Enhancing the Radar Cross-Range Resolution in Ultra-Fast Radar Scans by Utilizing Frequency Coded Sub-Channels
Abstract
1. Introduction
2. Concept
2.1. Fundamentals
2.2. Single- and Multi-Target Scenarios
2.2.1. Scenario I
2.2.2. Scenario II
2.2.3. Scenario III
2.2.4. Scenario IV
2.2.5. Scenario V
3. Signal Processing
3.1. Unsupervised Classification
- (1).
- Location of the target in the main beam of antenna a1 (notch at 8.5 GHz)
- (2).
- Location of the target in the main beam of antenna a2 (notch at 11.5 GHz)
- (3).
- Location of the target in the overlap of antenna a1 and a2 (notches at 8.5 GHz and 11.5 GHz).
3.2. Supervised Classification
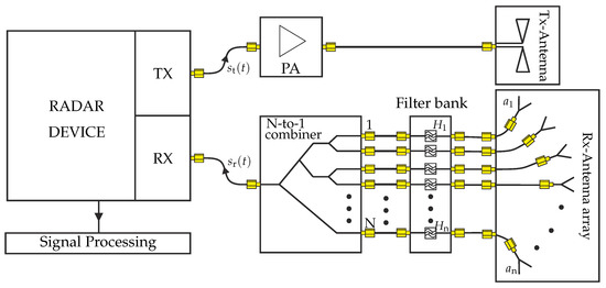
4. Components and System
4.1. Coding Filters
4.1.1. Filter Selection
4.1.2. Simulation and Measurement
4.2. Antennas
4.2.1. Antenna Selection
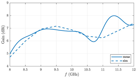
4.2.2. Simulation and Measurement
5. Verification Measurements
5.1. Measurements Scenario and Setup
5.2. Measurement Results
5.3. Detection Accuracy
6. Discussion
7. Conclusions
Author Contributions
Funding
Institutional Review Board Statement
Informed Consent Statement
Data Availability Statement
Acknowledgments
Conflicts of Interest
Abbreviations
| MIMO | Multiple Input Multiple Output |
| RADAR | Radio Detection And Ranging |
| AOI | Area of Interest |
| RX | Receive |
| TX | Transmit |
| FMCW | Frequency-Modulated Continuous Wave |
| RCS | Radar Cross Section |
| LOS | Line Of Sight |
| FT | Fourier Transform |
| IFT | Inverse Fourier Transform |
| LSTM | Long Short Term Memory |
| SGDM | Stochastical Gradient Descent with Momentum |
| HPBW | Half Power Beam Width |
| meas | Measurement |
| sim | Simulation |
References
- Dahl, C.; Schulz, C.; Will, B.; Rolfes, I.; Baer, C.; Musch, T. A feeding concept of a dielectric hemispherical lens antenna for polarimetric radar applications. In Proceedings of the 2013 European Radar Conference, Nuremberg, Germany, 9–11 October 2013; pp. 371–374. [Google Scholar]
- Baer, C.; Musch, T. Radar based Ground Level Reconstruction Utilizing a Hypocycloid Antenna Positioning System. Frequenz 2015, 69, 57–64. [Google Scholar] [CrossRef]
- Baer, C.; Musch, T. Conceptual design of a high gain antenna system with wide range beam steering capability for broadband radar applications. In Proceedings of the 2014 IEEE-APS Topical Conference on Antennas and Propagation in Wireless Communications (APWC), Palm Beach, Aruba, 3–9 August 2014; pp. 730–733. [Google Scholar] [CrossRef]
- Schulz, C.; Will, B.; Rolfes, I.; Pohl, N.; Baer, C.; Musch, T. Characterization of a beam steering lens antenna for industrial radar measurements in harsh environments. In Proceedings of the 2013 European Radar Conference, Nuremberg, Germany, 9–11 October 2013; pp. 117–120. [Google Scholar]
- Singh, A.; Thekkan, P.B.; Gurap, A.; Singh, H.; Nair, R.U. Low RCS Automotive Radar Antenna with Beam Steering Capability. In Proceedings of the 2020 IEEE International Conference on Electronics, Computing and Communication Technologies (CONECCT), Bangalore, India, 2–4 July 2020; pp. 1–4. [Google Scholar] [CrossRef]
- Shafiq, Z.; Podilchak, S.K.; Anagnostou, D.E. Monopulse Antenna in SIW Technology for Beam Steering Applications. In Proceedings of the 2020 IEEE International Symposium on Antennas and Propagation and North American Radio Science Meeting, Montreal, QC, Canada, 5–10 July 2020; pp. 255–256. [Google Scholar] [CrossRef]
- Liu, H.; Gao, S.; Loh, T.H. Compact Dual-Band Antenna With Electronic Beam-Steering and Beamforming Capability. IEEE Antennas Wirel. Propag. Lett. 2011, 10, 1349–1352. [Google Scholar] [CrossRef]
- Tang, J.; Xu, S.; Yang, F.; Li, M. Design and Measurement of a Reconfigurable Transmitarray Antenna With Compact Varactor-Based Phase Shifters. IEEE Antennas Wirel. Propag. Lett. 2021, 20, 1998–2002. [Google Scholar] [CrossRef]
- Artemenko, A.; Mozharovskiy, A.; Maltsev, A.; Maslennikov, R.; Sevastyanov, A.; Ssorin, V. Experimental Characterization of E-Band Two-Dimensional Electronically Beam-Steerable Integrated Lens Antennas. IEEE Antennas Wirel. Propag. Lett. 2013, 12, 188–1191. [Google Scholar] [CrossRef]
- Ali, Q.; Shahzad, W.; Ahmad, I.; Safiq, S.; Bin, X.; Abbas, S.M.; Sun, H. Recent Developments and Challenges on Beam Steering Characteristics of Reconfigurable Transmitarray Antennas. Electronics 2022, 11, 587. [Google Scholar] [CrossRef]
- Litinskaya, Y.A.; Nemshon, A.D.; Stankovsky, A.V.; Polenga, S.V.; Salomatov, Y.P. Experimental research of the antenna array with electronic and combine electronic and mechanical beam steering. In Proceedings of the 2016 International Siberian Conference on Control and Communications (SIBCON), Moscow, Russia, 12–14 May 2016; pp. 1–3. [Google Scholar] [CrossRef][Green Version]
- Rabbani, M.S.; Churm, J.; Feresidis, A. Electro-Mechanically Tunable Meta-Surfaces for Beam-Steered Antennas from mm-Wave to THz. In Proceedings of the 2020 14th European Conference on Antennas and Propagation (EuCAP), Copenhagen, Denmark, 15–20 March 2020; pp. 1–4. [Google Scholar] [CrossRef]
- Pasya, I.; Iwakiri, N.; Kobayashi, T. Performance of joint direction-of-departure and direction-of-arrival estimation in UWB MIMO radars detecting targets with fluctuating radar cross sections. In Proceedings of the 2014 11th European Radar Conference, Rome, Italy, 8–10 October 2014; pp. 277–280. [Google Scholar] [CrossRef]
- Lu, J.; Liu, F.; Liu, H.; Liu, Q. Target Localization Based on High Resolution Mode of MIMO Radar with Widely Separated Antennas. Remote Sens. 2022, 14, 902. [Google Scholar] [CrossRef]
- Pan, J.; Jiang, F. Low Complexity Beamspace Super Resolution for DOA Estimation of Linear Array. Sensors 2020, 20, 2222. [Google Scholar] [CrossRef] [PubMed]
- Wagner, J.; Dahl, H.C.; Rolfes, I.; Barowski, J. Synthetic Aperture Radar Imaging Using MIMO Frequency Modulated Continuous Wave Sensors. In Proceedings of the 2019 IEEE MTT-S International Microwave Workshop Series on Advanced Materials and Processes for RF and THz Applications (IMWS-AMP), Bochum, Germany, 16–18 July 2019; pp. 136–138. [Google Scholar] [CrossRef]
- Dudczyk, J.; Kawalec, A. Adaptive Forming of the Beam Pattern of Microstrip Antenna with the Use of an Artificial Neural Network. Int. J. Antennas Propag. Hindawi Publ. Corp 2012, 2012, 935073. [Google Scholar] [CrossRef]
- Shoykhetbrod, A.; Hommes, A.; Pohl, N. A scanning FMCW-radar system for the detection of fast moving objects. In Proceedings of the 2014 International Radar Conference, Lille, France, 13–17 October 2014; pp. 1–5. [Google Scholar] [CrossRef]
- Geibig, T.; Shoykhetbrod, A.; Hommes, A.; Herschel, R.; Pohl, N. Compact 3D imaging radar based on FMCW driven frequency-scanning antennas. In Proceedings of the 2016 IEEE Radar Conference (RadarConf), Philadelphia, PA, USA, 2–6 May 2016; pp. 1–5. [Google Scholar] [CrossRef]
- Karsch, N.; Baer, C.; Musch, T. Cognitive FMCW-Radar Concept for Ultrafast Spatial Mapping using Frequency Coded Channels. In Proceedings of the European Radar Conference 2022, London, UK, 25–30 September 2022. in print. [Google Scholar]
- Chen, B.; Liu, H.; Bao, Z. PCA and kernel PCA for radar high range resolution profiles recognition. In Proceedings of the IEEE International Radar Conference 2005, Arlington, VA, USA, 9–12 May 2005; pp. 528–533. [Google Scholar] [CrossRef]
- Chen, P.; Wicks, M.C. A procedure for detecting the number of signal components in a radar measurement. In Proceedings of the Record of the IEEE 2000 International Radar Conference [Cat. No. 00CH37037], Alexandria, VA, USA, 12 May 2000; pp. 451–456. [Google Scholar] [CrossRef]
- Hochreiter, S.; Schmidhuber, J. Long short-term memory. Neural Comput. 1997, 9, 1735–1780. [Google Scholar] [CrossRef] [PubMed]
- Jithesh, V.; Sagayaraj, M.J.; Srinivasa, K.G. LSTM recurrent neural networks for high resolution range profile based radar target classification. In Proceedings of the 2017 3rd International Conference on Computational Intelligence & Communication Technology (CICT), Ghaziabad, India, 9–10 February 2017; pp. 1–6. [Google Scholar] [CrossRef]
- Murphy, K.P. Machine Learning: A Probabilistic Perspective; The MIT Press: Cambridge, MA, USA, 2012. [Google Scholar]
- Jachowski, D.R. Passive enhancement of resonator Q in microwave notch filters. In Proceedings of the 2004 IEEE MTT-S International Microwave Symposium Digest (IEEE Cat. No.04CH37535), Fort Worth, TX, USA, 6–11 June 2004; Volume 3, pp. 1315–1318. [Google Scholar] [CrossRef]
- Guyette, A.C.; Hunter, I.C.; Pollard, R.D.; Jachowski, D.R. Perfectly-matched bandstop filters using lossy resonators. In Proceedings of the IEEE MTT-S International Microwave Symposium Digest, Long Beach, CA, USA, 17 June 2005; pp. 517–520. [Google Scholar] [CrossRef]
- Gibson, P.J. The Vivaldi Aerial. In Proceedings of the 1979 9th European Microwave Conference, Brighton, UK, 17–20 September 1979; pp. 101–105. [Google Scholar] [CrossRef]
- Sugawara, S.; Maita, Y.; Adachi, K.; Mori, K.; Mizuno, K. A mm-wave tapered slot antenna with improved radiation pattern. In Proceedings of the 1997 IEEE MTT-S International Microwave Symposium Digest, Denver, CO, USA, 8–13 June 1997; Volume 2, pp. 959–962. [Google Scholar] [CrossRef]

















| Target No. | Coord. (x,y) in m | LOS-Distance R in m | Beam Area |
|---|---|---|---|
| T1 | (0, 30.45) | 30.45 | CB2 |
| T2 | (27.4, 27.4) | 38.75 | OB |
| T3 | (27.4, 0) | 27.4 | CB1 |
| T4 | (12.9, 12.9) | 19.1 | OB |
| T5 | (19.3, 19.3) | 27.4 | OB |
| Scenario No. | T1 | T2 | T3 | T4 | T5 |
|---|---|---|---|---|---|
| 0 | 1 | 1 | 1 | 1 | 1 |
| 1 | 1 | 0 | 0 | 0 | 0 |
| 2 | 0 | 0 | 0 | 1 | 0 |
| 3 | 1 | 0 | 1 | 0 | 0 |
| 4 | 0 | 0 | 1 | 0 | 1 |
| Scenario No. | Accuracy (Unsupervised Method) | Accuracy (Supervised Method) |
|---|---|---|
| I | 38.89% | 85.5% |
| II | 22.73% | 100% |
| III | 0% | 0% |
| IV | 0% | 60.6% |
Publisher’s Note: MDPI stays neutral with regard to jurisdictional claims in published maps and institutional affiliations. |
© 2022 by the authors. Licensee MDPI, Basel, Switzerland. This article is an open access article distributed under the terms and conditions of the Creative Commons Attribution (CC BY) license (https://creativecommons.org/licenses/by/4.0/).
Share and Cite
Baer, C.; Karsch, N.; Kaesbach, R.; Musch, T. Enhancing the Radar Cross-Range Resolution in Ultra-Fast Radar Scans by Utilizing Frequency Coded Sub-Channels. Sensors 2022, 22, 3343. https://doi.org/10.3390/s22093343
Baer C, Karsch N, Kaesbach R, Musch T. Enhancing the Radar Cross-Range Resolution in Ultra-Fast Radar Scans by Utilizing Frequency Coded Sub-Channels. Sensors. 2022; 22(9):3343. https://doi.org/10.3390/s22093343
Chicago/Turabian StyleBaer, Christoph, Nicholas Karsch, Robin Kaesbach, and Thomas Musch. 2022. "Enhancing the Radar Cross-Range Resolution in Ultra-Fast Radar Scans by Utilizing Frequency Coded Sub-Channels" Sensors 22, no. 9: 3343. https://doi.org/10.3390/s22093343
APA StyleBaer, C., Karsch, N., Kaesbach, R., & Musch, T. (2022). Enhancing the Radar Cross-Range Resolution in Ultra-Fast Radar Scans by Utilizing Frequency Coded Sub-Channels. Sensors, 22(9), 3343. https://doi.org/10.3390/s22093343

