. A desirable advantage of this calibration method is that the sensor’s foreoptic does not need to be characterized as long as it remains unchanged when used for field measurements. Further, this method does not account for cosine fall off as the calibration is carried out using Lambertian illumination, which is useful if the illumination during data collection is uniform, such as on an overcast day. However, this type calibration can induce errors when directional point sources of light are present, such as the sun on a clear day. Additionally, since the cosine corrector is assumed to be Lambertian, radiance measurements can be converted to irradiance, and vice-versa, by applying a factor of π .
The RIT DIS is mounted to the top of the sUAS at a fixed angle of 4° aft of zenith, which offsets the common forward pitch of the platform during forward flight while collecting data, keeping the center of the cosine corrector’s FOV as close as to zenith as possible. This angle was chosen carefully by analyzing historical attitude data from this specific sUAS. It is important to note that the attitude of the platform can vary significantly during the collect since its stability is affected by a variety of flight conditions. Since the sensor is mounted at a fixed position, the sensor cannot account for these changes in platform attitude. The effects of this design on downwelling irradiance measurements were explored and are documented in Appendix A.

2.4.3. SVC HR-1024i Field Spectrometer

The HR-1024i, depicted in Figure 6, is a commonly used portable field spectrometer; its specifications are listed in Table 3. The spectral reflectance of various in-scene targets was measured by the HR-1024i before each data collection flight, in order to discern a baseline reflectance measurements for both the application of 2-point ELM and the comparison with each conversion method. Since this sensor takes a white reference panel measurement before measuring each target, it does not need to be calibrated for radiance to sample reflectance. However, the precision of these reflectance measurements must be quantified in order to adequately compare them with the reflectance estimates produced by ELM and AARR. Appendix B summarizes the precision analysis of the HR-1024i.

2.5. Data Collection Process

As expressed previously, data were collected over three days with varying illumination conditions in order to assess the robustness of each reflectance conversion method. During each day, two flights were completed; one at 30 m and another at 90 m of altitude. All data collection events were completed at the Tait Preserve in Penfield, NY (43°8 27.6 N, 77°30 21.6 W). A total of seven target panels were placed in the scene, approximately 3 m apart, to act as regions of interest (ROIs). The panels are made of plywood covered in colored felt, with one red, one blue, one green, and four shades of gray. The spectral reflectance of each of these ROIs was measured by the SVC HR-1024i at the beginning of each collect day. Figure 7 displays the arrangement of this scene.

2.6. Post Processing Pipeline

For this study, reflectance imagery needed to be generated using AARR and both 1-point and 2-point ELM. For AARR, the first step in the post collection processing pipeline is to build up a hypercube of downwelling irradiance measured by the RIT DIS for each radiance hypercube recorded by the Nano-Hyperspec. As seen in Section 2.4, the two instruments have different spectral channels and pixel dispersions, meaning the higher resolution spectrum of the downwelling spectrometer needs to first be interpolated to the spectral channels of the Nano-Hyperspec. However, without accounting for the differences in detector response characteristics before interpolation, artifacts can be created by acute spectral features present in the higher resolution data. A rudimentary analysis was required to transfer the spectral resolution of one instrument into the other.
Spectral emission lamps with samples of Argon (Ar) and Mercury-Neon (HgNe) were used to derive a Gaussian kernel approximation to the blurring inherent to the lower resolution of the Nano-Hyperspec. The spectral response curves of isolated spectral lines in the samples were averaged to determine a simple blur kernel that can be convolved with the downwelling spectrum, in an effort to diminish the effects of the acute spectral features caused by the spectral resolution differences between the two instruments. This kernel is a simple Gaussian fitted to the average spectral response curve, resulting in a full width at half maximum (FWHM) of ~4.5 nm; the effects of this blur are illustrated in Figure 8.
This analysis also identified significant errors in the wavelength calibration of the Nano-Hyperspec. To correct this error so that both instruments were in agreement, the same spectral emission lamps were also measured by the RIT DIS. These allowed a wavelength shift parameter to be determined from the wavelength errors of each instrument, which helped increase the accuracy of wavelength matching between them.
In practice, this wavelength shift parameter was applied to the upwelling channels, the blur kernel was convolved with the downwelling irradiance spectrum and then the interpolation of the upwelling radiance spectrum to the shifted channels followed. As mentioned, this is a rudimentary approach to this problem, but the derivation of a transfer function between the spectral response of each of the instruments would be the ultimate solution. This has been previously researched for reflectance measurements using the AARR approach when operating instruments with comparable spectral profiles [18], but needs to be explored for contrasting sensors as further discussed in Section 4.
Following interpolation, each line of the upwelling radiance hypercube is matched with the analogous downwelling irradiance spectrum using the timestamps provided by the internal GPS of each instrument, achieving a downwelling irradiance hypercube for each upwelling image. It should be noted that while the Headwall software does produce ortho-rectified imagery, this processing must be done using the raw data; the transfer function for ortho-rectification is not provided to the end-user, limiting the ability for each pixel to be accurately mapped to the downwelling spectrum that was recorded at the same time. AARR can then finally be performed using Equation (8), which is essentially a simple division between the upwelling and downwelling hypercubes, resulting in a hypercube image of the target scene in reflectance units.
For ELM, reflectance imagery is generated by Headwall’s software using 1-point ELM, so additional processing steps were only required for 2-point ELM. This task is initiated by extracting calibration panel data from one of the first Nano-Hyperspec radiance images. The lightest gray panel and the black panel were used as bright and dark targets, respectively. The radiance data for each panel are then averaged spatially, and the corresponding reflectance data measured by the SVC HR-1024i are interpolated to the wavelengths of the Nano-Hyperspec. This does not require a transfer function like the RIT DIS does, since the reflectance spectrum is smooth and slowly varying. Together, these are used to form the 2-point ELM relationship in Equations (1)–(3), which is formatted into a function that accepts upwelling radiance hypercubes. Each radiance hypercube recorded by the Nano-Hyperspec during the collect can then be entered into the ELM function, generating reflectance products.

2.7. Data Analysis

Prior to statistical analysis, the measured reflectance of each of the in-scene target panels must be extracted reflectance imagery generated by the methodology described in Section 2.6. A hyperspectral image annotation tool that allows the data from each reflectance conversion method to be extracted simultaneously was developed as part of this research, in an effort to reduce the level of effort required for this task. Once extracted, the distribution of the data for each panel across each conversion method is then compared to the reflectance measured on the ground by the SVC HR-1024i prior to the flight using a generalization of the t 2 statistic from the Student’s t-distribution to the multivariate case [19], beginning with Equation (9). This tests the null hypothesis H 0 : μ = μ 0 , where μ represents the actual mean of the population being sampled, which is the mean reflectance of the target generated by the conversion method, and μ 0 is the panel spectral reflectance measured on the ground by the SVC HR-1024i.
T 2 = n X ¯ μ 0 T S 1 X ¯ μ 0
where T 2 is the multivariate generalization of t 2 statistic, X ¯ is the mean spectral reflectance of the panel extracted from the reflectance imagery generated by the conversion method under comparison and S 1 is the covariance matrix of that data. T 2 is an appropriate performance indicator for this research as it measures how far the mean of the sampled spectral reflectance is from the reflectance measured by the field spectrometer, while taking into account the spectral correlations and variances among the samples. Equation (10) shows the proportional relationship between T 2 and an F-distribution with p and n p degrees of freedom, where p is the length of the reflectance vector and n is the number of samples.
T 2 ( n 1 ) p ( n p ) F p , n p
This test will reject the null hypothesis, H 0 , when Equation (11) is satisfied,
T 2 c 0 = ( n 1 ) p ( n p ) F p , n p ( α )
where α is a number between 0 and 1, corresponding to the upper 100 α percentile of the F-distribution. For the purposes of this study, a common selection of α = 0.95 was chosen. This choice effectively makes the associated p-value drop below 0.05 when T 2 c 0 , which indicates a statistically significant difference, hence the null hypothesis H 0 would be rejected.
Additionally, since the T 2 statistic is heavily weighted on the variance of the samples, the average root mean square error (RMSE) in reflectance units is calculated as well using Equation (12).
RMSE = i = 1 n X ¯ i μ 0 i 2 n

3. Results

In this section, the results are separated by each of the three data collection days, labelled by their corresponding sky conditions. Each section describes the conditions during the collect in further detail, indicating important data such as the data and time, solar zenith angle, and cloud types that were present in the sky. There was no precipitation present during any of the collects. The figures show the distributions of the sampled reflectance using each conversion method with separate figures for each in-scene panel, and indicate those distributions using a 2-standard deviation envelope. The three tables in each section present both the T 2 statistics and RMSEs; one covers all collected data for the day while the other two cover data subdivided by collection altitudes of 30 and 90 m relative to the ground. Red values indicate if the T 2 statistic rejects the null hypothesis. The collected data are analyzed in the region from 400 to 900 nm on account of substantial uncorrected non-linearity effects present in the RIT DIS downwelling irradiance data in the region above 900 nm, which will be addressed in future work. It is important to note that the ELM reflectance measurements are based on a relationship derived using the first radiance image of the scene in order to capture the variance caused by changes in illumination conditions during the collect.
As mentioned previously in Section 2.1 and Section 2.4.1, the FOV and attitude of the sensor play into the effective imaging angle for each recorded pixel. Figure 9 is a heat map of the effective imaging angle for pixels containing samples of target panels across all three data collects, where the average imaging angle was 1.41°. As expected, most samples were recorded at non-nadir imaging angles, however the majority of the samples were recorded at imaging angles within 5° of nadir.

3.1. Light Clouds

The environmental conditions for data collection were not ideal; the non-uniform dispersion of light cloud layers in the atmosphere are typically undesirable. These conditions are presented visually in Figure 10 and qualitatively in Table 4. Table 5 and Figure 11 and Figure 12 present the overall results for each method during this collect, which show that the null hypothesis is not rejected for all methods across all panels. RMSEs for AARR range from ±0.017 to ±0.051, RMSEs for 1-point ELM range from ±0.020 to ±0.064 and RMSEs for 2-point ELM range from ±0.016 and ±0.055 amongst the seven targets.
Table 6 and Table 7 break down the results at altitudes of 30 and 90 m, respectively, which again shows that all conversion methods passed the T 2 hypothesis test. The RMSEs observed by all three methods seemed to decrease with altitude for all targets except the medium gray panel, which actually increased for all three methods. The highest RMSEs were observed on the red and light gray panels, which have the highest reflectance amongst the group. The RMSEs for black panel, the panel with the lowest overall spectral reflectance, increased by approximately ten-fold across each method at the higher altitude.

3.2. Scattered Clouds

The data collected on this day represented atypical conditions for remote sensing as a variety of cloud layers were present, as depicted in Figure 13 and Table 8. These cloud layers were dispersed in inconsistent concentrations, which resulted in complex and ever-changing illumination levels. It must be noted that ground-reference reflectance measurements were taken under clear conditions beforehand, hence may impact the results presented in this section. Qualitative results are shown in Figure 14 and Figure 15, while quantitative results shown in Table 9, Table 10 and Table 11 show multiple cases where the null hypothesis is rejected; however, these cases are not always correlated with higher RMSEs.
Interestingly, all three methods seemed to struggle in measuring the reflectance of the red, blue and light gray panels, while they all observed an average RMSE of ±0.022 amongst the other four.

3.3. Overcast

Conditions during the final data collection for this paper presented mainly diffuse illumination on account of the uniformity of the overcast sky, presented in Figure 16 and Table 12. The plots in Figure 17 and Figure 18 show large agreement between predicted and ground-measured reflectance, yielding low variance and relatively high accuracy. The majority of the results reported on this day feature low RMSEs, despite some cases observing a rejection of the null hypothesis at higher altitude, seen by cross-referencing Table 13, Table 14 and Table 15.

4. Discussion

While the results of the T 2 tests and calculated RMSEs can be used as a relative indicator of the overall performance of AARR and ELM in each use case, it must be surmised that the absolute accuracy and precision of these methodologies is difficult to isolate and compare due to variations in atmospheric conditions and their affects on reflectance measurements used as ground references for statistical anaylsis. As discussed in Appendix B, this is inherent to all field measurements, but more can be done to provide better ground-reference reflectance data for calculation of these measurement errors. The variation of the BRDF of the felt-covered panels used in this study most likely contributes to the errors observed by reflectance conversion techniques, so a progression to the use of a variety of shades of Permaflect® or other panels with consistent BRDFs is suggested for following studies.
Examining the T 2 and RMSE values observed for each method, the performance of all methods show a decrease at higher altitude on average, however this decrease with altitude is more apparent with AARR, understandably by its definition. The decreased performance with altitude is less apparent on the overcast day, especially for ELM, which stays reasonably consistent. In fact, the results observed during overcast conditions for both AARR and ELM confute the common reservations among remote sensing practitioners that have lead to the avoidance of data collection under these conditions, which has also been brought up in previous studies [5]. Certainly, lower illumination levels can lead to lower signal-to-noise ratios (SNR) within a detector, however the results clearly show high precision in reflectance measurements and acceptable levels of error for many remote sensing applications, as the highest RMSE observed was only ±0.033. For AARR, the lower error on the overcast day can be attributed to the calibration methodology, as the uniform illumination conditions present matched those during calibration using the integrating sphere. Contrastingly, this resulted in higher errors during days with the sun exposed, resulting in a point source dependence as expected.
Further, the observed RMSEs for AARR were on par with ELM, and are oftentimes lower depending on the panel in question. For most cases, except for a select few for the red and light gray panels, the RMSE of AARR reflectance measurements are below ±0.10, with a large majority below ±0.050 and many below ±0.020. This is well within the reflectance variation of many materials commonly analyzed in remote sensing such as vegetation [5]. Although AARR performed similar to ELM overall, variations and inaccuracies in the recorded downwelling irradiance can cascade into the reflectance produced by AARR. This is almost analogous to how variations in illumination conditions affect reflectance estimated by ELM. However, unlike ELM there are a variety of corrections that can lead to the reduction of the variance observed in AARR, which will improve its precision.
As discussed in Appendix A, the zenith angle of the sensor can have a large impact on the downwelling irradiance measurement, especially under non-uniform conditions. This can be addressed by angular correction, which can be done in multiple ways. The least feasible option, due to weight restrictions and effect on flight characteristics of an sUAS, is to use a gimbal in an effort to keep the sensor at zenith at all times. Another approach is to first characterize the response of the cosine corrector as a function of zenith and azimuth angles, which would also help to account for the solar zenith and azimuth angles, and then use that response to derive a correction based on the attitude of the platform [20]. Further, a cosine corrector with a more uniform response across azimuth should be used or designed, which is particularly important when the sun is unconcealed and when non-uniform illumination is present. There are other approaches that have been researched previously to correct for off-zenith angles [21,22], however they use additional sensors which can add to the complexity and weight of the overall system.
The radiometric calibration of the spectrometer used in the RIT DIS can be improved, as the effects of non-linearity, stray light, and exposure time have been left largely uncorrected. Non-linearity, dark current and exposure time effects could be corrected through photon transfer curve characterization, and will have a significant impact on the accuracy of the detector. Changes in detector behaviour with temperature should be analyzed and corrected for, as it will also have underlying impacts on the radiometric calibration. Further, atmospheric corrections can be developed both physics-based approaches [13] and those based on modelling and simulation of AARR [3,6,23] can lead to lower observed errors.
Additionally, there are areas outside of downwelling measurement that could help improve the performance of AARR. The Nano-Hyperspec used in this study will be better calibrated for radiance, as there is a tremendous amount of ongoing work to characterize every aspect of the sensor, including flat-fielding and smile correction. As discussed in Section 2.6, the development of a transfer function between hyperspectral sensors with dissimilar response functions and an ortho-rectification technique for matching AARR downwelling irradiance to upwelling radiance are both vital to the progression of AARR.
In summary, the observed error introduced by the AARR method was shown to be on par with ELM and acceptable depending on the application requirements and natural variation in the reflectance of the targets of interest. The vastness of areas for improvement for the AARR technique is compelling for future research, which is important for sUAS-based remote sensing since it can substantially reduce the level of effort required for collection setup and subsequent data analysis, and provide a means for large-scale automation of remote sensing data collection in all flight conditions.

Author Contributions

Conceptualization, L.J.R.D. and C.S.; Data curation, L.J.R.D., D.N.C., T.D.B., M.G.R. and D.S.K.; Formal analysis, L.J.R.D., D.N.C., M.G.R. and C.S.; Investigation, L.J.R.D. and D.N.C.; Methodology, L.J.R.D., D.N.C., T.D.B., D.S.K. and C.S.; Project administration, D.S.K. and C.S.; Resources, T.D.B., D.S.K. and C.S.; Software, L.J.R.D. and D.S.K.; Supervision, D.S.K. and C.S.; Validation, L.J.R.D., D.N.C., T.D.B. and M.G.R.; Visualization, L.J.R.D. and D.N.C.; Writing—original draft, L.J.R.D.; Writing—review and editing, L.J.R.D., D.N.C., D.S.K. and C.S. All authors have read and agreed to the published version of the manuscript.

Funding

This research received no external funding.

Institutional Review Board Statement

Not applicable.

Informed Consent Statement

Not applicable.

Data Availability Statement

All relevant data can be requested by contacting corresponding authors.

Conflicts of Interest

The authors declare no conflict of interest.

Abbreviations

The following abbreviations are used in this manuscript:
AARRAt-Altitude Radiance Ratio
ArArgon
BRDFBidirectional Reflectance Distribution Function
CCelsius
DISDownwelling Irradiance Sensor
DJIDa-Jiang Innovations
ELMEmpirical Line Method
FOVField Of View
FWHMFull Width at Half Maximum
GPSGlobal Positioning System
HgNeMercury-Neon
LidarLight Detection and Ranging
LWIRLong Wave Infrared
PTFEPolytetrafluoroethylene
RGBRed Green Blue
RITRochester Institute of Technology
RMSERoot Mean Square Error
ROIRegion Of Interest
SNRSignal-to-Noise Ratio
SVCSpectra Vista Corporation
SWIRShort Wave Infrared
sUASSmall Unammned Aircraft System
UTCCoordinated Universal Time
VIS-NIRVisual-Near Infrared

Appendix A. Effects of Platform Attitude on RIT DIS Downwelling Measurements

The effects of platform angle on the RIT DIS downwelling irradiance measurements are important to the overall performance of the AARR method, so they were studied through experimentation. For this experiment, the RIT DIS and a digital angle finder were mounted onto a tripod using a 3D-printed mount, which allowed the zenith angle of the cosine corrector to be set. Downwelling irradiance measurements were taken at several zenith angle settings, which was performed in two different environments as shown in Figure A1.
Figure A1. (a) Setup in a sound stage at RIT MAGIC Spell Studios. (b) Outdoor setup. (c) RIT DIS and digital angle finder. (d) Cosine corrector flush with top of cylinder for indoor test.
Figure A1. (a) Setup in a sound stage at RIT MAGIC Spell Studios. (b) Outdoor setup. (c) RIT DIS and digital angle finder. (d) Cosine corrector flush with top of cylinder for indoor test.
Sensors 23 00320 g0a1
The first part of the experiment was executed in a sound stage at RIT MAGIC Spell Studios, which allowed for uniform illumination conditions in a controlled environment. The idea here was to mitigate the changes in energy reaching the sensor caused by atmospheric effects outdoors, so the zenith angle effects could be isolated as much as possible. Due to the uniformity of the surrounding environment, the effects that surface features below the horizon during a data collection flight could have on the downwelling sensor’s measurements were imitated by placing the tripod in a cylindrical tube and adjusting the height so the cosine corrector was flush with the top of it, as shown in Figure A1. The inside of the tube was painted black to emphasize these affects, which effectively made this experiment represent the worst case scenario for accurate downwelling measurements. This setup meant that the cosine corrector would only observe the dark sides of the tube when not at zenith due to its near-hemispherical FOV, so increasing zenith angle would theoretically decrease the irradiance measured by the sensor. This notion is verified by the collected data, presented in Figure A2. The irradiance recorded above 800 nm should be disregarded, since in this region the CCD component of the spectrometer in the RIT DIS suffers from non-linear dark current creep at the long integration times required to produce a strong enough signal in this environment.
Figure A2. (a) Spectral radiance recorded during the indoor test at specified zenith angles. (b) Zoomed in area of the same plot as (a), showcasing the similarity in downwelling measurements at acute zenith angles.
Figure A2. (a) Spectral radiance recorded during the indoor test at specified zenith angles. (b) Zoomed in area of the same plot as (a), showcasing the similarity in downwelling measurements at acute zenith angles.
Sensors 23 00320 g0a2
The second part of the experiment was enacted outdoors during a clear day. The tube was not required for this part since the horizon is evidently present in this setting. The solar zenith angle was 26.0°. Due to the point source effects the sun has on the surface of the Earth, the zenith angle of the sensor was varied at azimuth angles both parallel and perpendicular to the solar azimuth angle in an effort to cover both cases. The results are shown in Figure A3.
Figure A3. Spectral radiance recorded during the outdoor tests at specified zenith angles: (a) Azimuth angle equal to the solar azimuth angle. (b) Azimuth angle 180° from the solar azimuth angle. (c) Azimuth angle 90° from the solar azimuth angle.
Figure A3. Spectral radiance recorded during the outdoor tests at specified zenith angles: (a) Azimuth angle equal to the solar azimuth angle. (b) Azimuth angle 180° from the solar azimuth angle. (c) Azimuth angle 90° from the solar azimuth angle.
Sensors 23 00320 g0a3
The results of the indoor experiment show that under near uniform illumination, the spectrum observed by the RIT DIS remains almost identical for zenith angles of 5° or less. It may follow that the zenith angle of the sensor has a minimal impact on the amplitude of the downwelling irradiance recorded by the RIT DIS when uniform illumination conditions, such as those observed during overcast. The results of the outdoor experiment show that the difference between the azimuth of the sun and the azimuth angle in the direction of the zenith angle tilt of the platform has a significant impact on the downwelling irradiance recorded by the RIT DIS. The largest influence of this effect seemed to be when the azimuth angle of the sensor was opposite the solar azimuth angle, with the measured signal dropping off more quickly, while the smallest influence was seen at a sensor azimuth angle perpendicular to the solar azimuth angle. As expected, the signal rises when angled toward the sun and falls when angled away from the sun. Considering all of the presented results, the zenith angle of the sensor has a considerable impact on the downwelling irradiance measured by the RIT DIS in clear sky conditions, since the sun acts as a point source with a high intensity compared to the diffuse light visible in the rest of the hemisphere. Since the zenith angle of the sUAS rarely goes beyond 5° during a collect flight, these effects are limited. In this paper there is no correction applied to the downwelling irradiance measurements for the zenith angle of the sensor, however, methodology for this correction should be investigated, harmonious to previously researched methods [21,22].

Appendix B. SVC HR-1024i Reflectance Measurement Precision Estimation

This experiment, as introduced initially in Section 2.4.3, addresses the characterization of the precision of reflectance measurements taken by the SVC HR-1024i. This is important to understand especially when it is being used to record ground-reference reflectance measurements to compare the performance of remote sensing-based reflectance conversion methods. Fundamentally, the precision of the instrument gives an idea of the repeatability of a measurement of the same sample will be, if environmental conditions remain constant. However, the SVC must be used take measurements before a collection flight or else the operator would be in the middle of the target scene during the collect, which is inherently problematic. Thus, the precision of the SVC was measured both in a lab setting and in an outdoor setting under different atmospheric conditions. The former isolates the precision of the instrument, while the latter incorporates the affects that are seen during field measurements.
In the lab setting, the SVC was placed facing the port of the integrating sphere. The SVC took measurements while the illumination level in the sphere was held constant, which was confirmed by the simultaneous measurements taken from both the internal spectrometer and the silicon detector that measures the current of the flux per unit area housed in the sphere. Since precision is independent of radiance calibration and only dependent on the response of the detector, each measurement can be normalized by dividing by the sample average, resulting in precision reported as a percentage, as shown in Figure A4. The SVC demonstrates high precision in this test, but it happens to be least precise at the ends of the selected spectral range. The variance in the blue end of the spectrum can be explained by the low signal of the illumination in the sphere in that region, leading to high-sensitivity of read-noise. The variance in the red end of the spectrum can be explained by a falloff of quantum efficiency in that region. This is typical for detector designed to be responsive to energy in the reflective region, which the SVC has on-board as one of its three spectrometers.
Figure A4. Mean-normalized spectral response distribution of SVC measurements taken in the lab experiment, with a 2-standard deviation envelope designated by the dashed lines.
Figure A4. Mean-normalized spectral response distribution of SVC measurements taken in the lab experiment, with a 2-standard deviation envelope designated by the dashed lines.
Sensors 23 00320 g0a4
For the outdoor setting, the SVC was used to measure the reflectance of two panels placed on the ground after taking a white reference measurement. These panels are coated in different shades of Permaflect®. This is another product manufactured by Labsphere, Inc., and like Spectralon®, exhibits near-Lambertian properties and has a near-uniform spectral response in the reflective region. Unlike Spectralon®, each shade of Permaflect® varies in reflectance, and is instead a spray on coating. The two panels used are 5 and 50 percent reflectors. The this experiment was carried out under several weather conditions including clear skies, scattered clouds, and overcast. The white reference panel was measured using the SVC before recording multiple samples of a given target panel. Figure A5 shows the mean-normalized spectral response distributions from the data measured during these tests. The precision of the SVC seems to decrease with the amplitude of the reflectance of a given target. This might be less related to the instrument and more related to shot-noise statistics, which would explain why a brighter target sees a larger variance in the recorded signal.
Figure A5. Mean-normalized spectral response distribution of SVC measurements taken in the field, with a 2-standard deviation envelope designated by the dashed lines: (a) Comparison between the distributions for each panel. (b) Comparison between the distributions under each weather condition.
Figure A5. Mean-normalized spectral response distribution of SVC measurements taken in the field, with a 2-standard deviation envelope designated by the dashed lines: (a) Comparison between the distributions for each panel. (b) Comparison between the distributions under each weather condition.
Sensors 23 00320 g0a5
Since SVC-measured reflectance is used as a ground reference for comparison with remote sensing-based reflectance measurements in this paper, the precision of the SVC measurements in the outdoor setting corresponding to the environmental conditions present during their collection is assumed since it incorporates the fluctuation of these measurements seen the field. To summarize these findings, the SVC is a precise detector, but the widely practiced method in which it is used to take ground-reference reflectance measurements for remote sensing research impacts its effective accuracy; changing illumination and atmospheric conditions between the measurements of the white reference panel and targets of interest are presumably responsible for these innacuracies. Additionally, the BRDF of the Spectralon® panel used as a white reference can cause issues when assuming it is always a 100% reflector. Thus, the precision as measured in the field tests is more analogous to the main effort in this paper.

References

  1. Smith, G.M.; Milton, E.J. The use of the empirical line method to calibrate remotely sensed data to reflectance. Int. J. Remote Sens. 1999, 20, 2653–2662. [Google Scholar] [CrossRef]
  2. Baugh, W.; Groeneveld, D. Empirical proof of the empirical line. Int. J. Remote Sens. 2008, 29, 665–672. [Google Scholar] [CrossRef]
  3. Mamaghani, B.G.; Sasaki, G.V.; Connal, R.J.; Kha, K.; Knappen, J.S.; Hartzell, R.A.; Marcellus, E.D.; Bauch, T.D.; Raqueño, N.G.; Salvaggio, C. An initial exploration of vicarious and in-scene calibration techniques for small unmanned aircraft systems. In Proceedings of the Autonomous Air and Ground Sensing Systems for Agricultural Optimization and Phenotyping III; Thomasson, J.A., McKee, M., Moorhead, R.J., Eds.; International Society for Optics and Photonics, SPIE: Bellingham, WA, USA, 2018; Volume 10664. [Google Scholar] [CrossRef]
  4. Mamaghani, B. An Analysis of the Radiometric Quality of Small Unmanned Aircraft System Imagery. Ph.D. Thesis, Rochester Institute of Technology, Rochester, NY, USA, 2019. [Google Scholar]
  5. Mamaghani, B.; Saunders, M.G.; Salvaggio, C. Inherent Reflectance Variability of Vegetation. Agriculture 2019, 9, 246. [Google Scholar] [CrossRef]
  6. Mamaghani, B.; Salvaggio, C. Comparative study of panel and panelless-based reflectance conversion techniques for agricultural remote sensing. Am. J. Agric. Sci. 2019, 6, 40–58. [Google Scholar] [CrossRef]
  7. DeCoffe, L.J.R.; Conran, D.N.; Connal, R.J.; Bauch, T.D.; Raqueño, N.G.; Salvaggio, C. Error characterization of the at-altitude radiance ratio method for reflectance conversion of remote sensing data. In Proceedings of the Autonomous Air and Ground Sensing Systems for Agricultural Optimization and Phenotyping VII; Thomasson, J.A., Torres-Rua, A.F., Eds.; International Society for Optics and Photonics, SPIE: Bellingham, WA, USA, 2022; Volume 12114. [Google Scholar] [CrossRef]
  8. Burkart, A.; Cogliati, S.; Schickling, A.; Rascher, U. A Novel UAV-Based Ultra-Light Weight Spectrometer for Field Spectroscopy. IEEE Sens. J. 2014, 14, 62–67. [Google Scholar] [CrossRef]
  9. Suomalainen, J.; Oliveira, R.A.; Hakala, T.; Koivumäki, N.; Markelin, L.; Näsi, R.; Honkavaara, E. Direct reflectance transformation methodology for drone-based hyperspectral imaging. Remote Sens. Environ. 2021, 266, 112691. [Google Scholar] [CrossRef]
  10. Shell, J.R. Bidirectional Reflectance: An Overview with Remote Sensing Applications & Measurement. 2004. Available online: https://web.gps.caltech.edu/~vijay/Papers/BRDF/shell-04.pdf (accessed on 16 November 2022).
  11. Harms, J. The Design and Implementation of GRIT-T: RIT’s Next-generation Field-Portable Goniometer System. Ph.D. Thesis, Rochester Institute of Technology, Rochester, NY, USA, 2016. [Google Scholar]
  12. Burkhart, J.; Kylling, A.; Schaaf, C.; Wang, Z.; Bogren, W.; Storvold, R.; Solbø, S.; Pedersen, C.; Gerland, S. Unmanned Aerial System nadir reflectance and MODIS Nadir BRDF-Adjusted surface Reflectances intercompared over Greenland. Cryosphere 2017, 11, 1575–1589. [Google Scholar] [CrossRef]
  13. Ientilucci, E.J.; Adler-Golden, S. Atmospheric Compensation of Hyperspectral Data: An Overview and Review of In-Scene and Physics-Based Approaches. IEEE Geosci. Remote Sens. Mag. 2019, 7, 31–50. [Google Scholar] [CrossRef]
  14. Ewald, F.; Kölling, T.; Baumgartner, A.; Zinner, T.; Mayer, B. Design and characterization of specMACS, a multipurpose hyperspectral cloud and sky imager. Atmos. Meas. Tech. 2016, 9, 2015–2042. [Google Scholar] [CrossRef]
  15. Eismann, M. Hyperspectral Remote Sensing; SPIE: Bellingham, WA, USA, 2012; pp. 1–726. [Google Scholar] [CrossRef]
  16. Schott, J. Remote Sensing: The Image Chain Approach; Oxford Series in Optical & Imaging Sciences; Oxford University Press: Oxford, UK, 1997. [Google Scholar]
  17. Flasse, S.P.; Verstraete, M.M.; Pinty, B.; Bruegge, C.J. Modeling Spectralon’s bidirectional reflectance for in-flight calibration of Earth-orbiting sensors. In Proceedings of the Recent Advances in Sensors, Radiometric Calibration, and Processing of Remotely Sensed Data, Orlando, FL, USA, 14–16 April 1993; Schowengerdt, R.A., Ed.; International Society for Optics and Photonics, SPIE: Bellingham, WA, USA, 1993; Volume 1938, pp. 100–108. [Google Scholar] [CrossRef]
  18. Bachmann, C.M.; Montes, M.J.; Parrish, C.E.; Fusina, R.A.; Nichols, C.R.; Li, R.R.; Hallenborg, E.; Jones, C.A.; Lee, K.; Sellars, J.; et al. A dual-spectrometer approach to reflectance measurements under sub-optimal sky conditions. Opt. Express 2012, 20, 8959–8973. [Google Scholar] [CrossRef] [PubMed]
  19. Bajorski, P. Statistics for Imaging, Optics, and Photonics; Wiley Series in Probability and Statistics; Wiley: Hoboken, NJ, USA, 2011. [Google Scholar]
  20. Bendig, J.; Gautam, D.; Malenovský, Z.; Lucieer, A. Influence of Cosine Corrector and Uas Platform Dynamics on Airborne Spectral Irradiance Measurements. In Proceedings of the IGARSS IEEE International Geoscience and Remote Sensing Symposium, Valencia, Spain, 22–27 July 2018; pp. 8822–8825. [Google Scholar] [CrossRef]
  21. Long, C.; Bucholtz, A.; Jonsson, H.; Schmid, B.; Vogelmann, A.; Wood, J. A Method of Correcting for Tilt from Horizontal in Downwelling Shortwave Irradiance Measurements on Moving Platforms. Open Atmos. Sci. J. 2010, 4, 78–87. [Google Scholar] [CrossRef]
  22. Suomalainen, J.; Hakala, T.; Alves de Oliveira, R.; Markelin, L.; Viljanen, N.; Näsi, R.; Honkavaara, E. A Novel Tilt Correction Technique for Irradiance Sensors and Spectrometers On-Board Unmanned Aerial Vehicles. Remote Sens. 2018, 10, 2068. [Google Scholar] [CrossRef]
  23. Gautam, D.; Lucieer, A.; Bendig, J.; Malenovský, Z. Footprint Determination of a Spectroradiometer Mounted on an Unmanned Aircraft System. IEEE Trans. Geosci. Remote Sens. 2020, 58, 3085–3096. [Google Scholar] [CrossRef]
Figure 1. Arbitrary examples of the ELM relationship for a given spectral channel: (a) 1-point ELM. (b) 2-point ELM.
Figure 1. Arbitrary examples of the ELM relationship for a given spectral channel: (a) 1-point ELM. (b) 2-point ELM.
Sensors 23 00320 g001
Figure 2. ELM relationships calculated for a data collection under clear conditions for a chosen wavelength of 555 nm: (a) ELM relationships from 0 to 1 reflectance units. (b) Zoomed plot from (a) highlighting path radiance.
Figure 2. ELM relationships calculated for a data collection under clear conditions for a chosen wavelength of 555 nm: (a) ELM relationships from 0 to 1 reflectance units. (b) Zoomed plot from (a) highlighting path radiance.
Sensors 23 00320 g002
Figure 3. Diagrams illustrating situations where the irradiance on the ground would be different than at the sUAS: (a) Cloud casting a shadow on a target in the scene, but not on the sUAS. (b) Cloud casting a shadow on the sUAS, but not on the target in the scene.
Figure 3. Diagrams illustrating situations where the irradiance on the ground would be different than at the sUAS: (a) Cloud casting a shadow on a target in the scene, but not on the sUAS. (b) Cloud casting a shadow on the sUAS, but not on the target in the scene.
Sensors 23 00320 g003
Figure 4. Headwall Nano-Hyperspec mounted on the MX2 sensor suite.
Figure 4. Headwall Nano-Hyperspec mounted on the MX2 sensor suite.
Sensors 23 00320 g004
Figure 5. RIT DIS prototype, version 2, up-close and mounted on sUAS.
Figure 5. RIT DIS prototype, version 2, up-close and mounted on sUAS.
Sensors 23 00320 g005
Figure 6. SVC HR-1024i field spectrometer.
Figure 6. SVC HR-1024i field spectrometer.
Sensors 23 00320 g006
Figure 7. RGB image from sUAS of the target scene at Tait Preserve, depicting the organization of the scene for every data collect. The felt covered reference panels (red, green, blue, and 4 shades of gray) are located in the center of the scene.
Figure 7. RGB image from sUAS of the target scene at Tait Preserve, depicting the organization of the scene for every data collect. The felt covered reference panels (red, green, blue, and 4 shades of gray) are located in the center of the scene.
Sensors 23 00320 g007
Figure 8. Effects of convolving the downwelling measurement with the blurring kernel.
Figure 8. Effects of convolving the downwelling measurement with the blurring kernel.
Sensors 23 00320 g008
Figure 9. Number of target panel samples at various imaging angles across the three data collects in this study. The bins are 0.5° wide, and 0° represents nadir.
Figure 9. Number of target panel samples at various imaging angles across the three data collects in this study. The bins are 0.5° wide, and 0° represents nadir.
Sensors 23 00320 g009
Figure 10. Photos taken at the data collection site on 11 May 2022 which illustrate the observed lighting and weather conditions.
Figure 10. Photos taken at the data collection site on 11 May 2022 which illustrate the observed lighting and weather conditions.
Sensors 23 00320 g010
Figure 11. Distributions of reflectance measurements obtained, under light cloud conditions, using each conversion method for the: (a) Red panel. (b) Green panel. (c) Blue panel. The dashed lines designate a 2-standard deviation envelope.
Figure 11. Distributions of reflectance measurements obtained, under light cloud conditions, using each conversion method for the: (a) Red panel. (b) Green panel. (c) Blue panel. The dashed lines designate a 2-standard deviation envelope.
Sensors 23 00320 g011
Figure 12. Distributions of reflectance measurements obtained, under light cloud conditions, using each conversion method for the: (a) Light gray panel. (b) Medium gray panel. (c) Dark gray panel. (d) Black panel. The dashed lines designate a 2-standard deviation envelope.
Figure 12. Distributions of reflectance measurements obtained, under light cloud conditions, using each conversion method for the: (a) Light gray panel. (b) Medium gray panel. (c) Dark gray panel. (d) Black panel. The dashed lines designate a 2-standard deviation envelope.
Sensors 23 00320 g012
Figure 13. Photos taken at the data collection site on 16 August 2022 which illustrate the observed lighting and weather conditions.
Figure 13. Photos taken at the data collection site on 16 August 2022 which illustrate the observed lighting and weather conditions.
Sensors 23 00320 g013
Figure 14. Distributions of reflectance measurements obtained, under scattered cloud conditions, using each conversion method for the: (a) Red panel. (b) Green panel. (c) Blue panel. The dashed lines designate a 2-standard deviation envelope.
Figure 14. Distributions of reflectance measurements obtained, under scattered cloud conditions, using each conversion method for the: (a) Red panel. (b) Green panel. (c) Blue panel. The dashed lines designate a 2-standard deviation envelope.
Sensors 23 00320 g014
Figure 15. Distributions of reflectance measurements obtained, under scattered cloud conditions, using each conversion method for the: (a) Light gray panel. (b) Medium gray panel. (c) Dark gray panel. (d) Black panel. The dashed lines designate a 2-standard deviation envelope.
Figure 15. Distributions of reflectance measurements obtained, under scattered cloud conditions, using each conversion method for the: (a) Light gray panel. (b) Medium gray panel. (c) Dark gray panel. (d) Black panel. The dashed lines designate a 2-standard deviation envelope.
Sensors 23 00320 g015
Figure 16. Photos taken at the data collection site on 12 October 2022 which illustrate the observed lighting and weather conditions.
Figure 16. Photos taken at the data collection site on 12 October 2022 which illustrate the observed lighting and weather conditions.
Sensors 23 00320 g016
Figure 17. Distributions of reflectance measurements obtained, under overcast conditions, using each conversion method for the: (a) Red panel. (b) Green panel. (c) Blue panel. The dashed lines designate a 2-standard deviation envelope.
Figure 17. Distributions of reflectance measurements obtained, under overcast conditions, using each conversion method for the: (a) Red panel. (b) Green panel. (c) Blue panel. The dashed lines designate a 2-standard deviation envelope.
Sensors 23 00320 g017
Figure 18. Distributions of reflectance measurements obtained, under scattered cloud conditions, using each conversion method for the: (a) Light gray panel. (b) Medium gray panel. (c) Dark gray panel. (d) Black panel. The dashed lines designate a 2-standard deviation envelope.
Figure 18. Distributions of reflectance measurements obtained, under scattered cloud conditions, using each conversion method for the: (a) Light gray panel. (b) Medium gray panel. (c) Dark gray panel. (d) Black panel. The dashed lines designate a 2-standard deviation envelope.
Sensors 23 00320 g018
Table 1. Relevant specifications of the Headwall Nano-Hyperspec.
Table 1. Relevant specifications of the Headwall Nano-Hyperspec.
Wavelength RangeSpatial BandsSpectral BandsPixel Dispersion
400–1000 nm6402712.2 nm/pixel
Table 2. Relevant specifications of the Ocean Insight Flame-S-VIS-NIR-ES spectrometer integrated into the RIT DIS.
Table 2. Relevant specifications of the Ocean Insight Flame-S-VIS-NIR-ES spectrometer integrated into the RIT DIS.
Wavelength RangeSpectral BandsPixel Dispersion
350–1000 nm20270.38 nm/pixel
Table 3. Relevant specifications of the SVC HR-1024i field spectrometer.
Table 3. Relevant specifications of the SVC HR-1024i field spectrometer.
Wavelength RangeSpectral BandsPixel Dispersion
350–2500 nm10242.1 nm/pixel 1
1 Estimated average pixel dispersion; the HR-1024i utilizes 3 separate spectrometers of dissimilar spectral properties.
Table 4. Metadata for the first day of data collection, where light cloud conditions were observed.
Table 4. Metadata for the first day of data collection, where light cloud conditions were observed.
DateTimeCloud Types
11 May 202216:30 UTCCirrostratus, Cirrus
Solar ZenithTemperatureWind Speed, Direction
26.3°24.5 °C1.34 m/s, NE
Table 5. T 2 statistic and RMSE for each conversion method’s reflectance estimates of each target panel reflectance compared to the ground-measured reflectance, as measured during the collect on 11 May 2022. c 0 is listed for each panel based on Equation (11).
Table 5. T 2 statistic and RMSE for each conversion method’s reflectance estimates of each target panel reflectance compared to the ground-measured reflectance, as measured during the collect on 11 May 2022. c 0 is listed for each panel based on Equation (11).
PanelRedGreenBlueLight GrayMedium GrayDark GrayBlack
AARR80.66829.961131.212178.41038.63422.23413.664
±0.051±0.018±0.027±0.045±0.040±0.017±0.021
1-Point ELM25.31531.29743.4935.22713.85717.96313.798
±0.064±0.022±0.036±0.056±0.045±0.020±0.023
2-Point ELM23.9377.6682.7201.0572.7204.6031.415
±0.055±0.018±0.026±0.036±0.036±0.016±0.020
c 0 270.659268.912270.547273.831268.072271.595273.952
Table 6. T 2 statistic and RMSE for each conversion method’s reflectance estimates of each target panel reflectance compared to the ground-measured reflectance, as measured at an altitude of 30 m during the collect on 11 May 2022. c 0 is listed for each panel based on Equation (11).
Table 6. T 2 statistic and RMSE for each conversion method’s reflectance estimates of each target panel reflectance compared to the ground-measured reflectance, as measured at an altitude of 30 m during the collect on 11 May 2022. c 0 is listed for each panel based on Equation (11).
PanelRedGreenBlueLight GrayMedium GrayDark GrayBlack
AARR145.74139.419165.891197.45943.24727.17236.777
±0.021±0.013±0.019±0.021±0.045±0.014±0.005
1-Point ELM33.50651.67858.36731.37714.91817.96339.492
±0.037±0.016±0.031±0.047±0.052±0.015±0.004
2-Point ELM50.6639.2183.6701.7542.8808.5042.012
±0.022±0.013±0.017±0.012±0.042±0.012±0.002
c 0 277.107274.309274.306283.557270.029278.637285.314
Table 7. T 2 statistic and RMSE for each conversion method’s reflectance estimates of each target panel reflectance compared to the ground-measured reflectance, as measured at an altitude of 90 m during the collect on 11 May 2022. c 0 is listed for each panel based on Equation (11).
Table 7. T 2 statistic and RMSE for each conversion method’s reflectance estimates of each target panel reflectance compared to the ground-measured reflectance, as measured at an altitude of 90 m during the collect on 11 May 2022. c 0 is listed for each panel based on Equation (11).
PanelRedGreenBlueLight GrayMedium GrayDark GrayBlack
AARR77.28027.086131.300254.69144.80922.53012.057
±0.108±0.026±0.052±0.082±0.017±0.023±0.044
1-Point ELM26.42925.20140.2535.99918.99318.78812.704
±0.113±0.032±0.054±0.069±0.017±0.029±0.050
2-Point ELM27.97211.29633.3086.3095.5684.5373.097
±0.114±0.027±0.053±0.072±0.012±0.023±0.044
c 0 292.049286.305308.026298.709310.099298.106295.524
Table 8. Metadata for the second day of data collection, where scattered cloud conditions were observed.
Table 8. Metadata for the second day of data collection, where scattered cloud conditions were observed.
DateTimeCloud Types
16 August 202215:00 UTCAltocumulus, Cirrocumulus, Cirrostratus, Cirrus, Cumulus, Stratocumulus
Solar ZenithTemperatureWind Speed, Direction
41.2°24.0 °C2.24 m/s, N
Table 9. T 2 statistic and RMSE for each conversion method’s reflectance estimates of each target panel reflectance compared to the ground-measured reflectance, as measured during the collect on 16 August 2022. c 0 is listed for each panel based on Equation (11). Values in red indicate significant differences exist.
Table 9. T 2 statistic and RMSE for each conversion method’s reflectance estimates of each target panel reflectance compared to the ground-measured reflectance, as measured during the collect on 16 August 2022. c 0 is listed for each panel based on Equation (11). Values in red indicate significant differences exist.
PanelRedGreenBlueLight GrayMedium GrayDark GrayBlack
AARR254.78730.3832671.121555.175141.02544.03819.877
±0.114±0.023±0.045±0.085±0.015±0.021±0.025
1-Point ELM145.11629.4222869.8075.24917.89014.42312.469
±0.116±0.025±0.049±0.061±0.013±0.021±0.028
2-Point ELM463.50214.0653748.228450.28662.98911.3661.586
±0.130±0.024±0.059±0.095±0.018±0.021±0.026
c 0 266.252264.682268.414268.154271.207266.262265.791
Table 10. T 2 statistic and RMSE for each conversion method’s reflectance estimates of each target panel reflectance compared to the ground-measured reflectance, as measured at an altitude of 30 m during the collect on 16 August 2022. c 0 is listed for each panel based on Equation (11). Values in red indicate significant differences exist.
Table 10. T 2 statistic and RMSE for each conversion method’s reflectance estimates of each target panel reflectance compared to the ground-measured reflectance, as measured at an altitude of 30 m during the collect on 16 August 2022. c 0 is listed for each panel based on Equation (11). Values in red indicate significant differences exist.
PanelRedGreenBlueLight GrayMedium GrayDark GrayBlack
AARR246.72730.6152028.649488.046127.48044.01018.823
±0.115±0.023±0.044±0.078±0.016±0.021±0.022
1-Point ELM121.05029.9743298.0775.66918.93114.18513.721
±0.113±0.025±0.048±0.053±0.012±0.020±0.023
2-Point ELM379.17517.3573457.804434.68372.34712.1351.163
±0.129±0.024±0.059±0.091±0.018±0.021±0.021
c 0 266.727265.401269.336269.225272.589266.576266.457
Table 11. T 2 statistic and RMSE for each conversion method’s reflectance estimates of each target panel reflectance compared to the ground-measured reflectance, as measured at an altitude of 90 m during the collect on 16 August 2022. c 0 is listed for each panel based on Equation (11). Values in red indicate significant differences exist.
Table 11. T 2 statistic and RMSE for each conversion method’s reflectance estimates of each target panel reflectance compared to the ground-measured reflectance, as measured at an altitude of 90 m during the collect on 16 August 2022. c 0 is listed for each panel based on Equation (11). Values in red indicate significant differences exist.
PanelRedGreenBlueLight GrayMedium GrayDark GrayBlack
AARR403.25742.4012746.868565.288222.323106.62620.178
±0.101±0.018±0.058±0.145±0.011±0.022±0.055
1-Point ELM207.48538.6742568.5698.91233.38541.24917.305
±0.166±0.027±0.070±0.128±0.024±0.029±0.073
2-Point ELM170.66116.5172441.3724.09810.4128.4712.153
±0.164±0.025±0.066±0.128±0.022±0.027±0.070
c 0 398.209302.119389.132358.103429.915533.971333.786
Table 12. Metadata for the third day of data collection, where overcast conditions were observed.
Table 12. Metadata for the third day of data collection, where overcast conditions were observed.
DateTimeCloud Types
12 October 202219:00 UTCAltostratus, Cirrostratus, Stratus
Solar ZenithTemperatureWind Speed, Direction
58.0°21.1 °C5.81 m/s, S
Table 13. T 2 statistic and RMSE for each conversion method’s reflectance estimates of each target panel reflectance compared to the ground-measured reflectance, as measured during the collect on 12 October 2022. c 0 is listed for each panel based on Equation (11). Values in red indicate significant differences exist.
Table 13. T 2 statistic and RMSE for each conversion method’s reflectance estimates of each target panel reflectance compared to the ground-measured reflectance, as measured during the collect on 12 October 2022. c 0 is listed for each panel based on Equation (11). Values in red indicate significant differences exist.
PanelRedGreenBlueLight GrayMedium GrayDark GrayBlack
AARR113.23133.967253.465271.712112.79034.32610.768
±0.032±0.003±0.014±0.028±0.005±0.004±0.003
1-Point ELM45.753148.448349.451236.44169.75371.46790.717
±0.028±0.005±0.016±0.009±0.007±0.005±0.003
2-Point ELM25.95174.243204.540229.7834.77121.3882.668
±0.030±0.004±0.015±0.007±0.006±0.004±0.002
c 0 270.581268.140266.399276.028290.033274.175265.797
Table 14. T 2 statistic and RMSE for each conversion method’s reflectance estimates of each target panel reflectance compared to the ground-measured reflectance, as measured at an altitude of 30 m during the collect on 12 October 2022. c 0 is listed for each panel based on Equation (11).
Table 14. T 2 statistic and RMSE for each conversion method’s reflectance estimates of each target panel reflectance compared to the ground-measured reflectance, as measured at an altitude of 30 m during the collect on 12 October 2022. c 0 is listed for each panel based on Equation (11).
PanelRedGreenBlueLight GrayMedium GrayDark GrayBlack
AARR63.65527.970101.233217.64871.21331.8669.034
±0.023±0.003±0.010±0.015±0.004±0.003±0.003
1-Point ELM46.44329.71665.261240.24086.57018.93011.682
±0.029±0.004±0.010±0.010±0.009±0.002±0.002
2-Point ELM23.59116.88135.973221.94625.5294.1112.182
±0.032±0.005±0.006±0.008±0.006±0.004±0.003
c 0 271.619270.012266.753279.797296.328278.138265.990
Table 15. T 2 statistic and RMSE for each conversion method’s reflectance estimates of each target panel reflectance compared to the ground-measured reflectance, as measured at an altitude of 90 m during the collect on 12 October 2022. c 0 is listed for each panel based on Equation (11). Values in red indicate significant differences exist.
Table 15. T 2 statistic and RMSE for each conversion method’s reflectance estimates of each target panel reflectance compared to the ground-measured reflectance, as measured at an altitude of 90 m during the collect on 12 October 2022. c 0 is listed for each panel based on Equation (11). Values in red indicate significant differences exist.
PanelRedGreenBlueLight GrayMedium GrayDark GrayBlack
AARR142.65554.766706.389569.483397.38958.16769.198
±0.033±0.006±0.020±0.027±0.008±0.005±0.004
1-Point ELM172.697149.577736.312562.413170.11552.00462.606
±0.025±0.004±0.018±0.011±0.012±0.004±0.001
2-Point ELM142.996140.918239.155602.44361.40614.556165.314
±0.028±0.007±0.017±0.015±0.005±0.002±0.001
c 0 479.649313.247496.083385.026761.488347.089866.265
Disclaimer/Publisher’s Note: The statements, opinions and data contained in all publications are solely those of the individual author(s) and contributor(s) and not of MDPI and/or the editor(s). MDPI and/or the editor(s) disclaim responsibility for any injury to people or property resulting from any ideas, methods, instructions or products referred to in the content.

Share and Cite

MDPI and ACS Style

DeCoffe, L.J.R.; Conran, D.N.; Bauch, T.D.; Ross, M.G.; Kaputa, D.S.; Salvaggio, C. Initial Performance Analysis of the At-Altitude Radiance Ratio Method for Reflectance Conversion of Hyperspectral Remote Sensing Data. Sensors 2023, 23, 320. https://doi.org/10.3390/s23010320

AMA Style

DeCoffe LJR, Conran DN, Bauch TD, Ross MG, Kaputa DS, Salvaggio C. Initial Performance Analysis of the At-Altitude Radiance Ratio Method for Reflectance Conversion of Hyperspectral Remote Sensing Data. Sensors. 2023; 23(1):320. https://doi.org/10.3390/s23010320

Chicago/Turabian Style

DeCoffe, Luke J. R., David N. Conran, Timothy D. Bauch, Micah G. Ross, Daniel S. Kaputa, and Carl Salvaggio. 2023. "Initial Performance Analysis of the At-Altitude Radiance Ratio Method for Reflectance Conversion of Hyperspectral Remote Sensing Data" Sensors 23, no. 1: 320. https://doi.org/10.3390/s23010320

APA Style

DeCoffe, L. J. R., Conran, D. N., Bauch, T. D., Ross, M. G., Kaputa, D. S., & Salvaggio, C. (2023). Initial Performance Analysis of the At-Altitude Radiance Ratio Method for Reflectance Conversion of Hyperspectral Remote Sensing Data. Sensors, 23(1), 320. https://doi.org/10.3390/s23010320

Note that from the first issue of 2016, this journal uses article numbers instead of page numbers. See further details here.

Article Metrics

Back to TopTop