Single-Channel Blind Signal Separation of the MHD Linear Vibration Sensor Based on Singular Spectrum Analysis and Fast Independent Component Analysis
Abstract
1. Introduction
2. The Working Principle of the MHD Linear Vibration Sensor
3. Single-Channel Blind Signal Separation Based on SSA and FastICA
3.1. Principle of SSA
3.2. FastICA Algorithm
3.3. The Single-Channel MHD Linear Vibration Signal Blind Source Separation Method Based on SSA and FastICA
4. Experimental Analysis and Verification
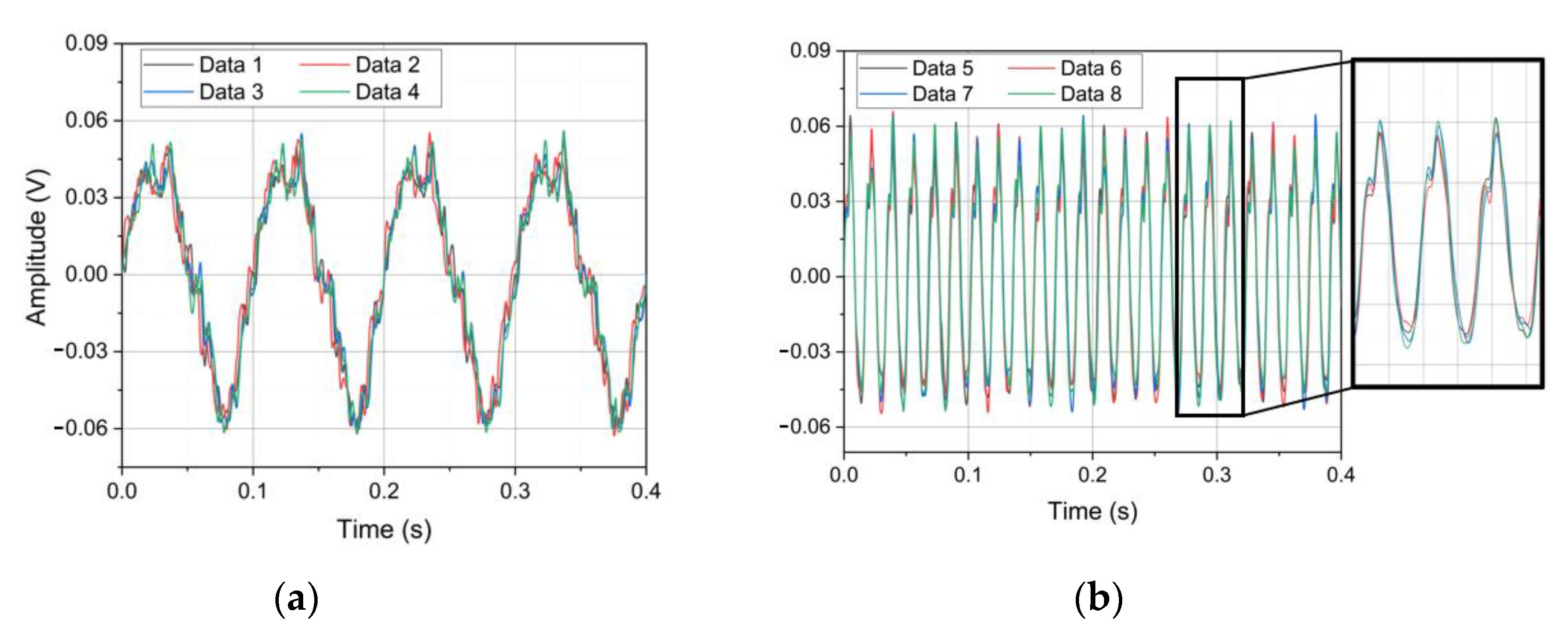
4.1. Signal Collected of the MHD Linear Vibration Sensor
4.2. The Collected MHD Linear Vibration Signal Is Denoised
4.3. Collection Signal Noise Reduction and Re-Separation
5. Conclusions
- The self-made MHD linear vibration sensor possesses the advantages of no mechanical wear between internal firmware and no additional power supply. However, its limitation is that it is not suitable for constant speed measurement.
- For mixed signals containing multiple narrowband noise signals, there is a large difference between the signals directly separated by the ICA algorithm and the source signal. For the collection signal with more noise, noise reduction is needed to improve the SNR.
- Compared with the processing methods of EEMD, VMD, and wavelet threshold noise reduction, the SSA algorithm can effectively suppress the narrowband periodic interference and white noise in the mixed signal, improve the SNR of the acquired signal, and effectively retain the useful information of the signal while reducing noise.
- The proposed SSA-FastICA algorithm can effectively solve the problem of blind source separation and the extraction of the single-channel MHD linear vibration signals to minimize the dynamic measurement error. Thus, it shows that the SSA-FastICA method can be effective in single-channel MHD linear vibration signal separation and processing.
Author Contributions
Funding
Acknowledgments
Conflicts of Interest
References
- Addari, D.; Aglietti, G.S.; Remedia, M. Experimental and numerical investigation of coupled microvibration dynamics for satellite reaction wheels. J. Sound. Vib. 2017, 386, 225–241. [Google Scholar] [CrossRef]
- Xu, M.; Li, X.; Wu, T.; Chen, C.; Ji, Y. Error analysis of theoretical model of angular velocity sensor based on magnetohydrodynamics at low frequency. Sens. Actuators A Phys. 2015, 226, 116–125. [Google Scholar] [CrossRef]
- Ji, Y.; Li, X.; Wu, T.; Chen, C. Modified analytical model of magnetohydrodynamics angular rate sensor for low-frequency compensation. Sens. Rev. 2016, 36, 193–199. [Google Scholar] [CrossRef]
- Ji, Y.; Li, X.; Wu, T.; Chen, C. Theoretical and Experimental Study of Radial Velocity Generation for Extending Bandwidth of Magnetohydrodynamic Angular Rate Sensor at Low Frequency. Sensors 2015, 15, 31606–31619. [Google Scholar] [CrossRef] [PubMed]
- Rejer, I.; Gorski, P. MAICA: An ICA-based method for source separation in a low-channel EEG recording. J. Neural Eng. 2019, 16, 056025. [Google Scholar] [CrossRef] [PubMed]
- Albera, L.; Kachenoura, A.; Comon, P.; Karfoul, A.; Wendling, F.; Senhadji, L.; Merlet, I. ICA-based EEG denoising: A comparative analysis of fifteen methods. B. Pol. Acad. Sci-Tech. 2012, 60, 407–418. [Google Scholar] [CrossRef]
- Debals, O.; De Lathauwer, L. Stochastic and Deterministic Tensorization for Blind Signal Separation. In International Conference on Latent Variable Analysis and Signal Separation; Springer: Cham, Switzerland, 2015; pp. 3–13. [Google Scholar]
- Kopsinis, Y.; McLaughlin, S. Development of EMD-Based Denoising Methods Inspired by Wavelet Thresholding. IEEE Trans. Signal Process. 2009, 57, 1351–1362. [Google Scholar] [CrossRef]
- Jing-yi, L.; Hong, L.; Dong, Y.; Yan-sheng, Z. A New Wavelet Threshold Function and Denoising Application. Math. Probl. Eng. 2016, 2016, 3195492. [Google Scholar] [CrossRef]
- Maddirala, A.K.; Shaik, R.A. Separation of Sources from Single-Channel EEG Signals Using Independent Component Analysis. IEEE Trans. Instrum. Meas. 2018, 67, 382–393. [Google Scholar] [CrossRef]
- Zhou, M.; Zhao, H.; Xia, H.; Zhang, J.; Liu, Z.; Liu, C.; Gao, F. De-noising of photoacoustic sensing and imaging based on combined empirical mode decomposition and independent component analysis. J. Biophotonics 2019, 12, e201900042. [Google Scholar] [CrossRef]
- Jin, T.; Li, Q.; Mohamed, M.A. A Novel Adaptive EEMD Method for Switchgear Partial Discharge Signal Denoising. IEEE Access 2019, 7, 58139–58147. [Google Scholar] [CrossRef]
- Mika, D.; Budzik, G.; Jozwik, J. Single Channel Source Separation with ICA-Based Time-Frequency Decomposition. Sensors 2020, 20, 2019. [Google Scholar] [CrossRef] [PubMed]
- Liu, J.; Gao, W. Vibration Signal Analysis of Water Seal Blasting Based on Wavelet Threshold Denoising and HHT Transformation. Adv. Civ. Eng. 2020, 2020, 4381480. [Google Scholar] [CrossRef]
- Zhou, Y.; Fu, W.; Shi, F.; Zhang, X.; Zheng, X. Improved Single-Channel Blind Source Separation Algorithm based on Variational Mode Decomposition. Res. Sq. 2021. [Google Scholar] [CrossRef]
- Zou, L.; Chen, X.; Dang, G.; Guo, Y.; Wang, Z.J. Removing Muscle Artifacts from EEG Data via Underdetermined Joint Blind Source Separation: A Simulation Study. IEEE Trans. Circuits Syst. II Express Briefs 2020, 67, 187–191. [Google Scholar] [CrossRef]
- Guo, Y.; Huang, S.; Li, Y. Single-Mixture Source Separation Using Dimensionality Reduction of Ensemble Empirical Mode Decomposition and Independent Component Analysis. Circ. Syst. Signal. Pr. 2012, 31, 2047–2060. [Google Scholar] [CrossRef]
- He, P.; She, T.; Li, W.; Yuan, W. Single channel blind source separation on the instantaneous mixed signal of multiple dynamic sources. Mech. Syst. Signal. Pr. 2018, 113, 22–35. [Google Scholar] [CrossRef]
- Fu, J.; Cai, F.; Guo, Y.; Liu, H.; Niu, W. An Improved VMD-Based Denoising Method for Time Domain Load Signal Combining Wavelet with Singular Spectrum Analysis. Math. Probl. Eng. 2020, 2020, 1485937. [Google Scholar] [CrossRef]
- Li, B.; Zhang, L.; Zhang, Q.; Yang, S. An EEMD-Based Denoising Method for Seismic Signal of High Arch Dam Combining Wavelet with Singular Spectrum Analysis. Shock. Vib. 2019, 2019, 4937595. [Google Scholar] [CrossRef]
- Yang, Q.; Wang, K.; Ma, Y.; Wu, J.; Zhu, Q.; Gu, Y.; Qi, H. Design parameters analysis and verification of angular vibration sensor based on magnetohydrodynamics. Int. J. Metrol. Qual. Eng. 2021, 12, 2. [Google Scholar]
- Cheng, J.; Sacchi, M.D. Separation and reconstruction of simultaneous source data via iterative rank reduction. Geophysics 2015, 80, V57–V66. [Google Scholar] [CrossRef]
- Gómez, D.O.; Mininni, P.D.; Dmitruk, P. MHD simulations and astrophysical applications. Adv. Space Res. 2005, 35, 899–907. [Google Scholar] [CrossRef]
- Koochi, A.; Abadyan, M.; Gholami, S. Electromagnetic instability analysis of nano-sensor. Eur. Phys. J. Plus 2021, 136, 44. [Google Scholar] [CrossRef]
- Smolentsev, S. MHD duct flows under hydrodynamic “slip” condition. Theor. Comput. Fluid Dyn. 2009, 23, 557–570. [Google Scholar] [CrossRef]
- Koochi, A.; Abadian, F.; Rezaei, M.; Abadyan, M. Electromagnetic instability of electromechanical nano-bridge incorporating surface energy and size dependency. Phys. E Low-Dimens. Syst. Nanostructures 2021, 129, 114643. [Google Scholar] [CrossRef]
- Koochi, A.; Goharimanesh, M.; Gharib, M.R. Nonlocal electromagnetic instability of carbon nanotube-based nano-sensor. Math. Methods Appl. Sci. 2021. [Google Scholar] [CrossRef]
- Daprà, I.; Scarpi, G. Couette–Poiseuille flow of the Giesekus model between parallel plates. Rheol. Acta 2008, 48, 117–120. [Google Scholar] [CrossRef]
- Cheng, J.; Li, L.; Li, C.; Liu, Y.; Liu, A.; Qian, R.; Chen, X. Remove Diverse Artifacts Simultaneously from a Single-Channel EEG Based on SSA and ICA: A Semi-Simulated Study. IEEE Access 2019, 7, 60276–60289. [Google Scholar] [CrossRef]
- He, X.; He, F.; He, A. Super-Gaussian BSS Using Fast-ICA with Chebyshev–Pade Approximant. Circ. Syst. Signal. Pr. 2017, 37, 305–341. [Google Scholar] [CrossRef]
- Chai, T.; Draxler, R.R. Root mean square error (RMSE) or mean absolute error (MAE)?—Arguments against avoiding RMSE in the literature. Geosci. Model Dev. 2014, 7, 1247–1250. [Google Scholar] [CrossRef]










| Parameters | Parameters Setting |
|---|---|
| 0 g 4-h short-term stability | ≤20 μg |
| 1 g 4-h short-term stability | ≤20 ppg |
| Partial value synthetic repeatability | ≤40 μg |
| Scale factor synthesis repeatability | ≤50 ppg |
| Comprehensive repeatability of nonlinear coefficient | ≤±20 μg/g2 |
| Partial temperature coefficient | ≤±30 μg/°C |
| Scale factor temperature coefficient | ≤50 ppg/°C |
| Noise | ≤4 mV |
| Denoising Algorithm | Collected Signal 1 | Collected Signal 2 | Collected Signal 3 | Collected Signal 4 |
|---|---|---|---|---|
| EEMD | 10.7121 | 0.7196 | 4.0292 | 0.8049 |
| VMD | 34.9907 | 10.1769 | 17.5607 | 11.3256 |
| Wavelet Threshold Denoising | 33.1645 | 11.3181 | 32.2446 | 11.1439 |
| SSA | 58.6428 | 23.1137 | 52.4412 | 21.5621 |
| Serial Number | Collected Signal 1 | Collected Signal 2 | Collected Signal 3 | Collected Signal 4 |
|---|---|---|---|---|
| Separated Signal 1 | 2.61% | 13.67% | 1.68% | 9.02% |
| Separated Signal 2 | 98.45% | 98.82% | 2.59% | 99.26% |
| Separated Signal 3 | 3.20% | 4.60% | 16.31% | 4.53% |
| Separated Signal 4 | 11.98% | 1.54% | −6.35% | 0.88% |
| Separated Signal 5 | 11.86% | −3.50% | 6.97% | 3.89% |
| Separated Signal 6 | 1.54% | 2.20% | 98.15% | −4.93% |
| Collected Signal 1 | Collected Signal 2 | Collected Signal 3 | Collected Signal 4 | |
|---|---|---|---|---|
| Similarity Factor (max) | 98.45% | 98.82% | 98.15% | 99.26% |
Publisher’s Note: MDPI stays neutral with regard to jurisdictional claims in published maps and institutional affiliations. |
© 2022 by the authors. Licensee MDPI, Basel, Switzerland. This article is an open access article distributed under the terms and conditions of the Creative Commons Attribution (CC BY) license (https://creativecommons.org/licenses/by/4.0/).
Share and Cite
Xu, M.; Wang, J.; Mo, J.; Li, X.; Yang, L.; Ji, F. Single-Channel Blind Signal Separation of the MHD Linear Vibration Sensor Based on Singular Spectrum Analysis and Fast Independent Component Analysis. Sensors 2022, 22, 9657. https://doi.org/10.3390/s22249657
Xu M, Wang J, Mo J, Li X, Yang L, Ji F. Single-Channel Blind Signal Separation of the MHD Linear Vibration Sensor Based on Singular Spectrum Analysis and Fast Independent Component Analysis. Sensors. 2022; 22(24):9657. https://doi.org/10.3390/s22249657
Chicago/Turabian StyleXu, Mengjie, Jianhan Wang, Jiahui Mo, Xingfei Li, Lei Yang, and Feng Ji. 2022. "Single-Channel Blind Signal Separation of the MHD Linear Vibration Sensor Based on Singular Spectrum Analysis and Fast Independent Component Analysis" Sensors 22, no. 24: 9657. https://doi.org/10.3390/s22249657
APA StyleXu, M., Wang, J., Mo, J., Li, X., Yang, L., & Ji, F. (2022). Single-Channel Blind Signal Separation of the MHD Linear Vibration Sensor Based on Singular Spectrum Analysis and Fast Independent Component Analysis. Sensors, 22(24), 9657. https://doi.org/10.3390/s22249657
