Multifunctional Modified Chitosan Biopolymers for Dual Applications in Biomedical and Industrial Field: Synthesis and Evaluation of Thermal, Chemical, Morphological, Structural, In Vitro Drug-Release Rate, Swelling and Metal Uptake Studies
Abstract
1. Introduction
2. Materials and Methods
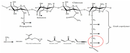
2.1. Production of Binary Grafted Copolymers
- is the backbone weight,
- is the product’s weight (binary grafts synthesized),
- is the sum of the monomer’s weights.
2.2. Metal Ion Uptake
- is fed metal ions concentration,
- is rejected metal ions concentration,
- is metal ions concentration ion in polymeric matrix,
- V is solution volume in mL,
- is dry polymeric weight in grams.
2.3. Kinetic Models
- —equilibrium rate constant for pseudo-first-order model ();
- and —sorption measurements in mg/g at equilibrium period and at time t, respectively.
- —equilibrium rate constant for pseudo-second-order kinetic model (g );
- and —sorption measurements in mg/g at equilibrium period and at time t, respectively.
2.4. Diclofenac Sodium Drug Uptake and Release Studies
- —percent drug uptake,
- —total drug taken in solution,
- —drug left in supernatant liquid,
- —percent drug release,
- —concentration of drug in solution.
2.5. Drug Release Kinetics
- F—fraction of drug released at contact time t, —the amount of drug released at time t,
- —drug released at infinite time,
- n—diffusion exponent,
- k—gel characteristics constant,
- t—time in hours.
3. Results and Discussion
3.1. Optimization of Comonomer Concentration
3.2. Analysis of Binary Grafted Copolymers
3.2.1. SEM Study
3.2.2. FTIR Study
3.2.3. XRD Studies
3.2.4. Thermal (TGA/DTA) Analysis
3.2.5. Swelling Study
- —percent swelling of the polymer,
- —swollen polymer’s weight,
- —dry polymer’s weight.
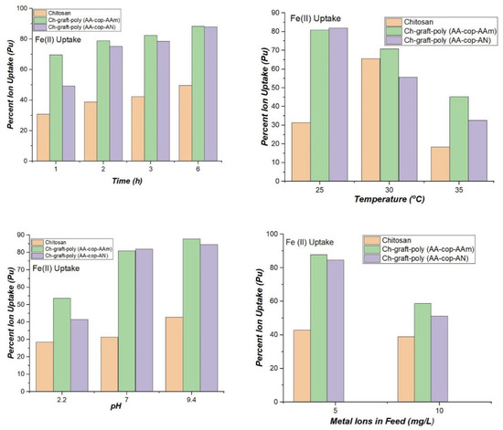
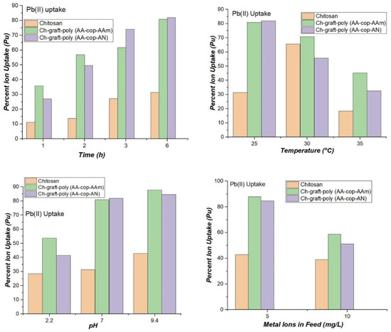
3.2.6. Metal Ions Sorption Studies
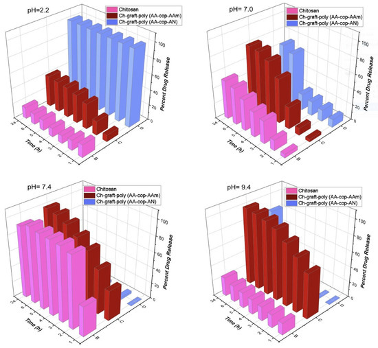
3.2.7. Drug Release Behavior and Kinetic Model
4. Conclusions
Further Research Plans
Author Contributions
Funding
Institutional Review Board Statement
Informed Consent Statement
Data Availability Statement
Conflicts of Interest
Sample Availability
Abbreviations
| Acrylic acid | |
| Acrylamide | |
| Acrylonitrile | |
| Potassium persulfate | |
| Water | |
| Diclofenac sodium | |
| Scanning Electron Microscopy | |
| Thermogravimetric analysis | |
| Differential thermal analysis | |
| Chitosan | |
| Xray Diffraction | |
| Fourier Transform Infrared Spectroscopy | |
| potential of hydrogen | |
| Interpenetrating polymer network | |
| Semi-Interpenetrating polymer network | |
| Fluorouracil | |
| nifedipine | |
| Hydrochloride | |
| Sodium hydroxide | |
| Potassium dihydrogen phosphate | |
| Potassium chloride | |
| sodium tetraborate decahydrate (borax) | |
| Ferrous sulfate | |
| Lead (II) nitrate | |
| Dimethylformamide | |
| Percent grafting | |
| Grafting efficiency | |
| Metal ion percent uptake | |
| Metal ion partition coefficient | |
| Metal ions retention capacity | |
| Percent drug uptake | |
| Total drug taken in solution | |
| Drug left in supernatant liquid | |
| Percent drug release | |
| Concentration of drug in solution | |
| Grafting | |
| copolymer | |
| () | Binary graft copolymer of comonomer acrylamide | 
| () | Binary graft copolymer of comonomer acrylonitrile | 
| Low molecular weight | 
References
- Zamora-Ledezma, C.; Negrete-Bolagay, D.; Figueroa, F.; Zamora-Ledezma, E.; Ni, M.; Alexis, F.; Guerrero, V.H. Heavy metal water pollution: A fresh look about hazards, novel and conventional remediation methods. Environ. Technol. Innov. 2021, 22, 101504. [Google Scholar] [CrossRef]
- Hamza, M.F.; Hamad, N.A.; Hamad, D.M.; Khalafalla, M.S.; Abdel-Rahman, A.A.H.; Zeid, I.F.; Wei, Y.; Hessien, M.M.; Fouda, A.; Salem, W.M. Synthesis of eco-friendly biopolymer, alginate-chitosan composite to adsorb the heavy metals, Cd (II) and Pb (II) from contaminated effluents. Materials 2021, 14, 2189. [Google Scholar] [CrossRef] [PubMed]
- Qadri, H.; Bhat, R.A.; Mehmood, M.A.; Dar, G.H. Fresh Water Pollution Dynamics and Remediation; Springer: Cham, Switzerland, 2020. [Google Scholar]
- Alfaifi, H.; El-Sorogy, A.S.; Qaysi, S.; Kahal, A.; Almadani, S.; Alshehri, F.; Zaidi, F.K. Evaluation of heavy metal contamination and groundwater quality along the Red Sea coast, southern Saudi Arabia. Mar. Pollut. Bull. 2021, 163, 111975. [Google Scholar] [CrossRef] [PubMed]
- Bharti, M.K.; Gupta, S.; Chalia, S.; Garg, I.; Thakur, P.; Thakur, A. Potential of magnetic nanoferrites in removal of heavy metals from contaminated water: Mini review. J. Supercond. Nov. Magn. 2020, 33, 3651–3665. [Google Scholar] [CrossRef]
- Shrestha, R.; Ban, S.; Devkota, S.; Sharma, S.; Joshi, R.; Tiwari, A.P.; Kim, H.Y.; Joshi, M.K. Technological trends in heavy metals removal from industrial wastewater: A review. J. Environ. Chem. Eng. 2021, 9, 105688. [Google Scholar] [CrossRef]
- Tan, M.; Wang, K.; Xu, Z.; Li, H.; Qu, J. Study on heavy metal contamination in high water table coal mining subsidence ponds that use different resource reutilization methods. Water 2020, 12, 3348. [Google Scholar] [CrossRef]
- Velusamy, S.; Roy, A.; Sundaram, S.; Kumar Mallick, T. A review on heavy metal ions and containing dyes removal through graphene oxide-based adsorption strategies for textile wastewater treatment. Chem. Rec. 2021, 21, 1570–1610. [Google Scholar] [CrossRef]
- Wang, W.; Meng, Q.; Li, Q.; Liu, J.; Zhou, M.; Jin, Z.; Zhao, K. Chitosan derivatives and their application in biomedicine. Int. J. Mol. Sci. 2020, 21, 487. [Google Scholar] [CrossRef]
- Beckers, S.J.; Staal, A.H.; Rosenauer, C.; Srinivas, M.; Landfester, K.; Wurm, F.R. Targeted drug delivery for sustainable crop protection: Transport and stability of polymeric nanocarriers in plants. Adv. Sci. 2021, 8, 2100067. [Google Scholar] [CrossRef]
- Jhaveri, J.; Raichura, Z.; Khan, T.; Momin, M.; Omri, A. Chitosan nanoparticles-insight into properties, functionalization and applications in drug delivery and theranostics. Molecules 2021, 26, 272. [Google Scholar] [CrossRef]
- Tuan, H.N.A.; Nhu, V.T.T. Synthesis and properties of pH-thermo dual responsive semi-iPN hydrogels based on N, N’-diethylacrylamide and itaconamic acid. Polymers 2020, 12, 1139. [Google Scholar] [CrossRef] [PubMed]
- Ailincai, D.; Agop, M.; Marinas, I.C.; Zala, A.; Irimiciuc, S.A.; Dobreci, L.; Petrescu, T.C.; Volovat, C. Theoretical model for the diclofenac release from PEGylated chitosan hydrogels. Drug Deliv. 2021, 28, 261–271. [Google Scholar] [CrossRef] [PubMed]
- Esfahani, R.E.; Zahedi, P.; Zarghami, R. 5-Fluorouracil-loaded poly (vinyl alcohol)/chitosan blend nanofibers: Morphology, drug release and cell culture studies. Iran. Polym. J. 2021, 30, 167–177. [Google Scholar] [CrossRef]
- Bulut, E. Ibuprofen microencapsulation within acrylamide-grafted chitosan and methylcellulose interpenetrating polymer network microspheres: Synthesis, characterization, and release studies. Artif. Cells Nanomed. Biotechnol. 2016, 44, 1098–1108. [Google Scholar] [CrossRef] [PubMed]
- Niu, B.; Jia, J.; Wang, H.; Chen, S.; Cao, W.; Yan, J.; Gong, X.; Lian, X.; Li, W.; Fan, Y.Y. In vitro and in vivo release of diclofenac sodium-loaded sodium alginate/carboxymethyl chitosan-ZnO hydrogel beads. Int. J. Biol. Macromol. 2019, 141, 1191–1198. [Google Scholar] [CrossRef] [PubMed]
- Gull, N.; Khan, S.M.; Butt, O.M.; Islam, A.; Shah, A.; Jabeen, S.; Khan, S.U.; Khan, A.; Khan, R.U.; Butt, M.T.Z. Inflammation targeted chitosan-based hydrogel for controlled release of diclofenac sodium. Int. J. Biol. Macromol. 2020, 162, 175–187. [Google Scholar] [CrossRef] [PubMed]
- Tan, L.S.; Tan, H.L.; Deekonda, K.; Wong, Y.Y.; Muniyandy, S.; Hashim, K.; Pushpamalar, J. Fabrication of radiation cross-linked diclofenac sodium loaded carboxymethyl sago pulp/chitosan hydrogel for enteric and sustained drug delivery. Carbohydr. Polym. Technol. Appl. 2021, 2, 100084. [Google Scholar] [CrossRef]
- Su, Z.; Sun, D.; Zhang, L.; He, M.; Jiang, Y.; Millar, B.; Douglas, P.; Mariotti, D.; Maguire, P.; Sun, D. Chitosan/silver nanoparticle/graphene oxide nanocomposites with multi-drug release, antimicrobial, and photothermal conversion functions. Materials 2021, 14, 2351. [Google Scholar] [CrossRef]
- Haldorai, Y.; Shim, J.J. Multifunctional chitosan-copper oxide hybrid material: Photocatalytic and antibacterial activities. Int. J. Photoenergy 2013, 2013, 245646. [Google Scholar] [CrossRef]
- Petrucci, R.; Pasquali, M.; Scaramuzzo, F.A.; Curulli, A. Recent Advances in Electrochemical Chitosan-Based Chemosensors and Biosensors: Applications in Food Safety. Chemosensors 2021, 9, 254. [Google Scholar] [CrossRef]
- Honarkar, H.; Barikani, M. Applications of biopolymers I: Chitosan. Monatshefte FÜR-Chem.-Chem. Mon. 2009, 140, 1403–1420. [Google Scholar] [CrossRef]
- Klapiszewski, Ł.; Wysokowski, M.; Majchrzak, I.; Szatkowski, T.; Nowacka, M.; Siwińska-Stefańska, K.; Szwarc-Rzepka, K.; Bartczak, P.; Ehrlich, H.; Jesionowski, T. Preparation and characterization of multifunctional chitin/lignin materials. J. Nanomater. 2013, 2013, 12. [Google Scholar]
- Karrat, A.; Amine, A. Recent advances in chitosan-based electrochemical sensors and biosensors. Arab. J. Chem. Environ. Res 2020, 7, 66–93. [Google Scholar]
- Pandey, A.; Jain, R. Polymer-based biomaterials: An emerging electrochemical sensor. In Handbook of Polymer and Ceramic Nanotechnology; Springer: Cham, Switzerland, 2021; pp. 1309–1327. [Google Scholar]
- Khezerlou, A.; Tavassoli, M.; Alizadeh Sani, M.; Mohammadi, K.; Ehsani, A.; McClements, D.J. Application of Nanotechnology to Improve the Performance of Biodegradable Biopolymer-Based Packaging Materials. Polymers 2021, 13, 4399. [Google Scholar] [CrossRef] [PubMed]
- Santos, V.P.; Marques, N.S.; Maia, P.C.; Lima, M.A.B.d.; Franco, L.d.O.; Campos-Takaki, G.M.D. Seafood waste as attractive source of chitin and chitosan production and their applications. Int. J. Mol. Sci. 2020, 21, 4290. [Google Scholar] [CrossRef] [PubMed]
- Gonçalves, F.J.; Gurgel, L.V.A.; Soares, L.C.; Teodoro, F.S.; Ferreira, G.M.D.; Coelho, Y.L.; da Silva, L.H.M.; Prim, D.; Gil, L.F. Application of pyridine-modified chitosan derivative for simultaneous adsorption of Cu (II) and oxyanions of Cr (VI) from aqueous solution. J. Environ. Manag. 2021, 282, 111939. [Google Scholar] [CrossRef] [PubMed]
- Tian, B.; Hua, S.; Tian, Y.; Liu, J. Chemical and physical chitosan hydrogels as prospective carriers for drug delivery: A review. J. Mater. Chem. B 2020, 8, 10050–10064. [Google Scholar] [CrossRef]
- Devi, L.; Singh, P.A. Synthesis and Characterization of Chitosan Based Graft Copolymers with Binary Vinyl Monomers for Controlled Drug Release Application. Drug Deliv. Lett. 2015, 5, 215–227. [Google Scholar] [CrossRef]
- Kumar, D.; Gihar, S.; Shrivash, M.K.; Kumar, P.; Kundu, P.P. A review on the synthesis of graft copolymers of chitosan and their potential applications. Int. J. Biol. Macromol. 2020, 163, 2097–2112. [Google Scholar] [CrossRef]
- Timur, M.; Paşa, A. Synthesis, characterization, swelling, and metal uptake studies of aryl cross-linked chitosan hydrogels. ACS Omega 2018, 3, 17416–17424. [Google Scholar] [CrossRef]
- Ho, Y.S.; Ofomaja, A.E. Pseudo-second-order model for lead ion sorption from aqueous solutions onto palm kernel fiber. J. Hazard. Mater. 2006, 129, 137–142. [Google Scholar] [CrossRef] [PubMed]
- Akbari, J.; Enayatifard, R.; Saeedi, M.; Saghafi, M. Influence of hydroxypropyl methylcellulose molecular weight grade on water uptake, erosion and drug release properties of diclofenac sodium matrix tablets. Trop. J. Pharm. Res. 2011, 10, 535–541. [Google Scholar] [CrossRef][Green Version]
- Jana, S.; Jana, S. Functional Chitosan: Drug Delivery and Biomedical Applications; Springer: Cham, Switzerland, 2020. [Google Scholar]
- Selvam, S.; Yim, J.H. Multifunctional supercapacitor integrated sensor from Oyster and Cicada derived bio-ternary composite: Vanillin/caffeine detections in beverages. J. Energy Storage 2022, 45, 103791. [Google Scholar] [CrossRef]
- Sharma, R.K.; Singh, A.P.; Chauhan, G.S. Grafting of GMA and some comonomers onto chitosan for controlled release of diclofenac sodium. Int. J. Biol. Macromol. 2014, 64, 368–376. [Google Scholar] [CrossRef]
- Lalita, S.A.; Sharma, R. Synthesis and characterization of graft copolymers of chitosan with {NIPAM} and binary monomers for removal of Cr (VI), Cu (II) and Fe (II) metal ions from aqueous solutions. Int. Biol. Macromol. 2017, 99, 409–426. [Google Scholar] [CrossRef]
- Sharma, R.K.; Goutam, S. Application of crosslinked graft copolymers of chitosan with glycidyl methacrylate and acrylic acid in sorption of Pb2+, Cu2+ and Fe2+ metal ions from aqueous medium. Trends Carbohydr. Res. 2018, 10. [Google Scholar]
- Hosseini, E.S.; Manjakkal, L.; Shakthivel, D.; Dahiya, R. Glycine–chitosan-based flexible biodegradable piezoelectric pressure sensor. ACS Appl. Mater. Interfaces 2020, 12, 9008–9016. [Google Scholar] [CrossRef]
- Abhilash, M.; Thomas, D. Biopolymers for biocomposites and chemical sensor applications. In Biopolymer Composites in Electronics; Elsevier: Amsterdam, The Netherlands, 2017; pp. 405–435. [Google Scholar]
- Jian, M.; Zhang, Y.; Liu, Z. Natural biopolymers for flexible sensing and energy devices. Chin. J. Polym. Sci. 2020, 38, 459–490. [Google Scholar] [CrossRef]
- Wang, Z.; Ma, Z.; Sun, J.; Yan, Y.; Bu, M.; Huo, Y.; Li, Y.F.; Hu, N. Recent advances in natural functional biopolymers and their applications of electronic skins and flexible strain sensors. Polymers 2021, 13, 813. [Google Scholar] [CrossRef]
- Vashist, A.; Atluri, V.; Raymond, A.; Kaushik, A.; Parira, T.; Huang, Z.; Durygin, A.; Tomitaka, A.; Nikkhah-Moshaie, R.; Vashist, A.; et al. Development of multifunctional biopolymeric auto-fluorescent micro-and nanogels as a platform for biomedical applications. Front. Bioeng. Biotechnol. 2020, 8, 315. [Google Scholar] [CrossRef]
- Pluta, K.; Florkiewicz, W.; Malina, D.; Rudnicka, K.; Michlewska, S.; Królczyk, J.; Sobczak-Kupiec, A. Measurement methods for the mechanical testing and biocompatibility assessment of polymer-ceramic connective tissue replacements. Measurement 2021, 171, 108733. [Google Scholar] [CrossRef]
- Nawrotek, K.; Tylman, M.; Rudnicka, K.; Balcerzak, J.; Kamiński, K. Chitosan-based hydrogel implants enriched with calcium ions intended for peripheral nervous tissue regeneration. Carbohydr. Polym. 2016, 136, 764–771. [Google Scholar] [CrossRef] [PubMed]
- Ramdzan, N.S.M.; Fen, Y.W.; Anas, N.A.A.; Omar, N.A.S.; Saleviter, S. Development of biopolymer and conducting polymer-based optical sensors for heavy metal ion detection. Molecules 2020, 25, 2548. [Google Scholar] [CrossRef] [PubMed]






















| Sr. No. | Polymeric Matrices | Thermo Gravimetric Data | DTG Peaks (°C) | |||
|---|---|---|---|---|---|---|
| Stages of | % | Left out | FDT | Exothermic | ||
| Degradation | Weight Loss | Residue at 200 °C (%) | (°C) | |||
| 1 | Chitosan | 26–100 | 12.44 | 86.01 | 576 | 70 | 
| 200–400 | 54.66 | 290 | ||||
| 400–576 | 31.35 | 570 | ||||
| 4 | Ch-graft-poly (AA-cop-AAm) | 28.7–100 | 3.28 | 88.22 | 674 | 218 | 
| 200–400 | 43.64 | 377 | ||||
| 400–600 | 23.78 | 630 | ||||
| 600–674 | 18.6 | |||||
| 5 | Ch-graft-poly (AA-cop-AN) | 21.2–100 | 5.97 | 88.44 | 680 | 234 | 
| 200–400 | 31.56 | 389 | ||||
| 400–500 | 13.85 | 654 | ||||
| 500–680 | 43.03 | 
| Sr. No. | Polymer | Percent Drug Loaded | pH | 
|---|---|---|---|
| 1. | Chitosan | 11.86 | 2.2 | 
| 2. | Ch-graft-poly (AA-cop-AAm) | 42.12 | 2.2 | 
| 3. | Ch-graft-poly (AA-cop-AN) | 5.56 | 2.2 | 
| 4. | Chitosan | 11.86 | 7.0 | 
| 5. | Ch-graft-poly (AA-cop-AAm) | 42.12 | 7.0 | 
| 6. | Ch-graft-poly (AA-cop-AN) | 5.56 | 7.0 | 
| 7. | Chitosan | 11.86 | 7.4 | 
| 8. | Ch-graft-poly (AA-cop-AAm) | 42.12 | 7.4 | 
| 9. | Ch-graft-poly (AA-cop-AN) | 5.56 | 7.4 | 
| 10. | Chitosan | 11.86 | 9.4 | 
| 11. | Ch-graft-poly (AA-cop-AAm) | 42.12 | 9.4 | 
| 12. | Ch-graft-poly (AA-cop-AN) | 5.56 | 9.4 | 
| Sr. No. | Polymeric Samples | 9.4 pH | ||
|---|---|---|---|---|
| n | K | r | ||
| 1 | Chitosan | 0.1795 | 0.6214 | 0.9948 | 
| 2 | Ch-graft-poly (AA-coo-AAm) | 0.3011 | 0.5878 | 0.9954 | 
| 3 | Ch-graft-poly (AA-cop-AN) | 0.5163 | 0.5246 | 0.9922 | 
| Publisher’s Note: MDPI stays neutral with regard to jurisdictional claims in published maps and institutional affiliations. | 
© 2022 by the authors. Licensee MDPI, Basel, Switzerland. This article is an open access article distributed under the terms and conditions of the Creative Commons Attribution (CC BY) license (https://creativecommons.org/licenses/by/4.0/).
Share and Cite
Chopra, L.; Chohan, J.S.; Sharma, S.; Pelc, M.; Kawala-Sterniuk, A. Multifunctional Modified Chitosan Biopolymers for Dual Applications in Biomedical and Industrial Field: Synthesis and Evaluation of Thermal, Chemical, Morphological, Structural, In Vitro Drug-Release Rate, Swelling and Metal Uptake Studies. Sensors 2022, 22, 3454. https://doi.org/10.3390/s22093454
Chopra L, Chohan JS, Sharma S, Pelc M, Kawala-Sterniuk A. Multifunctional Modified Chitosan Biopolymers for Dual Applications in Biomedical and Industrial Field: Synthesis and Evaluation of Thermal, Chemical, Morphological, Structural, In Vitro Drug-Release Rate, Swelling and Metal Uptake Studies. Sensors. 2022; 22(9):3454. https://doi.org/10.3390/s22093454
Chicago/Turabian StyleChopra, Lalita, Jasgurpreet Singh Chohan, Shubham Sharma, Mariusz Pelc, and Aleksandra Kawala-Sterniuk. 2022. "Multifunctional Modified Chitosan Biopolymers for Dual Applications in Biomedical and Industrial Field: Synthesis and Evaluation of Thermal, Chemical, Morphological, Structural, In Vitro Drug-Release Rate, Swelling and Metal Uptake Studies" Sensors 22, no. 9: 3454. https://doi.org/10.3390/s22093454
APA StyleChopra, L., Chohan, J. S., Sharma, S., Pelc, M., & Kawala-Sterniuk, A. (2022). Multifunctional Modified Chitosan Biopolymers for Dual Applications in Biomedical and Industrial Field: Synthesis and Evaluation of Thermal, Chemical, Morphological, Structural, In Vitro Drug-Release Rate, Swelling and Metal Uptake Studies. Sensors, 22(9), 3454. https://doi.org/10.3390/s22093454
 
         
                                                

 
       