Calculation of Capacitive-Based Sensors of Rotating Shaft Vibration for Fault Diagnostic Systems of Powerful Generators
Abstract
:1. Introduction
2. Materials and Methods
2.1. Principle of Rotating Shaft Vibration Measurement
2.2. Capacitive-Based Sensors with Concentric Electrodes for Rotating Shaft Vibration Measurement System
3. Results
3.1. Determination of Ratios for Calculating the Optimal Geometric Dimensions of the Radius for the Potential Electrode of the Sensor with Concentric Electrodes
3.2. Determination of Ratios for Calculating the Optimal Geometric Dimensions of the Radius for the Guard Electrode of the Sensor
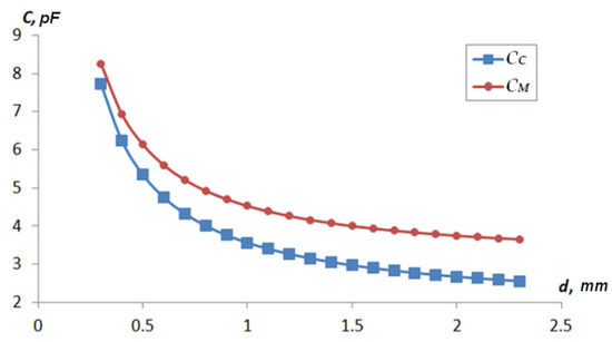
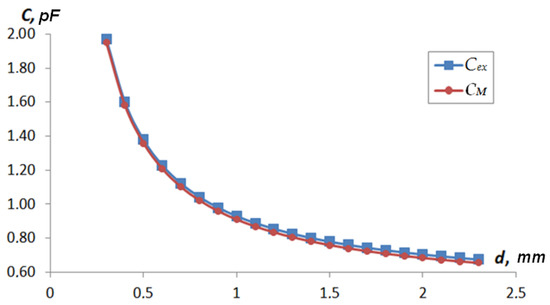
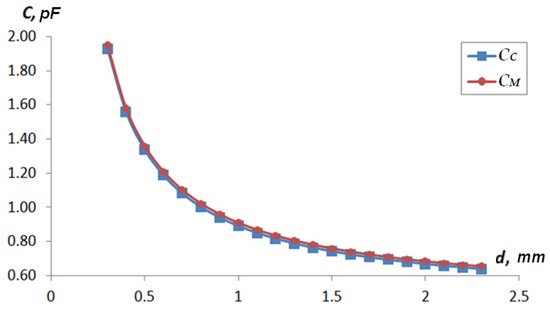
3.3. Definition of the Response Function Use Computer Simulation
3.4. Determination of Error by the Fringe Effect
4. Conclusions
Author Contributions
Funding
Institutional Review Board Statement
Informed Consent Statement
Data Availability Statement
Acknowledgments
Conflicts of Interest
References
- Alekseev, B.A. Determination of the State of Large Hydrogenerators; Publishing House NTs ENAS: Moscow, Russia, 2002. [Google Scholar]
- Alekseev, B.A. Determination of the State of Large Turbine Generators; Publishing House NTs ENAS: Moscow, Russia, 2001. [Google Scholar]
- Harris, C.M.; Piersol, A.G. Harris’s Shock and Vibration Handbook, 5th ed.; McGraw-Hill: New York, NY, USA, 2002. [Google Scholar]
- Kolgiri, S.G.; Sudarshan, D.M.; Nitin, S.M. Stress Analysis for Rotor Shaft of Electric Motor. Int. J. Appl. Innov. Eng. Manag. 2013, 2, 57–70. [Google Scholar]
- Childs, P.R.N. Mechanical Design Engineering Handbook; Butterworth-Heinemann Elsevier Ltd.: Oxford, UK, 2014. [Google Scholar]
- Vibration Sensors and Their Importance in Vibration Monitoring of Rotating and/or Reciprocating Machines. Available online: https://www.omega.com/en-us/resources/vibration-sensors-in-vibration-monitoring (accessed on 18 November 2021).
- Muhammad, R.J.; Khaled, S.A.R. Vibration Measurement of a Rotating Shaft using Electrostatic Sensor. Int. J. Recent Technol. Eng. 2021, 10, 97–105. [Google Scholar]
- Forged Rotor Shaft for Steam Turbine, DOA 22/2/2015. Steam Turbine Shaft. Available online: http://www.weiku.com/products/15466195/forged_turbine_rotor_shaft.html (accessed on 18 November 2021).
- Zaitsev, I.; Levytskyi, A.; Bereznychenko, V. Hybrid Diagnostics Systems for Power Generators Faults: Systems Design Principle and Shaft Run-Out Sensors. In Power Systems Research and Operation: Selected Problems; Kyrylenko, O., Zharkin, A., Butkevych, O., Blinov, I., Zaitsev, I., Zaporozhets, A., Eds.; Springer: Cham, Switzerland, 2021; Volume 4, pp. 71–98. [Google Scholar] [CrossRef]
- Levitsky, A.S.; Bereznichenko, V.O.; Zaitsev, I.O. Modern Systems of Vibration Diagnostics of Hydraulic Units with Meters of Absolute and Relative Vibration of Shafts. Hydropower Ukr. 2021, 1–2, 57–66. [Google Scholar]
- Brito, G.C.; Machado, R.D.; Chaves, N.A.; Mateus, F.M. Experimental Aspects in the Vibration-Based Condition Monitoring of Large Hydrogenerators. Int. J. Rotating Mach. 2017, 2017, 1805051. [Google Scholar] [CrossRef]
- Condition Monitoring Solutions for Hydroelectric Power Generation. Available online: https://dam.bakerhughesds.com/m/65bbcaf2f9e27e6a/original/BHCS13978-Hydro_Brochure_R2-pdf.pdf (accessed on 18 November 2021).
- Schastlivyy, G.G.; Timoshik, A.M. Evaluation of the Technical and Economical Mill of Turbine Generators, Which Resulted in the Establishment of the Resource. Energy Electrif. 2004, 1, 2–8. [Google Scholar]
- Eddy Current Proximity Sensor PES-110. Available online: https://www.vibrosystm.com/en/product/pes-110 (accessed on 18 March 2021).
- Schastlivyy, G.G. Current State and Prospects of Research to Ensure the Reliability of Powerful Power Electric Machines; Nauk. Dumka: Kyiv, Ukraine, 1984. [Google Scholar]
- Zaitsev, I.O. Shaft Run-Out Optical Remote Sensing System for Large Generator Fault Diagnosis. In Proceedings of the Ukraine International Conference on Electrical and Computer Engineering (UKRCON-2021), Lviv, Ukraine, 26–28 August 2019; pp. 339–342. [Google Scholar] [CrossRef]
- Baxter, L.K. Capacitive Sensors: Design and Applications; IEEE Press: New York, NY, USA, 1997. [Google Scholar]
- Zaitsev, I.O.; Levytskyi, A.S.; Kromplyas, B.A. Capacitive Distance Sensor with Coplanar Electrodes for Large Turbogenerator Core Clamping System. In Proceedings of the 2019 IEEE 39th International Conference on Electronics and Nanotechnology (ELNANO), Kiev, Ukraine, 16–18 April 2019; pp. 644–647. [Google Scholar] [CrossRef]
- Zaitsev, I.; Levytskyi, A.; Kromplyas, B.; Panchyk, M.; Bereznychenko, V. Study Influence Industrial Frequency Magnetic Field on Capacitive Pressing Sensor for Large Turbogenerator Core Clamping System. In Proceedings of the 2019 IEEE Ukraine International Conference on Electrical and Computer Engineering (UKRCON-2019), Lviv, Ukraine, 2–6 July 2019; pp. 566–569. [Google Scholar] [CrossRef]
- Mamishev, A.V. Interdigital Dielectrometry Sensor Design and Parameter Estimation Algorithms for Non-Destructive Materials Evaluation; MIT: Cambridge, UK, 1999; 709 c. [Google Scholar]
- Jezhora, A.A. Elektroemkostnye Preobrazovateli i Metody Ikh Rascheta; Belorus. Nauka: Minsk, Belarus, 2007. [Google Scholar]
- Xiaohui, H.; Wuqiang, Y. Planar Capacitive Sensors—Designs and Applications. Sens. Rev. 2010, 30, 24–39. [Google Scholar] [CrossRef] [Green Version]
- Mamishev, A.V.; Sundara-Rajan, K.; Yang, F.; Du, Y.; Zahn, M. Interdigital Sensors and Transducers. Proc. IEEE 2004, 92, 808–845. [Google Scholar] [CrossRef] [Green Version]
- Cheng, H.; Yihui, Z.; Xian, H.; John, A.R.; Yonggang, H. Analysis of a Concentric Coplanar Capacitor for Epidermal Hydration Sensing. Sens. Actuators 2013, 203, 149–153. [Google Scholar] [CrossRef]
- Amr, A.N.; Wael, W. Improved Interdigital Sensors for Structural Health Monitoring of Composite Retrofit Systems. J. Reinf. Plast. Compos. 2011, 30, 621–629. [Google Scholar] [CrossRef]
- Chen, T. Capacitive Sensors for Measuring Complex Permittivity of Planar and Cylindrical Structures; Iowa State University: Ames, IA, USA, 2012. [Google Scholar]
- Sheiretov, Y.; Zahn, M. Modeling of Spatially Periodic Dielectric Sensors in the Presence of a Top Ground Plane Bounding the Test Dielectric. IEEE Trans. Dielectr. Electr. Insul. 2005, 12, 993–1004. [Google Scholar] [CrossRef]
- Li, X.; Larson, S.; Zyuzin, A.; Mamishev, A.V. Design Principles for Multicuhannel Fringing Electric Field Sensors. IEEE Sens. J. 2006, 6, 434–440. [Google Scholar] [CrossRef]
- Chen, T.; Bowler, N. Analysis of a Concentric Coplanar Capacitive Sensor for Non-destructive Evaluation of Multi-layered Dielectric Structures. IEEE Trans. Dielectr. Electr. Insul. 2010, 17, 1307–1318. [Google Scholar] [CrossRef]
- Nassr, A.A.; Ahmed, W.H.; El-Dakhakhni, W.W. Coplanar Capacitance Sensors for Detecting Water Intrusion in Composite Structures. Meas. Sci. Technol. 2008, 19, 1–7. [Google Scholar] [CrossRef]
- IEC 60308:2005; Hydraulic Turbines—Testing of Control Systems. International Electrotechnical Commission: Geneve, Switzerland, 2017; p. 83.
- ISO 13373:2017; Condition Monitoring and Diagnostics of Machines. Vibration Condition Monitoring. International Organization for Standardization: Geneve, Switzerland, 2017.
- ISO 13374:2007; Condition Monitoring and Diagnostics of Machines. Data Processing, Communication and Presentation. International Organization for Standardization: Geneve, Switzerland, 2007; p. 70.
- ISO 13381-1:2015; Condition Monitoring and Diagnostics of Machines. Prognosics. Part 1: General Guidelines. International Organization for Standardization: Geneve, Switzerland, 2015; p. 21.
- ISO 20816-1:2016; Mechanical Vibration. Measurement and Evaluation of Machine Vibration. Part 1: General Guidelines ISO 79. International Organization for Standardization: Geneve, Switzerland, 2018; p. 60.
- ISO 7919-5:2005; Mechanical Vibration. Evaluation of Machine Vibration by Measurements on Rotating Shafts. Part 5: Machine Sets in Hydraulic Power Generating and Pumping Plants. International Organization for Standardization: Geneve, Switzerland, 2005; p. 16.
- ISO 10817-1:1998; Rotating Shaft Vibration Measuring Systems—Part 1: Relative and Absolute Sensing of Radial Vibration. International Organization for Standardization: Geneve, Switzerland, 1998.
- IEEE Std. 492-1999 (R2011); Guide for Operation and Maintenance of Hydro-Generators. IEEE: Piscataway, NJ, USA, 1999; p. 70. [CrossRef]
- SHP/TG 003-1: 2019; Technical Guidelines for the Development of Small Hydropower Plants Units. Part 1: Hydraulic Turbines. UNIDO: Vienna, Austria, 2019; p. 35. Available online: https://www.unido.org/our-focus-safeguarding-environment-clean-energy-access-productive-use-renewable-energy-focus-areas-small-hydro-power/shp-technical-guidelines (accessed on 25 December 2021).
- Levitsky, A.S.; Zaitsev, I.O.; Bereznichenko, V.O. Relative and Absolute Radial Vibration of the Shaft of the Vertical Hydraulic Unit. Hydropower Ukr. 2019, 3–4, 68–72. [Google Scholar]
- PCS-200 ESB Measuring Chains with LIN-300 Serial Signal Front End Installation Manual. Available online: https://www.vibrosystm.com/en/documents/pdf?f=en/Manuals/9428-25I2A-31 (accessed on 18 November 2021).
- Nowicki, R.; Macvaugh, R. XY Measurements for Radial Position and Dynamic Motion in Hydro Turbine Generators. Orbit 2010, 30, 32–39. [Google Scholar]
- CoDiS PMU Portable Monitoring Unit. Available online: https://irispower.com/products/codis-pmu/ (accessed on 1 October 2021).
- ISO 8042:1988; Shock and Vibration Measurements. Characteristics to be Specified for Seismic Pick-Ups. International Organization for Standardization: Geneve, Switzerland, 2007.
- ISO 5348:1998; Mechanical Vibration and Shock—Mechanical Mounting of Accelerometers. International Organization for Standardization: Geneve, Switzerland, 1998.
- Bronshtein, I.N.; Semendyaev, K.A. Metematics for Engineers and Students: Handbook; Science: Moscow, Russia, 1981. [Google Scholar]
- Zaitsev, I.O.; Levytskyi, A.S.; Novik, A.I.; Bereznychenko, V.O.; Smyrnova, A.M. Research of a Capacitive Distance Sensor to Grounded Surface. Telecommun. Radio Eng. 2019, 78, 173–180. [Google Scholar] [CrossRef]
- Levitsky, A.S. Calculation of the error from the non-linearity of the capacitive displacement sensor. Tech. Electrodyn. 1987, 4, 91–94. [Google Scholar]
- Levitsky, A.S.; Novik, A.I. Reduction of systematic error of the capacitive sensor of shaft ron-out. Tech. Electrodyn. 2011, 1, 83–87. [Google Scholar]
- Levytskyi, A.S.; Fedorenko, G.M.; Gruboj, O.P. Monitoring of the Status of Powerful Hydro and Turbine Generators Using Capacitive Meter for the Parameters of Mechanical Defects; IED NANU Publ.: Kyiv, Ukraine, 2011. [Google Scholar]
- Levitsky, A.S.; Novik, A.I. Estimation of the Error in Measuring the Beatings of the Shafts of Electrical Machines by Capacitive Sensors. Tech. Electrodyn. 2010, 4, 66–70. [Google Scholar]
- Grinevich, F.B.; Novik, A.I. Measuring Compensation-Bridge Devices with Capacitive Sensors; Nauk. Dumka: Kiev, Russia, 1987. [Google Scholar]
- Levitsky, A.S.; Lezhoev, R.S.; Novik, A.I. Differential-capacitive Measuring Transducers with a Linear Transformation Function. Tech. Electrodyn. 1983, 6, 94–99. [Google Scholar]
- Iijima, T. A Consideration on the Guard Ring Width of a Standard for Small Capacitance. Bull. Electrotechn. Lab. 1956, 2, 901–906. [Google Scholar]
















| Type1 | Type2 | |||
|---|---|---|---|---|
| d, mm | CC, pF | CM, pF | CC, pF | CM, pF |
| 0.3 | 7.72 | 8.26 | 1.48 | 1.95 |
| 0.4 | 6.23 | 6.93 | 1.11 | 1.58 |
| 0.5 | 5.34 | 6.14 | 0.89 | 1.36 |
| 0.6 | 4.75 | 5.60 | 0.74 | 1.21 |
| 0.7 | 4.33 | 5.21 | 0.64 | 1.10 |
| 0.8 | 4.01 | 4.92 | 0.56 | 1.02 |
| 0.9 | 3.76 | 4.70 | 0.49 | 0.96 |
| 1 | 3.56 | 4.53 | 0.45 | 0.91 |
| 1.1 | 3.40 | 4.38 | 0.40 | 0.87 |
| 1.2 | 3.27 | 4.26 | 0.37 | 0.83 |
| 1.3 | 3.15 | 4.16 | 0.34 | 0.81 |
| 1.4 | 3.05 | 4.07 | 0.32 | 0.78 |
| 1.5 | 2.97 | 4.00 | 0.30 | 0.76 |
| 1.6 | 2.89 | 3.93 | 0.28 | 0.74 |
| 1.7 | 2.83 | 3.88 | 0.26 | 0.72 |
| 1.8 | 2.77 | 3.83 | 0.25 | 0.71 |
| 1.9 | 2.72 | 3.79 | 0.23 | 0.70 |
| 2 | 2.67 | 3.75 | 0.22 | 0.68 |
| 2.1 | 2.63 | 3.71 | 0.21 | 0.67 |
| 2.2 | 2.59 | 3.68 | 0.20 | 0.66 |
| 2.3 | 2.56 | 3.65 | 0.19 | 0.65 |
Publisher’s Note: MDPI stays neutral with regard to jurisdictional claims in published maps and institutional affiliations. |
© 2022 by the authors. Licensee MDPI, Basel, Switzerland. This article is an open access article distributed under the terms and conditions of the Creative Commons Attribution (CC BY) license (https://creativecommons.org/licenses/by/4.0/).
Share and Cite
Zaitsev, I.; Bereznychenko, V.; Bajaj, M.; Taha, I.B.M.; Belkhier, Y.; Titko, V.; Kamel, S. Calculation of Capacitive-Based Sensors of Rotating Shaft Vibration for Fault Diagnostic Systems of Powerful Generators. Sensors 2022, 22, 1634. https://doi.org/10.3390/s22041634
Zaitsev I, Bereznychenko V, Bajaj M, Taha IBM, Belkhier Y, Titko V, Kamel S. Calculation of Capacitive-Based Sensors of Rotating Shaft Vibration for Fault Diagnostic Systems of Powerful Generators. Sensors. 2022; 22(4):1634. https://doi.org/10.3390/s22041634
Chicago/Turabian StyleZaitsev, Ievgen, Victoriia Bereznychenko, Mohit Bajaj, Ibrahim B. M. Taha, Youcef Belkhier, Vladyslav Titko, and Salah Kamel. 2022. "Calculation of Capacitive-Based Sensors of Rotating Shaft Vibration for Fault Diagnostic Systems of Powerful Generators" Sensors 22, no. 4: 1634. https://doi.org/10.3390/s22041634
APA StyleZaitsev, I., Bereznychenko, V., Bajaj, M., Taha, I. B. M., Belkhier, Y., Titko, V., & Kamel, S. (2022). Calculation of Capacitive-Based Sensors of Rotating Shaft Vibration for Fault Diagnostic Systems of Powerful Generators. Sensors, 22(4), 1634. https://doi.org/10.3390/s22041634

