1.2 V Differential Difference Transconductance Amplifier and Its Application in Mixed-Mode Universal Filter
Abstract
1. Introduction
- electronic tuning capability;
- being free from a floating passive component;
- being free from a passive component matching condition;
- lacking a minus-type input signal or an input signal matching condition;
- not applying the input voltage signal via a capacitor or resistor; and
- each operation of VM, TAM, CM and TIM offering five standard filtering responses.
2. Proposed Circuit
2.1. Proposed Mixed-Mode Universal Filter
2.2. Non-Ideality Analysis
3. Results
3.1. Simulation Results
| Transistor | W/L (µm/µm) |
|---|---|
| M1, M2, M13, M12 | 9 × 9/0.3 |
| M3, M14 | 15/0.3 |
| Mb, M4, M5, M15, M16 | 12/3 |
| M6, M7, M8, M17 | 2 × 12/3 |
| M9, M10, M11, M18 | 2 × 25/2 |
| MR | 4/5 |
| CG = 0.5 pF, Cc = C = 2.6 pF | |
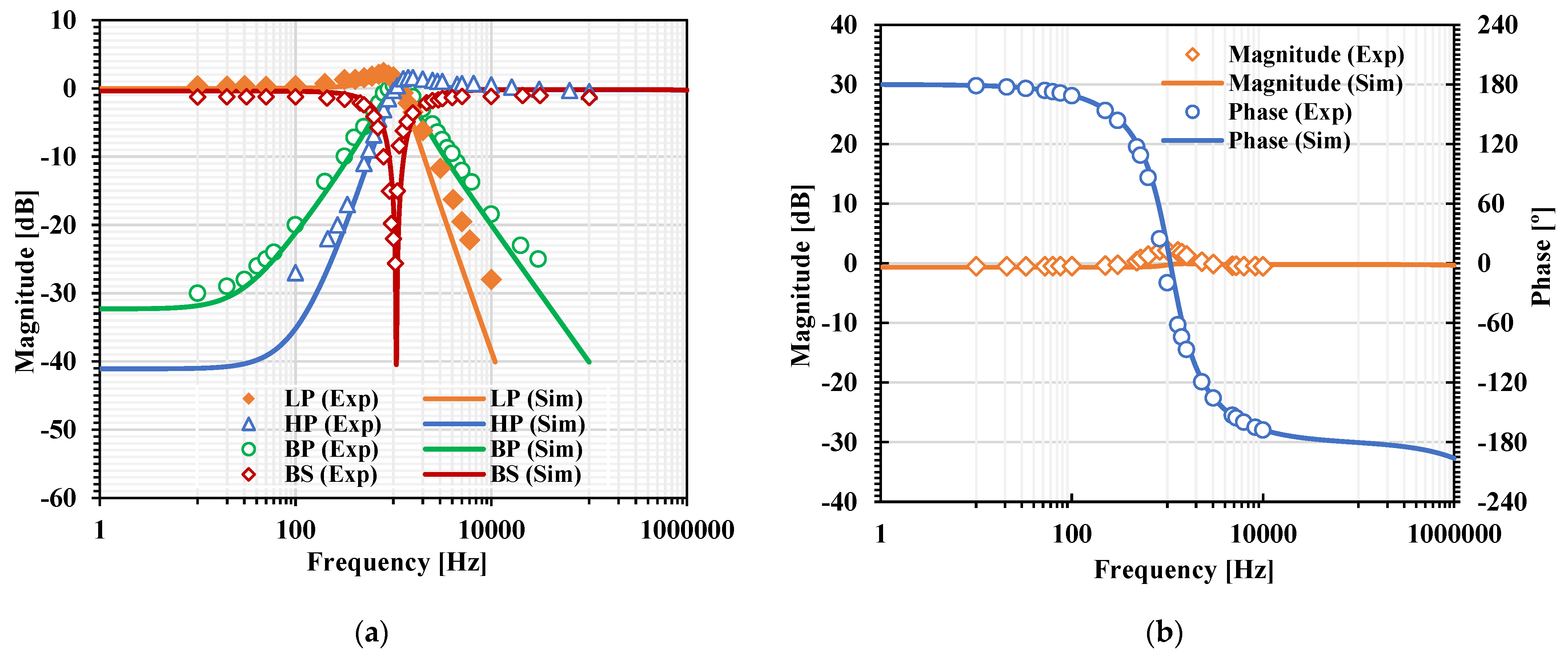
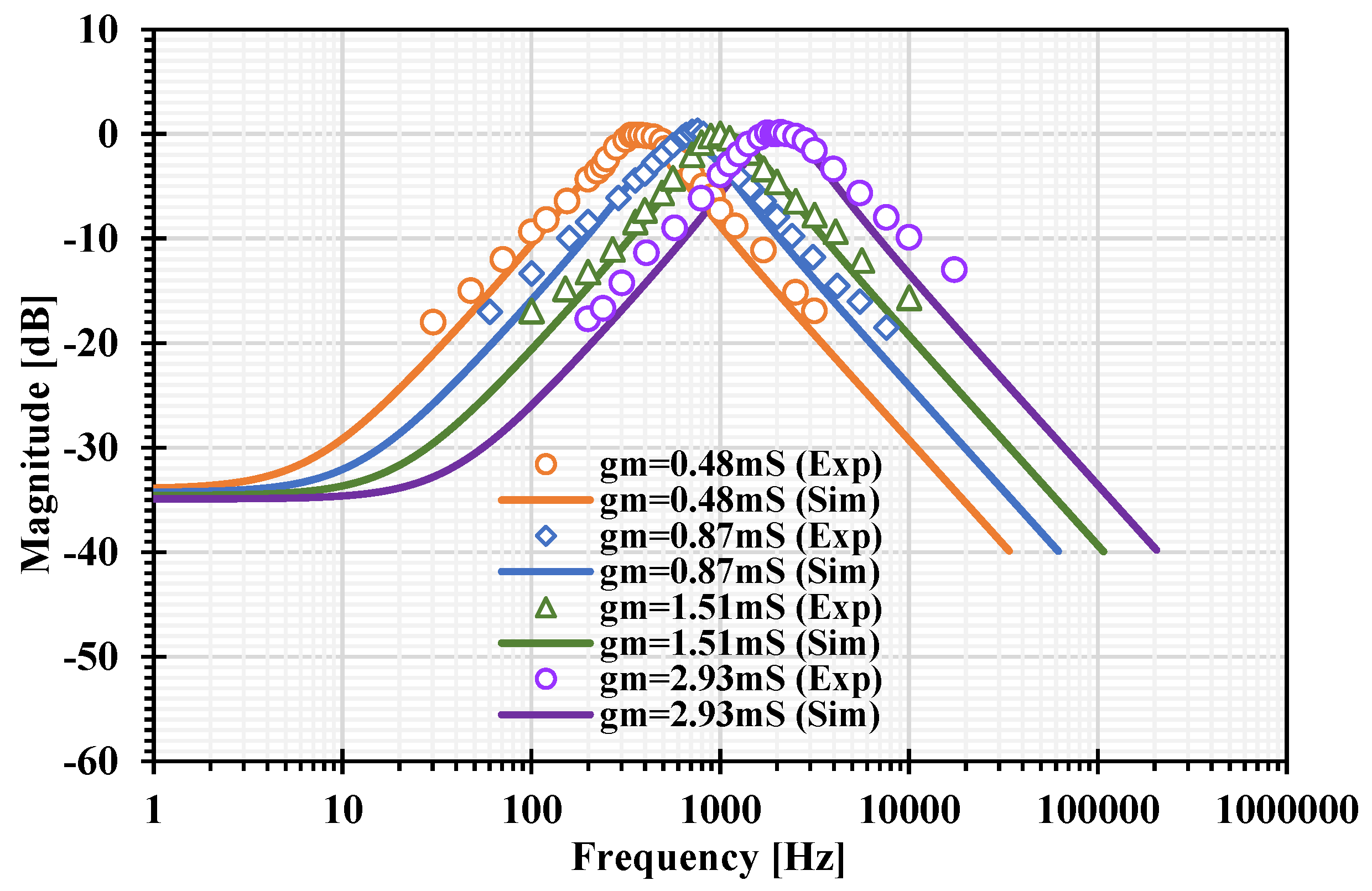
3.2. Experimental Results
4. Conclusions
Supplementary Materials
Author Contributions
Funding
Conflicts of Interest
References
- Wang, S.-F.; Chen, H.-P.; Ku, Y.; Le, C.-L. Versatile voltage-modde biquadratic filter and quadrature oscillator using four OTAs and two grounded capacitors. Electronics 2020, 9, 1493. [Google Scholar] [CrossRef]
- Alexander, C.K.; Sadiku, M.N.O. Fundamentals of Electric Circuits, 6th ed.; McGraw-Hill: New York, NY, USA, 2017; pp. 658–660. [Google Scholar]
- Li, Y. A modified CDTA (MCDTA) and its applications: Designing Current-Mode Sixth-Order Elliptic Band-Pass Filter. Circuits Syst. Signal Process. 2011, 30, 1383–1390. [Google Scholar] [CrossRef]
- MAX260 Maxim Integrated. Available online: https://www.maximintegrated.com/en/products/analog/analog-filters/MAX260.html (accessed on 5 January 2022).
- Psychalinos, C.; Kasimis, C.; Khateb, F. Multiple-input single-output universal biquad filter using single output operational transconductance amplifiers. Int. J. Electron. Commun. 2018, 93, 360–367. [Google Scholar] [CrossRef]
- Wang, S.-F.; Chen, H.-P.; Ku, Y.; Yang, C.-M. Independently tunable voltage-mode OTA-C biquadratic filter with five inputs and three outputs and its fully-uncoupled quadrature sinusoidal oscillator application. AEU Int. J. Electron. Commun. 2019, 110, 152822. [Google Scholar] [CrossRef]
- Kumar, A.; Paul, S.K. Nth order current mode universal filter using MOCCCIIs. Analog. Integr. Circuits Signal Process. 2018, 95, 181–193. [Google Scholar] [CrossRef]
- Tangsrirat, W.; Channumsin, O. Minimum-component current-mode universal filter. Indian J. Pure Appl. Phys. 2021, 49, 137–141. [Google Scholar]
- Shah, N.; Iqbal, S.; Parveen, B. SITO high output impedance transadmittance filter using FTFNs. Analog. Integr. Circuits Signal Process. 2004, 40, 87–89. [Google Scholar] [CrossRef]
- Shah, N.A.; Quadri, M.; Iqbal, S.Z. CDTA based universal transadmittance filter. Analog. Integr. Circuits Signal Process. 2007, 52, 65–69. [Google Scholar] [CrossRef]
- Lee, C.-N. High-order multiple-mode and transadmittance-mode OTA-C universal filters. J. Circuits Syst. Comput. 2012, 21, 1250048. [Google Scholar] [CrossRef]
- Horng, J.-W. High-order current-mode and transimpedance-mode universal filters with multiple-inputs and two-outputs using MOCCIIs. Radioenineering 2009, 18, 537–543. [Google Scholar]
- Horng, J.-W.; Herencsar, N.; Wu, C.-M. Current-mode and transimpedance-mode universal biquadratic filter using two current conveyors. Indian J. Eng. Mater. Sci. 2017, 24, 461–468. [Google Scholar]
- Cevik, I.; Metin, B.; Herencsar, N.; Cicekoglu, O.; Kuntman, H. Transimpedance type MOS-C bandpass analog filter core circuits. Analog. Integr. Circuits Signal Process. 2021, 106, 543–551. [Google Scholar] [CrossRef]
- Abuelma’atti, M.T.; Bentrcia, A.; Shahrani, S.M.A. A novel mixed-mode current-conveyor-based filter. Int. J. Electron. 2004, 91, 191–197. [Google Scholar] [CrossRef]
- Bhaskar, D.R.; Singh, A.K.; Sharma, R.K.; Senani, R. New OTA-C universal current-mode/trans-admittance biquads. IEICE Electron. Express 2005, 2, 8–13. [Google Scholar] [CrossRef][Green Version]
- Minaei, S.; Ibrahim, M.A. A mixed-mode KHN-biquad using DVCC and grounded passive elements suitable for direct cascading. Int. J. Circuit Theory Appl. 2008, 37, 793–810. [Google Scholar] [CrossRef]
- Zhijun, L. Mixed-mode universal filter using MCCCII. Int. J. Electron. Commun. 2009, 63, 1072–1075. [Google Scholar] [CrossRef]
- Shah, N.A.; Rather, M.F. Design of voltage-mode, trans-admittance-mode, trans-impedance-mode and current-mode biquad filter employing plus type current feedback amplifiers. J. Act. Passiv. Devices 2010, 5, 29–46. [Google Scholar]
- Yesil, A.; Kacar, F. Electronically tunable resistorless mixed-mode biquad filters. Radioengineering 2013, 22, 1016–1125. [Google Scholar]
- Kumngern, M.; Junnapiya, S. Mixed-mode universal filter using OTAs. In Proceedings of the 2012 IEEE International Conference on Cyber Technology in Automation, Control, and Intelligent Systems (CYBER), Bangkok, Thailand, 27–31 May 2012; pp. 119–122. [Google Scholar]
- Bhaskar, D.R.; Raj, A.; Kumar, P. Mixed-mode universal biquad filter using OTAs. J. Circuits Syst. Comput. 2020, 29, 2050162. [Google Scholar] [CrossRef]
- Abuelma’atti, M.T. A novel mixed-mode current-controlled current-conveyor-based filter. Act. Passiv. Electron. Compon. 2003, 26, 185–191. [Google Scholar] [CrossRef]
- Abuelma’atti, M.T.; Bentrcia, A. A novel mixed-mode CCII-based filter. Act. Passiv. Electron. Compon. 2004, 27, 197–205. [Google Scholar] [CrossRef]
- Singh, V.K.; Singh, A.K.; Bhaskar, D.R.; Senani, R. Novel mixed-mode universal biquad configuration. IEICE Electron. Express 2005, 2, 548–553. [Google Scholar] [CrossRef]
- Pandey, N.; Paul, S.K.; Bhattacharyya, A.; Jain, S.B. A new mixed mode biquad using reduced number of active and passive elements. IEICE Electron. Express 2006, 3, 115–121. [Google Scholar] [CrossRef]
- Shah, N.A.; Malik, M. Multifunction mixed-mode filter using FTFNs. Analog. Integr. Circuits Signal Process. 2006, 47, 339–343. [Google Scholar] [CrossRef]
- Horng, J.W. Multiple-mode universal biquad filter using two DDCCs. Int. J. Electr. Eng. 2007, 14, 219–297. [Google Scholar]
- Lee, C.-N.; Chang, C.-M. Single FDCCII-based mixed-mode biquad filter with eight outputs. Int. J. Electron. Commun. 2008, 63, 736–742. [Google Scholar] [CrossRef]
- Chen, H.P.; Liao, Y.Z.; Lee, W.T. Tunable mixed-mode OTA-C universal filter. Analog. Integr. Circuits Signal Process. 2009, 58, 135–141. [Google Scholar] [CrossRef]
- Lee, C.N. Multiple-mode OTA-C universal biquad filters. Circuits Syst. Signal Process. 2010, 29, 263–274. [Google Scholar] [CrossRef]
- Pandey, N.; Paul, S.K.; Bhattacharyya, A.; Jain, S.B. Realization of generalized mixed mode universal filter using CCCIIs. J. Act. Passiv. Electron. Devices 2010, 5, 279–293. [Google Scholar]
- Maheshwari, S.; Singh, S.V.; Chauhan, D.S. Electronically tunable low-voltage Mixed-mode universal biquad filter. IET Circuits Devices Syst. 2011, 5, 149–158. [Google Scholar] [CrossRef]
- Lee, C.-N. Fully cascadable mixed-mode universal filter biquad using DDCCs and grounded passive components. J. Circuits Syst. Comput. 2011, 20, 607–620. [Google Scholar] [CrossRef]
- Liao, W.B.; Gu, J.C. SIMO type universal mixed-mode biquadratic filter. Indian J. Eng. Mater. Sci. 2011, 18, 443–448. [Google Scholar]
- Pandey, N.; Paul, S.K. SIMO mixed mode universal filter. J. Act. Passiv. Electron. Devices 2012, 7, 215–226. [Google Scholar]
- Pandey, N.; Paul, S.K. Mixed mode universal filter. J. Circuits Syst. Comput. 2013, 22, 1250064. [Google Scholar] [CrossRef]
- Lee, C.N. MISO type mixed-mode biquad filter using basic active elements. Int. J. Emerg. Technol. Adv. Eng. 2015, 5, 309–315. [Google Scholar]
- Lee, C.N. Independently tunable mixed-mode universal biquad filter with versatile input/output function. Int. J. Electron. Commun. 2016, 70, 1006–1019. [Google Scholar] [CrossRef]
- Lee, C.N. Mixed-mode biquadratic filter using only two DVCC and grounded passive components. Int. J. Emerg. Technol. Adv. Eng. 2016, 6, 228–234. [Google Scholar]
- Lee, C.N. Mixed-Mode universal biquadratic filter with no need of matching conditions. J. Circuits Syst. Comput. 2016, 25, 1650106. [Google Scholar] [CrossRef]
- Chen, H.P.; Yang, W.S. Electronically tunable current controlled current conveyor transconductance amplifier-based mixed-mode biquadratic filter with resistorless and grounded capacitors. Appl. Sci. 2017, 7, 244. [Google Scholar] [CrossRef]
- Parvizi, M.; Taghizadeh, A.; Mahmoodian, H.; Kozehkanani, Z.D. A low-power mixed-mode SIMO universal Gm-C filter. J. Circuits Syst. Comput. 2017, 26, 1750164. [Google Scholar] [CrossRef]
- Albrni, M.I.A.; Mohammad, F.; Herenscar, N.; Sampe, J.; Ali, S.H.M. Novel electronically tunable biquadratic mixed-mode universal filter capable of operating in MISO and SIMO configurations. J. Microelectron. Electron. Compon. Mater. 2020, 50, 189–203. [Google Scholar]
- Agrawal, D.; Maheshwarl, S. High-performance electronically tunable analog filter using a single EX-CCCII. Circuits Syst. Singnal Process. 2021, 40, 1127–1151. [Google Scholar] [CrossRef]
- Faseehuddin, M.; Herencsar, N.; Albrni, M.A.; Sampe, J. Electronically tunable mixed-mode universal filter employing a single active block and a minimum number of passive components. Appl. Sci. 2021, 11, 55. [Google Scholar] [CrossRef]
- Sackinger, E.; Guggenbuhl, W. A versatile building block: The CMOS Differential Difference Amplifier. IEEE J. Solid State Circuits 1987, 22, 287–294. [Google Scholar] [CrossRef]
- Kumngern, M. CMOS differential difference voltage follower transconductance amplifier. In Proceedings of the 2015 IEEE International Circuits and Systems Symposium (ICSyS), Langkawi, Malaysia, 2–4 September 2015; pp. 133–136. [Google Scholar] [CrossRef]
- Yesil, A.; Konal, M.; Kacar, F. Electronically tunable quadrature oscillator employing single differential difference transconductance amplifier. Acta Phys. Pol. A 2017, 132, 843. [Google Scholar] [CrossRef]
- Denisenko, D.Y.; Bugakova, A.V.; Prokopenko, N.N.; Ivanov, Y.I. The third order active low-pass rc-filters based on differential and differential difference operational amplifiers. In Proceedings of the 2019 20th International Conference of Young Specialists on Micro/Nanotechnologies and Electron Devices (EDM), Erlagol, Russia, 29 June–3 July 2019; pp. 695–699. [Google Scholar]
- Rana, P.; Ranjan, A. Odd-and even-order electronically controlled wave active filter employing differential difference trans-conductance amplifier (DDTA). Int. J. Electron. 2020, 108, 1623–1651. [Google Scholar] [CrossRef]
- Kumngern, M. DDTA and DDCCTA: New Active Elements for Analog Signal Processing. In Proceedings of the 2012 IEEE International Conference on Electronics Design, Systems and Applications (ICEDSA), Kuala Lumpur, Malaysia, 5–6 November 2012; pp. 141–145. [Google Scholar]
- Kumngern, M.; Khateb, F.; Kulej, T.; Psychalinos, C. Multiple-input universal filter and quadrature oscillator using multiple-input operational transconductance amplifiers. IEEE Access 2021, 9, 56253–56263. [Google Scholar] [CrossRef]
- Prommee, P.; Karawanich, K.; Khateb, F.; Kulej, T. Voltage-mode elliptic band-pass filter based on multiple-input transconductor. IEEE Access 2021, 9, 32582–32590. [Google Scholar] [CrossRef]
- Jaikla, W.; Khateb, F.; Kulej, T.; Pitaksuttayaprot, K. Universal filter based on compact cmos structure of VDDDA. Sensors 2021, 21, 1683. [Google Scholar] [CrossRef]
- Jaikla, W.; Bunrueangsak, S.; Khateb, F.; Kulej, T.; Suwanjan, P.; Supavarasuwat, P. Inductance simulators and their application to the 4th order elliptic lowpass ladder filter using CMOS VD-DIBAs. Electronics 2021, 10, 684. [Google Scholar] [CrossRef]
- Khateb, F.; Kulej, T.; Kumngern, M.; Psychalinos, C. Multiple-input bulk-driven MOS transistor for low-voltage low-frequency applications. Circuits Syst. Signal Process. 2019, 38, 2829–2845. [Google Scholar] [CrossRef]
- Lopez–Martin, A.J.; Ramirez–Angulo, J.; Carvajal, R.G.; Acosta, L. CMOS transconductors with continuous tuning using FGMOS balanced output current scaling. IEEE J. Solid State Circuits 2008, 43, 1313–1323. [Google Scholar] [CrossRef]
- Rico-Aniles, H.D.; Ramirez-Angulo, J.; Lopez-Martin, A.J.; Carvajal, R.G. 360 nW Gate-Driven Ultra-Low Voltage CMOS Linear Transconductor with 1 MHz Bandwidth and Wide Input Range. IEEE Trans. Circuits Syst. Part II Express Briefs 2020, 67, 2332–2336. [Google Scholar] [CrossRef]
- Pandey, N.; Paul, S.K. Differential difference current conveyor transconductance amplifier: A New Analog Building Block for Signal Processing. J. Electr. Comput. Eng. 2011, 2011, 361384. [Google Scholar] [CrossRef]
- Khateb, F.; Kulej, T.; Kumngern, M.; Arbet, D.; Jaikla, W. A 0.5-V 95-dB rail-to-rail DDA for biosignal processing. AEU Int. J. Electron. Commun. 2022, 145, 1–9. [Google Scholar] [CrossRef]
- Martin, A.J.L.; Carlosena, A.; Ramirez-Angulo, J. Very low voltage MOS translinear loops based on flipped voltage followers. Analog. Integr Circ Signal Process. 2004, 40, 71–74. [Google Scholar] [CrossRef]
- Raikos, G.; Vlassis, S.; Psychalinos, C. 0.5 V bulk-driven analog building blocks. Int. J. Electron. Commun. 2012, 66, 920–927. [Google Scholar] [CrossRef]
- Lopez-Martin, A.J.; Baswa, S.; Ramirez-Angulo, J.; Carvajal, R.G. Low-Voltage Super class AB CMOS OTA cells with very high slew rate and power efficiency. IEEE J. Solid State Circuits 2005, 40, 1068–1077. [Google Scholar] [CrossRef]
- Tsukutani, T.; Higashimura, M.; Takahashi, N.; Sumi, Y.; Fukui, Y. Versatile voltage-mode active-only biquad with lossless and lossy integrator loop. Int. J. Electron. 2001, 88, 1093–1102. [Google Scholar] [CrossRef]





















| Ref. | No. of Device | Power Supply | No. of C & R | Obtaining Function | PD [mW] | THD of LP [%] | BW [kHz] | (i) | (ii) | (iii) | (iv) | (v) | (vi) |
|---|---|---|---|---|---|---|---|---|---|---|---|---|---|
| [23] 2003 | 4-CCCII | - | 2 & 0 | 14 | - | - | - | Yes | Yes | Yes | Yes | Yes | No |
| [24] 2004 | 5-CCII | - | 2 & 7 | 12 | - | - | - | No | No | No | Yes | No | No |
| [25] 2005 | 4-CFOA | ±12 V | 2 & 9 | 20 | - | - | 112.5 | No | No | No | Yes | No | Yes |
| [26] 2006 | 3-CCII | ±12 V | 3 & 4 | 20 | - | - | - | No | No | No | Yes | No | Yes |
| [27] 2006 | 3-FTFN | - | 2 & 3 | 11 | - | - | 31.8 | No | No | Yes | Yes | No | No |
| [28] 2007 | 2-DDCC | ±1.25 V | 2 & 4 | 20 | - | - | 4.973 × 103 | No | No | No | Yes | No | Yes |
| [29] 2008 | 1-FDCCII | ±1.25 V | 2 & 3 | 17 | - | - | 3.316 × 103 | No | No | No | Yes | No | No |
| [30] 2009 | 5-OTA | ±1.65 V | 2 & 0 | 24 | 30.95 | - | 1 × 103 | Yes | Yes | No | No | Yes | Yes |
| [31] 2010 | 5-OTA | ±1.25 V | 2 & 0 | 20 | - | 0.777@400 mVpp | 1.591 × 103 | Yes | Yes | No | No | Yes | Yes |
| [32] 2010 | 2-CCCII | ±2.5 V | 2 & 1 | 20 | - | <5@500 μApp | 1.27 × 103 | Yes | No | No | Yes | No | Yes |
| [33] 2011 | 3-CCCCTA | ±1 V | 2 & 0 | 16 | 4.84 | - | 1.06 × 103 | Yes | Yes | No | No | Yes | No |
| [34] 2011 | 3-DDCC | ±1.25 V | 2 & 3 | 30 | - | 0.723@60 μApp | 3.978 × 103 | No | Yes | No | No | Yes | Yes |
| [35] 2011 | 3-DDCC | ±1.25 V | 2 & 4 | 20 | - | - | 3.978 × 103 | No | No | No | Yes | No | Yes |
| [36] 2012 | 4-MOCCCII | ±2.5 V | 2 & 0 | 12 | - | - | - | Yes | Yes | Yes | Yes | Yes | No |
| [37] 2013 | 4-MOCCCII | ±1.25 V | 2 & 0 | 20 | - | 0.5@300 μApp | - | Yes | Yes | No | No | Yes | Yes |
| [38] 2015 | 2-CCII | ±1.25 V | 2 & 2 | 11 | - | - | 2 × 103 | No | No | Yes | Yes | No | No |
| [39] 2016 | 1-FDCCII, 1-DDCC | ±0.9 V | 2 & 6 | 46 | - | 2.2@300 mVpp | 1.591 × 103 | No | No | No | No | No | Yes |
| [40] 2016 | 2-DVCC | ±1.25 V | 2 & 3 | 14 | - | - | 3.978 × 103 | No | Yes | Yes | Yes | Yes | No |
| [41] 2016 | 2-FDCCII | ±0.9 V | 2 & 5 | 25 | - | 0.971@200 mVpp | 1.591 × 103 | No | No | No | Yes | No | Yes |
| [42] 2017 | 3-CCCCTA | ±0.9 V | 2 & 0 | 18 | 1.99 | 2.16@500 mVpp | 3.183 × 103 | Yes | Yes | Yes | Yes | Yes | No |
| [43] 2017 | 6-MI-OTA | ±0.5 V | 2 & 0 | 20 | 0.075 | 2@50 mVpp | 1.5 × 103 | Yes | Yes | Yes | Yes | Yes | Yes |
| [44] 2020 | 2-EXCCTA | ±1.25 V | 2 & 4 | 20 | - | <5@520 mVpp | 7.622 × 103 | Yes | No | No | Yes | No | Yes |
| [45] 2021 | 1-EX-CCCII | ±0.5 V | 2 & 1 | 17 | 1.35 | 0.2@520 mVpp | 23 × 103 | Yes | No | Yes | No | No | No |
| [46] 2021 | 1-VD-EXCCII | ±1.25 V. | 2 & 3 | 20 | 5.76 | <7.5@650 mVpp | 8.084 × 103 | Yes | No | No | Yes | No | Yes |
| This study | 5-DDTA | 1.2 V | 2 & 0 | 36 | 0.33 | 1.09@650 mVpp | 1.04 | Yes | Yes | Yes | Yes | Yes | Yes |
| Parameters | Simulated Value |
|---|---|
| Technology | 0.18 μm |
| Supply voltage | 1.2 V (±0.6 V) |
| Static power consumption | 66 μW |
| Transconductance | 1/Rset |
| −3 dB bandwidth | |
| Vw/Vy1, Vw/Vy2, Vw/Vy3 | 2.4 MHz |
| Io/Vy1 (Rset = 15 kΩ) | 6.4 MHz |
| Voltage gain: Vw/Vy1, Vw/Vy2, Vw/Vy3 | 0.988 |
| DC voltage range (Rset = 15 kΩ) | ±100 mV |
| DC offset | −0.13 mV |
| Rw&Lw | 1.25 kΩ & 0.4 mH |
| Ro//Co | 947.78 kΩ//0.22 pF |
Publisher’s Note: MDPI stays neutral with regard to jurisdictional claims in published maps and institutional affiliations. |
© 2022 by the authors. Licensee MDPI, Basel, Switzerland. This article is an open access article distributed under the terms and conditions of the Creative Commons Attribution (CC BY) license (https://creativecommons.org/licenses/by/4.0/).
Share and Cite
Kumngern, M.; Suksaibul, P.; Khateb, F.; Kulej, T. 1.2 V Differential Difference Transconductance Amplifier and Its Application in Mixed-Mode Universal Filter. Sensors 2022, 22, 3535. https://doi.org/10.3390/s22093535
Kumngern M, Suksaibul P, Khateb F, Kulej T. 1.2 V Differential Difference Transconductance Amplifier and Its Application in Mixed-Mode Universal Filter. Sensors. 2022; 22(9):3535. https://doi.org/10.3390/s22093535
Chicago/Turabian StyleKumngern, Montree, Pichai Suksaibul, Fabian Khateb, and Tomasz Kulej. 2022. "1.2 V Differential Difference Transconductance Amplifier and Its Application in Mixed-Mode Universal Filter" Sensors 22, no. 9: 3535. https://doi.org/10.3390/s22093535
APA StyleKumngern, M., Suksaibul, P., Khateb, F., & Kulej, T. (2022). 1.2 V Differential Difference Transconductance Amplifier and Its Application in Mixed-Mode Universal Filter. Sensors, 22(9), 3535. https://doi.org/10.3390/s22093535

