Voltammetric Sensor Based on SeO2 Nanoparticles and Surfactants for Indigo Carmine Determination
Abstract
:1. Introduction
2. Materials and Methods
2.1. Reagents
2.2. Apparatus
2.3. Procedures
2.3.1. Sensor Fabrication
2.3.2. Electrochemical Measurements
2.3.3. Evaluation of the Electroactive Surface Area of the Electrodes
2.3.4. Pharmaceutical Dosage Forms Analysis
2.3.5. Statistical Treatment of the Data
3. Results
3.1. Voltammetric Characteristics of Indigo Carmine at the Bare and SeO2-Nanoparticle-Modified Electrodes
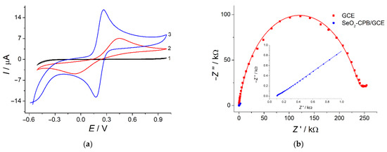
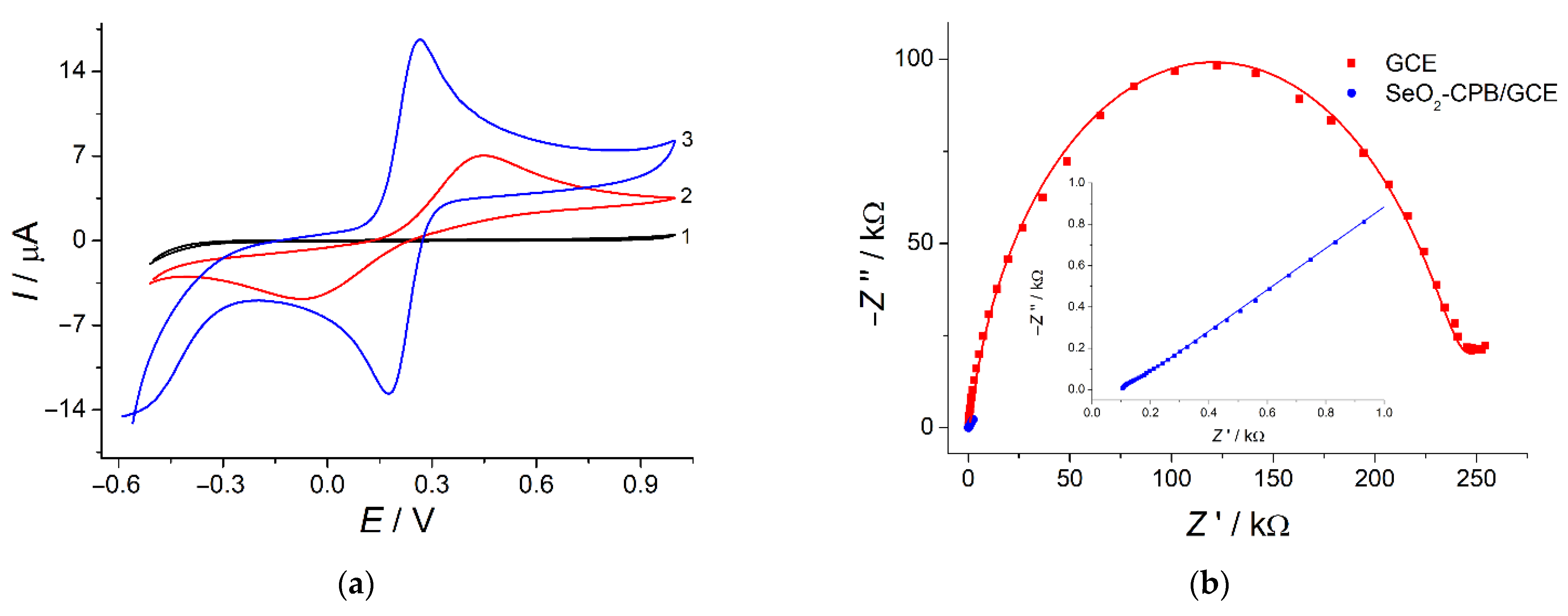
3.2. Microscopic and Electrochemical Characterization of the Electrodes
3.3. Indigo Carmine Electrooxidation Parameters
3.4. Indigo Carmine Sensing Using SeO2 Nanoparticles Modified Electrode
3.5. Application of the Sensor in Pharmaceutical Analysis
4. Conclusions
Supplementary Materials
Author Contributions
Funding
Institutional Review Board Statement
Informed Consent Statement
Data Availability Statement
Acknowledgments
Conflicts of Interest
References
- Sabeela, N.I.; Almutairi, T.M.; Al-Lohedan, H.A.; Ezzat, A.O.; Atta, A.M. Reactive mesoporous pH-sensitive amino-functionalized silica nanoparticles for efficient removal of coomassie blue dye. Nanomaterials 2019, 9, 1721. [Google Scholar] [CrossRef] [PubMed] [Green Version]
- Hamdi, K.; Hébrant, M.; Martin, P.; Galland, B.; Etienne, M. Mesoporous silica nanoparticle film as sorbent for in situ and real-time monitoring of volatile BTX (benzene, toluene and xylenes). Sens. Actuators B 2016, 223, 904–913. [Google Scholar] [CrossRef]
- Darwish, G.H.; Asselin, J.; Tran, M.V.; Gupta, R.; Kim, H.; Boudreau, D.; Algar, W.R. Fully self-assembled silica nanoparticle–semiconductor quantum dot supra-nanoparticles and immunoconjugates for enhanced cellular imaging by microscopy and smartphone camera. ACS Appl. Mater. Interfaces 2020, 12, 33530–33540. [Google Scholar] [CrossRef] [PubMed]
- Ramazani, A.; Asiabi, P.A.; Aghahosseini, H.; Gouranlou, F. Review on the synthesis and functionalization of SiO2 nanoparticles as solid supported catalysts. Curr. Org. Chem. 2017, 21, 908–922. [Google Scholar] [CrossRef]
- El-Desoky, H.; Abdel-Galeila, M.; Khalifa, A. Mesoporous SiO2 (SBA-15) modified graphite electrode as highly sensitive sensor for ultra trace level determination of Dapoxetine hydrochloride drug in human plasma. J. Electroanal. Chem. 2019, 846, 113157. [Google Scholar] [CrossRef]
- Ismail, S.; Yusof, N.A.; Abdullah, J.; Abd Rahman, S.F. Electrochemical detection of arsenite using a silica nanoparticles-modified screen-printed carbon electrode. Materials 2020, 13, 3168. [Google Scholar] [CrossRef]
- Bukkitgar, S.D.; Shetti, N.P.; Kulkarni, R.M.; Churmure, S. Nano-silica modified electrode as a sensor for the determination of mefenamic acid—A voltammetric sensor. Mater. Today Proc. 2018, 5, 21466–21473. [Google Scholar] [CrossRef]
- Mathelié-Guinlet, M.; Cohen-Bouhacina, T.; Gammoudi, I.; Martin, A.; Beven, L.; Delville, M.-H.; Grauby-Heywang, C. Silica nanoparticles-assisted electrochemical biosensor for the rapid, sensitive and specific detection of Escherichia coli. Sens. Actuators B 2019, 292, 314–320. [Google Scholar] [CrossRef]
- Tashkhourian, J.; Nami-Ana, S.F. A sensitive electrochemical sensor for determination of gallic acid based on SiO2 nanoparticle modified carbon paste electrode. Mater. Sci. Eng. C 2015, 52, 103–110. [Google Scholar] [CrossRef]
- Tashkhourian, J.; Daneshi, M.; Nami-Ana, S.F. Simultaneous determination of tyrosine and tryptophan by mesoporous silica nanoparticles modified carbon paste electrode using H-point standard addition method. Anal. Chim. Acta 2016, 902, 89–96. [Google Scholar] [CrossRef]
- Swathi, S.; Rani, B.J.; Ravi, G.; Yuvakkumar, R.; Hong, S.I.; Velauthapillai, D.; Saravanakumar, B.; Thambidurai, M.; Dang, C. Designing rational and cheapest SeO2 electrocatalyst for long stable water splitting process. J. Phys. Chem. Solids 2020, 145, 109544. [Google Scholar] [CrossRef]
- Karuppasamy, P.; Karthika, A.; Senthilkumar, S.; Rajapandian, V. An efficient and highly sensitive amperometric quercetin sensor based on a lotus flower like SeO2 decorated rGO nanocomposite modified glassy carbon electrode. Electrocatalysis 2022, 13, 269–282. [Google Scholar] [CrossRef]
- Kavieva, L.; Ziyatdinova, G. Sensitive voltammetric quantification of carminic acid in candies using selenium dioxide nanoparticles based electrode. Food Chem. 2022, 386, 132851. [Google Scholar] [CrossRef] [PubMed]
- Merinas-Amo, R.; Martínez-Jurado, M.; Jurado-Güeto, S.; Alonso-Moraga, Á.; Merinas-Amo, T. Biological effects of food coloring in in vivo and in vitro model systems. Foods 2019, 8, 176. [Google Scholar] [CrossRef] [PubMed] [Green Version]
- König, J. Food colour additives of synthetic origin. In Colour Additives for Foods and Beverages; Scotter, M.J., Ed.; Woodhead Publishing: Cambridge, UK, 2015; pp. 35–60. [Google Scholar]
- Jang, J.-Y. The past, present, and future of image-enhanced endoscopy. Clin. Endosc. 2015, 48, 466–475. [Google Scholar] [CrossRef]
- EFSA ANS Panel. Scientific opinion on the re-evaluation of indigo carmine (E 132) as a food additive. EFSA J. 2014, 12, 3768. [Google Scholar] [CrossRef]
- Carretero-González, J.; Castillo-Martínez, E.; Armand, M. Highly water-soluble three-redox state organic dyes as bifunctional analytes. Energy Environ. Sci. 2016, 9, 3521–3530. [Google Scholar] [CrossRef]
- Mo, S.; Na, J.; Mo, H.; Chen, L. Voltammetric determination of indigo carmine and amaranth on a silver-based mercury film electrode. Anal. Lett. 1992, 25, 899–909. [Google Scholar] [CrossRef]
- Álvarez, M.J.B.; Abedul, M.T.F.; García, A.C. Flow amperometric detection of indigo for enzyme-linked immunosorbent assays with use of screen-printed electrodes. Anal. Chim. Acta 2002, 462, 31–37. [Google Scholar] [CrossRef]
- Beggiato, G.; Casalbore-Miceli, G.; Geri, A.; Pietropaolo, D. Indigo carmine—An electrochemical study. Ann. Chim. 1993, 83, 355–363. [Google Scholar]
- Díaz-González, M.; Fernández-Sánchez, C.; Costa-García, A. Comparative voltammetric behavior of indigo carmine at screen-printed carbon electrodes. Electroanalysis 2002, 14, 665–970. [Google Scholar] [CrossRef]
- Silva, T.A.; Pereira, G.F.; Fatibello-Filho, O.; Eguiluz, K.I.B.; Salazar-Banda, G.R. Electroanalytical sensing of indigo carmine dye in water samples using a cathodically pretreated boron-doped diamond electrode. J. Electroanal. Chem. 2016, 769, 28–34. [Google Scholar] [CrossRef]
- Deroco, P.B.; Medeiros, R.A.; Rocha-Filho, R.C.; Fatibello-Filho, O. Selective and simultaneous determination of indigo carmine and allura red in candy samples at the nano-concentration range by flow injection analysis with multiple pulse amperometric detection. Food Chem. 2018, 247, 66–72. [Google Scholar] [CrossRef] [PubMed]
- Arvand, M.; Saberi, M.; Ardaki, M.S.; Mohammadi, A. Mediated electrochemical method for the determination of indigo carmine levels in food products. Talanta 2017, 173, 60–68. [Google Scholar] [CrossRef] [PubMed]
- Edwin, D.S.; Manjunatha, J.G.; Raril, C.; Girish, T.; Ravishankar, D.K.; Arpitha, H.J. Electrochemical analysis of indigo carmine using polyarginine modified carbon paste electrode. J. Electrochem. Sci. Eng. 2021, 11, 87–96. [Google Scholar] [CrossRef]
- Manjunatha, J.G.G. A novel poly (glycine) biosensor towards the detection of indigo carmine: A voltammetric study. J. Food Drug Anal. 2018, 26, 292–299. [Google Scholar] [CrossRef]
- Stefan-van Staden, R.-I.; van Staden, J.F. Dot microsensors based on zinc porphyrins and zinc phthalocyanine for the determination of indigo carmine. ECS J. Solid State Sci. Technol. 2020, 9, 041015. [Google Scholar] [CrossRef]
- Hareesha, N.; Manjunatha, J.G.; Amrutha, B.M.; Pushpanjali, P.A.; Charithra, M.M.; Subbaiah, N.P. Electrochemical analysis of indigo carmine in food and water samples using a poly(glutamic acid) layered multi-walled carbon nanotube paste electrode. J. Electron. Mater. 2021, 50, 1230–1238. [Google Scholar] [CrossRef]
- Incebay, H.; Kilic, A. Electrochemical determination of indigo carmine in food and water samples using a novel platform based on chiral amine-bis(phenolate) boron complex. Dye. Pigment. 2022, 197, 109921. [Google Scholar] [CrossRef]
- Bard, A.J.; Faulkner, L.R. Electrochemical Methods: Fundamentals and Applications, 2nd ed.; John Wiley & Sons: New York, NY, USA, 2001; 864p. [Google Scholar]
- Gnanam, S.; Rajendran, V. Influence of various surfactants on size, morphology, and optical properties of CeO2 nanostructures via facile hydrothermal route. J. Nanopart. 2013, 2013, 839391. [Google Scholar] [CrossRef] [Green Version]
- Ziyatdinova, G.; Ziganshina, E.; Romashkina, S.; Budnikov, H. Highly sensitive amperometric sensor for eugenol quantification based on CeO2 nanoparticles and surfactants. Electroanalysis 2017, 29, 1197–1204. [Google Scholar] [CrossRef]
- Karuppiah, S.; Thangaraj, S.; Palaniappan, S.A.; Lakshmanan, S.O. Influence of surfactants on structural, morphological, optical and antibacterial properties of SnO2 nanoparticles. IET Nanobiotechnol. 2019, 13, 952–956. [Google Scholar] [CrossRef] [PubMed]
- Bhattacharjee, A.; Ahmaruzzaman, M.; Sinha, T. Surfactant effects on the synthesis of durable tin-oxide nanoparticles and its exploitation as a recyclable catalyst for the elimination of toxic dye: A green and efficient approach for wastewater treatment. RSC Adv. 2014, 4, 51418–51429. [Google Scholar] [CrossRef]
- Ziyatdinova, G.; Budnikov, H. Carbon nanomaterials and surfactants as electrode surface modifiers in organic electroanalysis. In Nanoanalytics: Nanoobjects and Nanotechnologies in Analytical Chemistry; Shtykov, S.N., Ed.; De Gruyter: Berlin, Germany; Boston, MA, USA, 2018; pp. 223–251. [Google Scholar]
- Ziyatdinova, G.; Yakupova, E.; Davletshin, R. Voltammetric determination of hesperidin on the electrode modified with SnO2 nanoparticles and surfactants. Electroanalysis 2021, 33, 2417–2427. [Google Scholar] [CrossRef]
- Ziyatdinova, G.K.; Zakharova, S.P.; Ziganshina, E.R.; Budnikov, H.C. Voltammetric determination of flavonoids in medicinal plant materials using electrodes modified by cerium dioxide nanoparticles and surfactants. J. Anal. Chem. 2019, 74, 816–824. [Google Scholar] [CrossRef]
- Ziyatdinova, G.; Ziganshina, E.; Shamsevalieva, A.; Budnikov, H. Voltammetric determination of capsaicin using CeO2-surfactant/SWNT-modified electrode. Arab. J. Chem. 2020, 13, 1624–1632. [Google Scholar] [CrossRef]
- Wang, W.; Gu, B.; Liang, L. Effect of surfactants on the formation, morphology, and surface property of synthesized SiO2 nanoparticles. J. Dispers. Sci. Technol. 2005, 25, 593–601. [Google Scholar] [CrossRef]
- Lasia, A. Electrochemical Impedance Spectroscopy and Its Applications; Springer: New York, NY, USA, 2014; 367p. [Google Scholar]











| Electrode | Rs (Ω) | Rct (kΩ) | Q (µΩ−1) | n | W (µΩ−1) | χ2 |
|---|---|---|---|---|---|---|
| GCE | 93 ± 3 | 232 ± 7 | 0.198 ± 0.003 | 0.898 | 62 ± 3 | 0.040 |
| SeO2–CPB/GCE | 104 ± 5 | 0.046 ± 0.005 | 5.2 ± 0.3 | 0.936 | 394 ± 6 | 0.032 |
| Sensor | Detection Mode | Limit of Detection (µM) | Linear Dynamic Range (µM) | Ref. |
|---|---|---|---|---|
| Silver-based mercury film electrode | AdSV 1 | - | 0–0.21 | [19] |
| Screen-printed electrode | Flow amperometry | 0.033 | 0.05–100 | [20] |
| Screen-printed carbon electrodes | CV 2 | 0.19 | 0.5–100 | [22] |
| DPV 3 | 0.17 | 0.2–20 | ||
| SWV 4 | 0.34 | 0.7–10 | ||
| ACV 5 | 0.032 | 0.06–0.7 | ||
| Cathodically pretreated boron-doped diamond electrode | SWV | 0.058 | 0.5–84.1 | [23] |
| FIA-MPA 6 | 0.040 | 0.07–1.0 | [24] | |
| 4-(4-Nitrophenilazo)N-benzyl,N-ethylaniline—CPE 7 | DPV | 0.36 | 1–100 | [25] |
| Polyarginine/CPE | DPV | 0.0253 | 0.2–1.0 and 1.5–3.5 | [26] |
| Polyglycine/CPE | CV | 0.011 | 2–10 and 15–60 | [27] |
| Zinc tetraphenylporphyrin—Graphite PDM 8 | DPV | 3.87 × 10−8 | 1.00 × 10−6–1.00 × 10−4 | [28] |
| Zinc tetranaphthoporphyrin—Graphite PDM | 2.30 × 10−6 | 1.00 × 10−4–1.00 × 10−2 | ||
| Zinc tetrasulphophenylporphyrin—Graphite PDM | 1.65 × 10−6 | 1.00 × 10−6–1.00 × 10−4 | ||
| Zinc phthalocyanine—Graphite PDM | 4.26 × 10−5 | 1.00 × 10−3–1.00 × 10−1 | ||
| Zinc tetraphenylporphyrin—Diamond PDM | 0.0796 | 0.010–10 | ||
| Zinc tetranaphthoporphyrin—Diamond PDM | 1.20 × 10−5 | 1.00 × 10−4–1.00 × 10−2 | ||
| Zinc tetrasulphophenylporphyrin—PDM | 0.0012 | 0.010–10 | ||
| Zinc phthalocyanine—Diamond PDM | 0.0333 | 0.010–1.0 | ||
| Poly(glutamic acid)/MWNT 9—based paste electrode | DPV | 0.36 | 5.0–50 | [29] |
| Chiral amine bis(phenolate) boron complex containing N,N-diethyl-p-phenylenediamine—carboxylated MWNT/GCE | SWV | 0.019 | 0.1–30 | [30] |
| SeO2 nanoparticles—CPB/GCE | DPV | 0.0043 | 0.025–1.0 1.0–10 | Current |
| Added (µg) | Oxidation Current (µA) | Found (µg) | RSD (%) | Recovery (%) |
|---|---|---|---|---|
| 0.0583 | 0.005 ± 0.0002 | 0.058 ± 0.001 | 1.0 | 99 ± 1 |
| 0.233 | 0.046 ± 0.002 | 0.23 ± 0.01 | 1.8 | 100 ± 2 |
| 1.75 | 0.41 ± 0.01 | 1.74 ± 0.03 | 1.3 | 99 ± 2 |
| 11.7 | 1.06 ± 0.03 | 11.7 ± 0.3 | 2.1 | 100 ± 2 |
| 23.3 | 1.7 ± 0.03 | 23.3 ± 0.2 | 0.65 | 99.8 ± 0.8 |
| Sample | Spiked (nM) | Found (nM) | RSD (%) | Recovery (%) |
|---|---|---|---|---|
| Vitamin tablets | 0 | 38 ± 2 | 3.9 | |
| 19 | 57 ± 2 | 2.4 | 100 | |
| 38 | 76 ± 1 | 1.5 | 100 | |
| Lozenges | 0 | 80 ± 2 | 1.9 | |
| 40 | 120 ± 3 | 2.4 | 100 | |
| 80 | 159 ± 3 | 0.72 | 99.4 | |
| Capsules | 0 | 147 ± 7 | 3.8 | |
| 73.5 | 219 ± 8 | 1.4 | 99.3 | |
| 147 | 292 ± 8 | 1.8 | 99.3 |
| Sample Type | № | Labelled Amount (mg) | Found by Voltammetry (mg) | RSD (%) | Found by Spectrophotometry (mg) | RSD (%) | t-Test 1 | F-Test 2 |
|---|---|---|---|---|---|---|---|---|
| Vitamin tablets | - | 0.0047 ± 0.0003 | 4.4 | 0.0051 ± 0.0003 | 4.5 | 1.97 | 1.21 | |
| Lozenges | 1 | 0.015 | 0.0150 ± 0.0004 | 2.3 | 0.0148 ± 0.0003 | 1.5 | 0.976 | 2.07 |
| 2 | 0.031 | 0.0311 ± 0.0009 | 2.3 | 0.0313 ± 0.0009 | 2.4 | 0.559 | 1.12 | |
| Capsules | - | 0.055 ± 0.002 | 3.7 | 0.053 ± 0.002 | 2.7 | 1.31 | 0.810 |
Publisher’s Note: MDPI stays neutral with regard to jurisdictional claims in published maps and institutional affiliations. |
© 2022 by the authors. Licensee MDPI, Basel, Switzerland. This article is an open access article distributed under the terms and conditions of the Creative Commons Attribution (CC BY) license (https://creativecommons.org/licenses/by/4.0/).
Share and Cite
Kavieva, L.; Ziyatdinova, G. Voltammetric Sensor Based on SeO2 Nanoparticles and Surfactants for Indigo Carmine Determination. Sensors 2022, 22, 3224. https://doi.org/10.3390/s22093224
Kavieva L, Ziyatdinova G. Voltammetric Sensor Based on SeO2 Nanoparticles and Surfactants for Indigo Carmine Determination. Sensors. 2022; 22(9):3224. https://doi.org/10.3390/s22093224
Chicago/Turabian StyleKavieva, Liya, and Guzel Ziyatdinova. 2022. "Voltammetric Sensor Based on SeO2 Nanoparticles and Surfactants for Indigo Carmine Determination" Sensors 22, no. 9: 3224. https://doi.org/10.3390/s22093224
APA StyleKavieva, L., & Ziyatdinova, G. (2022). Voltammetric Sensor Based on SeO2 Nanoparticles and Surfactants for Indigo Carmine Determination. Sensors, 22(9), 3224. https://doi.org/10.3390/s22093224

