Effect of DNA Aptamer Concentration on the Conductivity of a Water-Gated Al:ZnO Thin-Film Transistor-Based Biosensor
Abstract
:1. Introduction
2. Materials and Methods
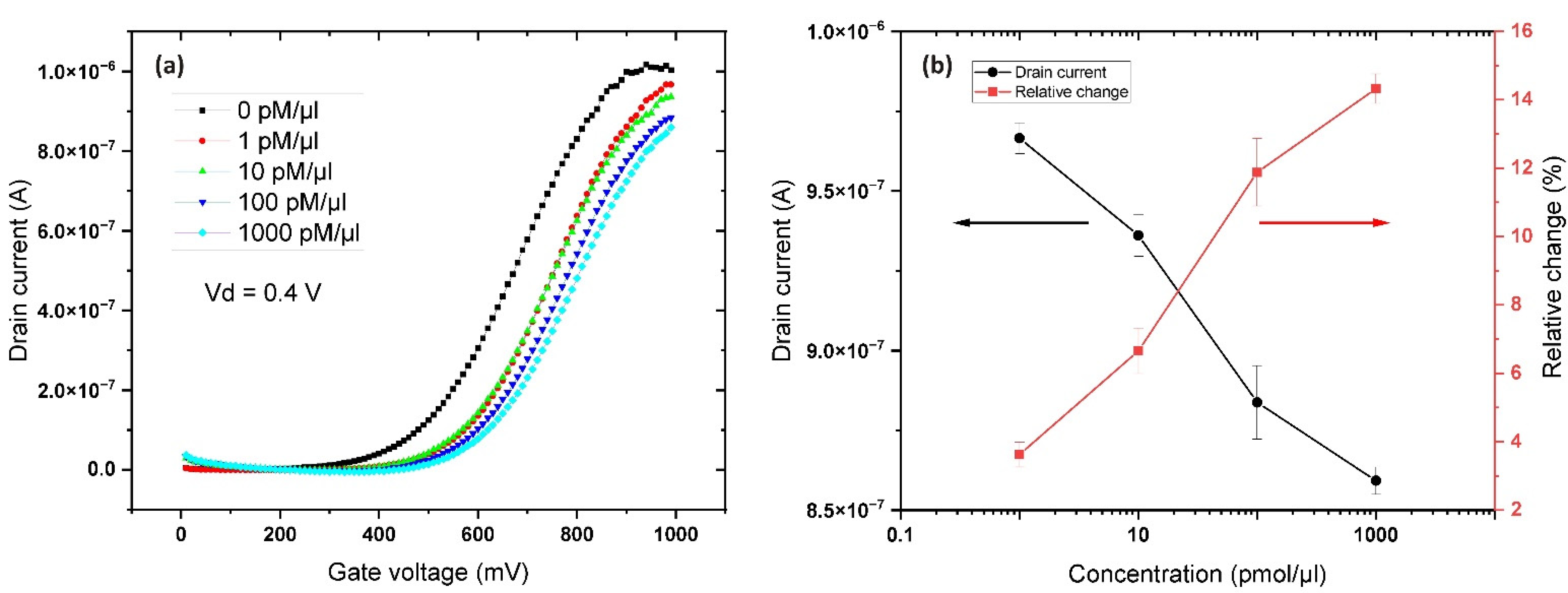
3. Results and Discussion
4. Conclusions
Author Contributions
Funding
Institutional Review Board Statement
Informed Consent Statement
Data Availability Statement
Conflicts of Interest
References
- Zhao, Z.; Lei, W.; Zhang, X.; Wang, B.; Jiang, H. ZnO-Based Amperometric Enzyme Biosensors. Sensors 2010, 10, 1216–1231. [Google Scholar] [CrossRef]
- Inshyna, N.M.; Chorna, I.V.; Primova, L.O.; Hrebenyk, L.I.; Khyzhnia, Y.V. Biosensors: Design, Classification and Application. J. Nano Electron. Phys. 2020, 12, 03033. [Google Scholar] [CrossRef]
- Negahdary, M.; Asadi, A.; Mehrtashfar, S.; Imandar, M.; Akbari-Dastjerdi, H.; Salahi, F.; Jamaleddini, A.; Ajdary, M. A Biosensor for Determination of H2O2 by Use of HRP Enzyme and Modified CPE With ZnO Nps. Int. J. Electrochem. Sci. 2012, 7, 5185–5194. [Google Scholar]
- Ali, S.M.; Ibupoto, Z.H.; Kashif, M.; Hashim, U.; Willander, M. A potentiometric indirect uric acid sensor based on ZnO nanoflakes and immobilized uricase. Sensors 2012, 12, 2787–2797. [Google Scholar] [CrossRef] [PubMed] [Green Version]
- Gu, B.; Xu, C.; Yang, C.; Liu, S.; Wang, M. ZnO quantum dot labeled immunosensor for carbohydrate antigen 19-9. Biosens. Bioelectron. 2011, 26, 2720–2723. [Google Scholar] [CrossRef] [PubMed]
- Teng, Y.; Zhang, X.; Fu, Y.; Liu, H.; Wang, Z.; Jin, L.; Zhang, W. Optimized ferrocene-functionalized ZnO nanorods for signal amplification in electrochemical immunoassay of Escherichia coli. Biosens. Bioelectron. 2011, 26, 4661–46676. [Google Scholar] [CrossRef]
- Hagen, J.A.; Kim, S.N.; Bayraktaroglu, B.; Leedy, K.; Chávez, J.L.; Kelley-Loughnane, N.; Naik, R.R.; Stone, M.O. Biofunctionalized zinc oxide field effect transistors for selective sensing of riboflavin with current modulation. Sensors 2011, 11, 6645–6655. [Google Scholar] [CrossRef] [Green Version]
- Hanif, A.; Farooq, R.; Rehman, M.U.; Khan, R.; Majid, S.; Ganaie, M.A. Aptamer based nanobiosensors: Promising healthcare devices. Saudi Pharm. J. 2019, 27, 312–319. [Google Scholar] [CrossRef]
- Prante, M.; Segal, E.; Scheper, T.; Bahnemann, J.; Walter, J. Aptasensors for Point-of-Care Detection of Small Molecules. Biosensors 2020, 10, 108. [Google Scholar] [CrossRef]
- Dkhar, D.S.; Kumari, R.; Mahapatra, S.; Kumar, R.; Chandra, P. Ultrasensitive Aptasensors for the Detection of Viruses Based on Opto-Electrochemical Readout Systems. Biosensors 2022, 12, 81. [Google Scholar] [CrossRef]
- Kaur, H.; Shorie, M. Nanomaterial based aptasensors for clinical and environmental diagnostic applications. Nanoscale Adv. 2019, 1, 2123–2138. [Google Scholar] [CrossRef] [Green Version]
- Duan, N.; Wu, S.; Dai, S.; Gu, H.; Hao, L.; Yea, H.; Wang, Z. Advances in aptasensors for the detection of food contaminants. Analyst 2016, 141, 3942–3961. [Google Scholar] [CrossRef] [PubMed]
- Zhang, K.; Li, H.; Wang, W.; Cao, J.; Gan, N.; Han, H. Application of Multiplexed Aptasensors in Food Contaminants Detection. ACS Sens. 2020, 5, 3721–3738. [Google Scholar] [CrossRef] [PubMed]
- Vasilescu, A.; Marty, J.-L. Electrochemical aptasensors for the assessment of food quality and safety. Trends Anal. Chem. 2016, 79, 60–70. [Google Scholar] [CrossRef]
- Zahra, Q.U.A.; Khan, Q.A.; Luo, Z. Advances in Optical Aptasensors for Early Detection and Diagnosis of Various Cancer Types. Front. Oncol. 2021, 11, 632165. [Google Scholar] [CrossRef]
- Feng, C.; Dai, S.; Wang, L. Optical aptasensors for quantitative detection of small biomolecules: A review. Biosens. Bioelectron. 2014, 59, 64–74. [Google Scholar] [CrossRef]
- Abd-Ellatief, R.; Abd-Ellatief, M.R. Electrochemical Aptasensors: Current Status and Future Perspectives. Diagnostics 2021, 11, 104. [Google Scholar] [CrossRef]
- Yang, Y.; Yan, W.; Guo, Y.; Wang, X.; Zhang, F.; Yua, L.; Guo, C.; Fang, G. Sensitive and selective electrochemical aptasensor via diazonium-coupling reaction for label-free determination of oxytetracycline in milk samples. Sens. Actuat. Rep. 2020, 2, 10009. [Google Scholar] [CrossRef]
- Yu-Cheng Syu, Y.-C.; Hsu, W.-E.; Lin, C.-L. Review—Field-Effect Transistor Biosensing: Devices and Clinical Applications. ECS J. Solid State Sci. Technol. 2018, 7, 3196–3207. [Google Scholar] [CrossRef]
- Vu, C.-A.; Chen, W.-Y. Field-Effect Transistor Biosensors for Biomedical Applications: Recent Advances and Future Prospects. Sensors 2019, 19, 4214. [Google Scholar] [CrossRef] [Green Version]
- Köhler, G.; Milstein, C. Continuous cultures of fused cells secreting antibody of predefined specificity. Nature 1975, 256, 495–497. [Google Scholar] [CrossRef] [PubMed]
- Lu, X.; Bai, H.; He, P.; Cha, Y.; Yang, G.; Tan, L.; Yang, Y. A reagentless amperometric immunosensor for alpha-1-fetoprotein based on gold nanowires and ZnO nanorods modified electrode. Anal. Chim. Acta 2008, 615, 158–164. [Google Scholar] [CrossRef] [PubMed]
- Ibupoto, Z.; Jamal, N.; Khun, K.; Willander, M. Development of a disposable potentiometric antibody immobilized ZnO nanotubes based sensor for the detection of C-reactive protein. Sens. Actuat. B 2012, 166–167, 809–814. [Google Scholar] [CrossRef]
- Gopikrishnan, R.; Zhang, K.; Ravichandran, P.; Baluchamy, S.; Ramesh, V.; Biradar, S.; Ramesh, P.; Pradhan, J.; Hall, J.; Pradhan, A.; et al. Synthesis, Characterization and Biocompatibility Studies of Zinc oxide (ZnO) Nanorods for Biomedical Application. Nano-Micro Lett. 2010, 2, 31–36. [Google Scholar] [CrossRef]
- Zhao, L.H.; Zhang, R.; Zhang, J.; Sun, S.Q. Synthesis and characterization ofbiocompatible ZnO nanoparticles. CrystEngComm 2012, 14, 945–950. [Google Scholar] [CrossRef]
- Zhao, L.H.; Zhang, J.; Sun, S.Q. Stable aqueous ZnO nanoparticles with green photoluminescence and biocompatibility. J. Lumin. 2012, 132, 2595–2598. [Google Scholar] [CrossRef]
- Li, Z.; Yang, R.; Yu, M.; Bai, F.; Li, C.; Wang, Z.L. Cellular Level Biocompatibility and Biosafety of ZnO Nanowires. J. Phys. Chem. C 2008, 112, 20114–20117. [Google Scholar] [CrossRef] [Green Version]
- Ellmer, K.; Klein, A.; Bernd, R. Transparent Conductive Zinc Oxide; Springer: Berlin/Heidelberg, Germany, 2008; ISBN 978-3-540-73611-0. [Google Scholar] [CrossRef]
- Cai, J.; Han, D.; Geng, Y.; Wang, W.; Wang, L.; Zhang, S.; Wang, Y. High-Performance Transparent AZO TFTs Fabricated on Glass Substrate. IEEE Trans. Electron Devices 2013, 60, 2432–2435. [Google Scholar] [CrossRef]
- Yakimova, R.; Selegard, L.; Khranovskyy, V.; Pearce, R.; Spetz, A.L.; Uvdal, K. ZnO materials and surface tailoring for biosensing. Front. Biosci. (Elite Ed.) 2012, 4, 254–278. [Google Scholar] [CrossRef]
- Patou, F.; Dimaki, M.; Kjargaard, C.; Madsen, J.; Svendsen, W.E. System-Level Sensitivity Analysis of SiNW-bioFET-Based Biosensing Using Lock-In Amplification. IEEE Sensors J. 2017, 17, 6295–6311. [Google Scholar] [CrossRef] [Green Version]
- Zhang, Q.; Majumdar, H.S.; Kaisti, M.; Prabhu, A.; Ivaska, A.; Österbacka, R.; Rahman, A.; Levon, K. Surface Functionalization of Ion-Sensitive Floating-Gate Field-Effect Transistors with Organic Electronics. IEEE Trans. Electron Devices 2015, 62, 1291–1298. [Google Scholar] [CrossRef]
- Porrazzo, R.; Bellani, S.; Luzio, A.; Bertarelli, C.; Lanzani, G.; Caironi, M.; Antognazza, M.R. Field-effect and capacitive properties of water-gated transistors based on polythiophene derivatives. APL Mater. 2015, 3, 014905. [Google Scholar] [CrossRef] [Green Version]
- Melzer, K.; Brändlein, M.; Popescu, B.; Popescu, D.; Lugli, P.; Scarpa, G. Characterization and simulation of electrolyte-gated organic field-effect transistors. Faraday Discuss. 2014, 174, 399–411. [Google Scholar] [CrossRef] [PubMed] [Green Version]
- Morrow, R.; McKenzie, D.R. The Time-Dependent Development of Electric Double-Layers in Pure Water at Metal Electrodes: The Effect of an Applied Voltage on the Local PH. Proc. R. Soc. A Math. Phys. Eng. Sci. 2011, 468, 18–34. [Google Scholar] [CrossRef] [Green Version]
- Rubenstein, D.A.; Yin, W.; Frame, M.D. Chapter 7—Mass Transport and Heat Transfer in the Microcirculation. In Biomedical Engineering, Biofluid Mechanics, 2nd ed.; Rubenstein, D.A., Yin, W., Frame, M.D., Eds.; Academic Press: Boston, MA, USA, 2015; pp. 267–309. ISBN 978-0-1280-0944-4. [Google Scholar] [CrossRef]
- Das, J.; Pradhan, S.K.; Sahu, D.R.; Mishra, D.K.; Sarangi, S.N.; Nayak, B.B.; Verma, S.; Roul, B.K. Micro-Raman and XPS Studies of Pure ZnO Ceramics. Phys. B Condens. Matter. 2010, 405, 2492–2497. [Google Scholar] [CrossRef]
- Hsu, J.-C.; Chen, Y.-Y. Comparison of the Optical and Electrical Properties of Al-Doped ZnO Films Using a Lorentz Model. Coatings 2019, 9, 4. [Google Scholar] [CrossRef] [Green Version]
- Henderson, D.; Trokhymchuk, A.D.; Wasan, D.T. Chapter 7—Structure and layering of fluids in thin films. In Emulsions: Structure Stability and Interactions, Interface Science and Technology; Petsev, D.N., Ed.; Elsevier: Amsterdam, The Netherlands, 2004; Volume 4, pp. 259–311. ISBN 978-0-1208-8499-5. [Google Scholar] [CrossRef]
- Barron, J.; Pickett, A.; Glaser, J.; Guha, S. Solution-Processed Organic and ZnO Field-Effect Transistors in Complementary Circuits. Electron. Mater. 2021, 2, 60–71. [Google Scholar] [CrossRef]
- Boubenia, S.; Dahiya, A.S.; Poulin-Vittrant, G.; Morini, F.; Nadaud, K.; Alquier, D. A facile hydrothermal approach for the density tunable growth of ZnO nanowires and their electrical characterizations. Sci. Rep. 2017, 7, 15187. [Google Scholar] [CrossRef] [Green Version]
- Abdelmohsen, A.H.; El Rouby, W.M.A.; Ismail, N.; Ahmed, A.; Farghali, A.A. Morphology Transition Engineering of ZnO Nanorods to Nanoplatelets Grafted Mo8O23-MoO2 by Polyoxometalates: Mechanism and Possible Applicability to other Oxides. Sci. Rep. 2017, 7, 5946. [Google Scholar] [CrossRef]
- Sherbet, G.V.; Lakshmi, M.S.; Cajone, F. Isoelectric characteristics and the secondary structure of some nucleic acids. Biophys. Struct. Mech. 1983, 10, 121–128. [Google Scholar] [CrossRef]
- Cuervo, A.; Dans, P.D.; Carrascosa, J.L.; Orozco, M.; Gomila, G.; Fumagalli, L. Direct measurement of the dielectric polarization properties of DNA. Proc. Natl. Acad. Sci. USA 2014, 111, E3624–E3630. [Google Scholar] [CrossRef] [PubMed] [Green Version]
- Flock, S.; Labarbe, R.; Houssier, C. Dielectric constant and ionic strength effects on DNA precipitation. Biophys. J. 1996, 70, 1456–1465. [Google Scholar] [CrossRef]
- Heyrovska, R. Structures of the Molecular Components in DNA and RNA with Bond Lengths Interpreted as Sums of Atomic Covalent Radii. Open Struct. Biol. J. 2008, 2, 1–7. [Google Scholar] [CrossRef]
- Lorman, V.; Podgornik, R.; Žekš, B. Positional, Reorientational, and Bond Orientational Order in DNA Mesophases. Phys. Rev. Lett. 2001, 87, 218101. [Google Scholar] [CrossRef] [PubMed] [Green Version]
- Ha, B.-Y.; Liu, A.J. Counterion-Mediated Attraction between Two Like-Charged Rods. Phys. Rev. Lett. 1997, 79, 1289–1292. [Google Scholar] [CrossRef]
- Grason, G.M.; Bruinsma, R.F. Frustrated Polyelectrolyte Bundles and T = 0 Josephson-Junction Arrays. Phys. Rev. Lett. 2006, 97, 027802. [Google Scholar] [CrossRef] [Green Version]
- Mok, W.; Li, Y. Recent Progress in Nucleic Acid Aptamer-Based Biosensors and Bioassays. Sensors 2008, 8, 7050–7084. [Google Scholar] [CrossRef]
- Perera, M.M.; Lin, M.-W.; Chuang, H.-J.; Chamlagain, B.P.; Wang, C.; Tan, X.; Chen, M.M.-C.; Tomanek, D.; Zhou, Z. Improved Carrier Mobility in Few-Layer MoS2 Field-Effect Transistors with Ionic-Liquid Gating. ACS Nano 2013, 7, 4449–4458. [Google Scholar] [CrossRef] [Green Version]
- Von Seggern, F.; Keskin, I.; Koos, E.; Kruk, R.; Hahn, H.; Dasgupta, S. Temperature-Dependent Performance of Printed Field-Effect Transistors with Solid Polymer Electrolyte Gating. ACS Appl. Mater. Interfaces 2016, 8, 31757–31763. [Google Scholar] [CrossRef]
- Kergoat, L.; Herlogsson, L.; Braga, D.; Piro, B.; Pham, M.-C.; Crispin, X.; Berggren, M.; Horowitz, G. A Water-Gate Organic Field-Effect Transistor. Adv. Mater. 2010, 22, 2565–2569. [Google Scholar] [CrossRef]
- Jeong, J.; Marques, G.C.; Feng, X.; Boll, D.; Singaraju, S.A.; Aghassi-Hagmann, J.; Hahn, H.; Breitung, B. Ink-Jet Printable, Self-Assembled, and Chemically Crosslinked Ion-Gel as Electrolyte for Thin Film, Printable Transistors. Adv. Mater. Interfaces 2019, 6, 1901074. [Google Scholar] [CrossRef] [Green Version]
- Lago, N.; Buonomo, M.; Imran, S.; Bertani, R.; Wrachien, N.; Bortolozzi, M.; Pedersen, M.G.; Cester, A. TIPS-pentacene as biocompatible material for solution processed high performance electronics operating in water. IEEE Electron. Device Lett. 2018, 39, 1401–1404. [Google Scholar] [CrossRef]
- Porrazzo, R.; Bellani, S.; Luzio, A.; Lanzarini, E.; Caironi, M.; Antognazza, M.R. Improving mobility and electrochemical stability of a water-gated polymer field-effect transistor. Org. Electron. 2014, 15, 2126–2134. [Google Scholar] [CrossRef]






| Dielectric Material (Electrolyte) | Semiconductor Material | Configuration | Electrode Material (D&S/G) | Vth | ION/IOFF | μ (cm2 V−1 s−1) | C (μF cm−2) | Ref. |
|---|---|---|---|---|---|---|---|---|
| (DEME) TFSI | MoS2 | In-plane | Ti/Au | 0.5 | 107 | 60 | 1.55 | [51] |
| LiClO4, PVA, PC | In2O3 | In-plane | ITO/ITO | N/A | 106 | 98.3 | 5.97 | [52] |
| Purified water | P3HT | TGBC | Au/Au | −0.16 | 150 | 5.9 × 10−3 | 3 | [53] |
| PVA, PEMA, DMSO | In2O3 | TGBC | NR/PEDOT:PSS | −0.138 | 1.3 × 106 | N/A | 5.4 | [54] |
| DI water | TIPS-pentacene | TGBC | Au/Pt wire | −0.140 | 100 | 1.3 × 10−2 | 3.8 | [55] |
| 138 mM NaCl | TIPS-pentacene | TGBC | Au/Pt wire | 0.05 | 100 | 1.7 × 10−3 | 1.75 | [55] |
| 0.2 M NaCl | PBTTT (non-annealed) | TGBC | Au/W tip | 0 | 100 | 8 × 10−2 | 0.9 | [56] |
| DI water | Al:ZnO | In-Plane | Cr/Cr | 0.654 | 3 × 103 | 6.85 | 0.04 | This work |
Publisher’s Note: MDPI stays neutral with regard to jurisdictional claims in published maps and institutional affiliations. |
© 2022 by the authors. Licensee MDPI, Basel, Switzerland. This article is an open access article distributed under the terms and conditions of the Creative Commons Attribution (CC BY) license (https://creativecommons.org/licenses/by/4.0/).
Share and Cite
Ogurcovs, A.; Kadiwala, K.; Sledevskis, E.; Krasovska, M.; Plaksenkova, I.; Butanovs, E. Effect of DNA Aptamer Concentration on the Conductivity of a Water-Gated Al:ZnO Thin-Film Transistor-Based Biosensor. Sensors 2022, 22, 3408. https://doi.org/10.3390/s22093408
Ogurcovs A, Kadiwala K, Sledevskis E, Krasovska M, Plaksenkova I, Butanovs E. Effect of DNA Aptamer Concentration on the Conductivity of a Water-Gated Al:ZnO Thin-Film Transistor-Based Biosensor. Sensors. 2022; 22(9):3408. https://doi.org/10.3390/s22093408
Chicago/Turabian StyleOgurcovs, Andrejs, Kevon Kadiwala, Eriks Sledevskis, Marina Krasovska, Ilona Plaksenkova, and Edgars Butanovs. 2022. "Effect of DNA Aptamer Concentration on the Conductivity of a Water-Gated Al:ZnO Thin-Film Transistor-Based Biosensor" Sensors 22, no. 9: 3408. https://doi.org/10.3390/s22093408
APA StyleOgurcovs, A., Kadiwala, K., Sledevskis, E., Krasovska, M., Plaksenkova, I., & Butanovs, E. (2022). Effect of DNA Aptamer Concentration on the Conductivity of a Water-Gated Al:ZnO Thin-Film Transistor-Based Biosensor. Sensors, 22(9), 3408. https://doi.org/10.3390/s22093408

