Low-Cost Sensor for Continuous Measurement of Brix in Liquids
Abstract
1. Introduction
2. Methodology
2.1. Principle of Measurement
2.2. Pressure Sensor Selection
2.3. Sensor Design
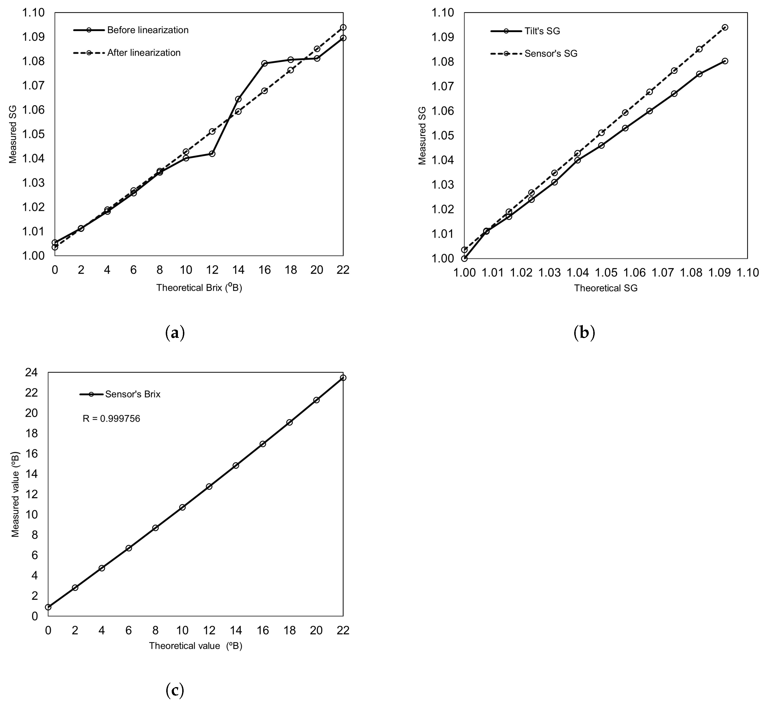
2.4. Linearization
3. Experimental Setup and Results
3.1. Sugar Monitoring
Results and Discussion
3.2. Fermentation Monitoring
Results and Discussion
4. Conclusions
Author Contributions
Funding
Institutional Review Board Statement
Informed Consent Statement
Data Availability Statement
Conflicts of Interest
References
- Dongare, M.; Buchade, P.; Awatade, M.; Shaligram, A. Mathematical modeling and simulation of refractive index based Brix measurement system. Optik 2014, 125, 946–949. [Google Scholar] [CrossRef]
- Elewa, M.; El-Saady, G.; Ibrahim, K.; Tawfek, M.; Elhossieny, H. A novel Method for Brix Measuring in raw Sugar Solution. Egypt. Sugar J. 2020, 15, 69–86. [Google Scholar] [CrossRef]
- Zubiate, P.; Zamarreño, C.; Matias, I.; Arregui, F. Optical fiber °brix sensor based on lossy mode resonances (LMRs). In Proceedings of the SENSORS, 2014 IEEE, Valencia, Spain, 2–5 November 2014; pp. 36–38. [Google Scholar]
- Jaywant, S.A.; Singh, H.; Arif, K.M. Sensors and Instruments for Brix Measurement: A Review. Sensors 2022, 22, 2290. [Google Scholar] [CrossRef] [PubMed]
- Susanti, N.D.; Rohman, A.S.; Rusmin, P.H.; Pristianto, E.J. Design of ethanol concentration measurement system using specific gravity approach for batch distillation column automation. In Proceedings of the 2019 International Conference on Radar, Antenna, Microwave, Electronics, and Telecommunications (ICRAMET), Serpong, Indonesia, 23–24 October 2019; IEEE: Piscataway, NJ, USA, 2019; pp. 148–151. [Google Scholar]
- Resa, P.; Elvira, L.; de Espinosa, F.M. Concentration control in alcoholic fermentation processes from ultrasonic velocity measurements. Food Res. Int. 2004, 37, 587–594. [Google Scholar] [CrossRef]
- Vaddadi, V.S.C.S.; Parne, S.R.; Vijeesh, V.; Gandi, S.; Cenkeramaddi, L.R. Design and Implementation of Density Sensor for Liquids Using Fiber Bragg Grating Sensor. IEEE Photonics J. 2021, 14, 1–6. [Google Scholar] [CrossRef]
- Wang, T.; Baker, R. Coriolis flowmeters: A review of developments over the past 20 years, and an assessment of the state of the art and likely future directions. Flow Meas. Instrum. 2014, 40, 99–123. [Google Scholar] [CrossRef]
- Niu, Z.; Zhao, Y.; Tian, B.; Guo, F. The novel measurement method of liquid level and density in airtight container. Rev. Sci. Instruments 2012, 83, 125108. [Google Scholar] [CrossRef] [PubMed]
- Dodevska, T.; Lazarova, Y.; Shterev, I. Amperometric biosensors for glucose and lactate with applications in food analysis: A brief review. Acta Chim. Slov. 2019, 66, 762–776. [Google Scholar] [CrossRef] [PubMed]
- Magwaza, L.S.; Opara, U.L. Analytical methods for determination of sugars and sweetness of horticultural products—A review. Sci. Hortic. 2015, 184, 179–192. [Google Scholar] [CrossRef]
- Peña-Perez, L.M.; Pedraza-Ortega, J.C.; Ramos-Arreguin, J.M.; Tovar-Arriaga, S.; Aceves-Fernandez, M.A.; Becerra, L.O.; Gorrostieta-Hurtado, E.; Vargas-Soto, J.E. Alignment of the Measurement Scale Mark during Immersion Hydrometer Calibration Using an Image Processing System. Sensors 2013, 13, 14367–14397. [Google Scholar] [CrossRef] [PubMed]
- Lorefice, S.; Malengo, A. Calibration of hydrometers. Meas. Sci. Technol. 2006, 17, 2560. [Google Scholar] [CrossRef]
- Beullens, K.; Kirsanov, D.; Irudayaraj, J.; Rudnitskaya, A.; Legin, A.; Nicolaï, B.M.; Lammertyn, J. The electronic tongue and ATR–FTIR for rapid detection of sugars and acids in tomatoes. Sens. Actuators B Chem. 2006, 116, 107–115. [Google Scholar] [CrossRef]
- Bett-Garber, K.L.; Watson, M.A.; Lea, J.M.; Bai, J.; Baldwin, E.; Raithore, S. Efficacy of monitoring the sensory taste characteristics in pomegranate juice with electronic tongue and chemical measurements. J. Food Qual. 2014, 37, 383–394. [Google Scholar] [CrossRef]
- Campos, I.; Bataller, R.; Armero, R.; Gandia, J.M.; Soto, J.; Martínez-Máñez, R.; Gil-Sánchez, L. Monitoring grape ripeness using a voltammetric electronic tongue. Food Res. Int. 2013, 54, 1369–1375. [Google Scholar] [CrossRef]
- Cozzolino, D.; Dambergs, R.; Janik, L.; Cynkar, W.; Gishen, M. Analysis of grapes and wine by near infrared spectroscopy. J. Near Infrared Spectrosc. 2006, 14, 279–289. [Google Scholar] [CrossRef]
- Giovenzana, V.; Beghi, R.; Guidetti, R. Rapid evaluation of craft beer quality during fermentation process by vis/NIR spectroscopy. J. Food Eng. 2014, 142, 80–86. [Google Scholar] [CrossRef]
- Cozzolino, D.; Parker, M.; Dambergs, R.G.; Herderich, M.; Gishen, M. Chemometrics and visible-near infrared spectroscopic monitoring of red wine fermentation in a pilot scale. Biotechnol. Bioeng. 2006, 95, 1101–1107. [Google Scholar] [CrossRef] [PubMed]
- Lamberti, N.; Ardia, L.; Cinquanta, L.; Albanese, D.; Di Matteo, M. An ultrasound technique for monitoring the alcoholic wine fermentation: First experimental results. In Proceedings of the 7th Italian Conference on Chemical and Process Engineering (ICHEAP 7), Giardini di Naxos, Italy, 15–18 May 2005; Volume 2, pp. 983–988. [Google Scholar]
- Becker, T.; Mitzscherling, M.; Delgado, A. Ultrasonic velocity–a noninvasive method for the determination of density during beer fermentation. Eng. Life Sci. 2001, 1, 61–67. [Google Scholar] [CrossRef]
- Lamberti, N.; Ardia, L.; Albanese, D.; Di Matteo, M. An ultrasound technique for monitoring the alcoholic wine fermentation. Ultrasonics 2009, 49, 94–97. [Google Scholar] [CrossRef] [PubMed]
- O’Banion, T. Coriolis: The direct approach to mass flow measurement. Chem. Eng. Prog. 2013, 109, 41–46. [Google Scholar]
- Scrimgeour, N. Evaluating the Viability of Process Sensor Technologies for Measurement of Sugar Levels during Fermentation. Technical Report, Australian Wine Research Institute. 2015. Available online: https://www.wineaustralia.com/getmedia/d0e6cb2f-102e-4783-88f1-d291acbb169a/AWR-1401-Final-Report1 (accessed on 22 October 2022).
- Esmaili, P.; Cavedo, F.; Norgia, M. Differential pressure based liquid level measurement in sloshing condition. In Proceedings of the 2018 IEEE International Instrumentation and Measurement Technology Conference (I2MTC), Houston, TX, USA, 14–17 May 2018; IEEE: Piscataway, NJ, USA, 2018; pp. 1–6. [Google Scholar]
- Kaminski, C. Refractometers. 2003. Available online: https://byo.com/article/refractometers/ (accessed on 8 November 2022).
- Tilt Hydrometer and Thermometer. Available online: https://tilthydrometer.com/ (accessed on 22 October 2022).
- O’Neill, B.; Van Heeswijck, T.; Muhlack, R. Models for predicting wine fermentation kinetics. In Proceedings of the CHEMECA 2011, Sydney, Australia, 18–21 September 2011. [Google Scholar]
- Assar, R.; Vargas, F.A.; Sherman, D.J. Reconciling competing models: A case study of wine fermentation kinetics. In Algebraic and Numeric Biology; Springer: Berlin/Heidelberg, Germany, 2012; pp. 98–116. [Google Scholar]










| Sr. No. | Manufacturer | Part No. | Pressure Type | Output | Cost USD |
|---|---|---|---|---|---|
| 1 | TE connectivity, Berwyn, PA, USA | 86BSD015PG-3AIC | 0–15 psi gauge | I2C | 74.5 |
| 2 | TE connectivity, Berwyn, PA, USA | 86-015G-C | 0–15 psi gauge | 0–100 mV | 93.64 |
| 3 | Honeywell, Houston, TX, USA | MPRLS0025-PA00001A | 0–25 psi absolute | I2C | 16.33 |
| Parameter | Value | Units |
|---|---|---|
| Pressure range | 0 to 10 | PSI |
| Zero presput | 666 | Count Hex |
| Full scale pressure output | 399A | Count Hex |
| Accuracy | +/− 0.25 | %Span |
| Total error band | +/− 1 | %Span |
| Pressure resolution | 0.008 | %Span |
| Input voltage range | 3.3 (typical) | V |
| 2.7 (min) | V | |
| 2.7 (max) | V | |
| Supply current | 3 | mA |
| Load resistance | 10 (min) | k |
| Operating temperature | −40 to 125 | °C |
| Output pressure resolution | 14 (max) | Bits |
| Interface type | I2C | – |
| Linear Polynomial | SSE | R2 | RMSE |
|---|---|---|---|
| Y = 0.9830x + 0.0073 | 0.3855 × 10−4 | 0.969366376 | 0.001792504 |
| Std Pressure | Sensor 1 | Sensor 2 | Sensor 3 | Sensor 4 | Sensor 5 | Sensor 6 |
|---|---|---|---|---|---|---|
| 0 | 0.1 | 0.1 | 0 | 0 | 0 | 0 |
| 1 | 1.1 | 1.1 | 1 | 1 | 1 | 1 |
| 2 | 2.1 | 2.1 | 2 | 2 | 2 | 2 |
| 3 | 3.1 | 3.1 | 3 | 3 | 3 | 3 |
| 4 | 4.2 | 4.2 | 4 | 4 | 4 | 4 |
| 5 | 5.2 | 5.2 | 5.1 | 5 | 5 | 5 |
| 6 | 6.2 | 6.2 | 6.1 | 6.1 | 6.1 | 6.1 |
| 7 | 7.2 | 7.2 | 7.1 | 7.1 | 7.1 | 7.1 |
| 8 | 8.2 | 8.2 | 8.2 | 8.2 | 8.2 | 8.2 |
| 9 | 9.3 | 9.3 | 9.2 | 9.2 | 9.2 | 9.2 |
| 10 | 10.3 | 10.3 | 10.2 | 10.2 | 10.2 | 10.2 |
| Sugar | Theoretical | Tilt Hydrometer | Proposed Sensor | |||
|---|---|---|---|---|---|---|
| Concentration gm/mL | SG | Brix | SG | Brix | SG | Brix |
| 0 | 1.0000 | 0 | 1.000 | 0.000 | 1.0035 | 0.8818 |
| 2 | 1.0078 | 2 | 1.011 | 2.750 | 1.0112 | 2.7985 |
| 4 | 1.0157 | 4 | 1.017 | 4.250 | 1.0190 | 4.7399 |
| 6 | 1.0237 | 6 | 1.024 | 6.000 | 1.0268 | 6.7058 |
| 8 | 1.0318 | 8 | 1.031 | 7.750 | 1.0348 | 8.6963 |
| 10 | 1.0400 | 10 | 1.040 | 10.000 | 1.0428 | 10.7114 |
| 12 | 1.0484 | 12 | 1.046 | 11.500 | 1.0511 | 12.7757 |
| 14 | 1.0568 | 14 | 1.053 | 13.250 | 1.0594 | 14.8399 |
| 16 | 1.0654 | 16 | 1.060 | 15.000 | 1.0678 | 16.9533 |
| 18 | 1.0741 | 18 | 1.067 | 16.750 | 1.0764 | 19.0912 |
| 20 | 1.0830 | 20 | 1.075 | 18.750 | 1.0851 | 21.2783 |
| 22 | 1.0920 | 22 | 1.080 | 20.083 | 1.0940 | 23.4900 |
| No. of | Hydrometer | Tilt | Proposed Brix Sensor | ||
|---|---|---|---|---|---|
| 1/2 Days | Reading | Hydrometer | 250 mm | 500 mm | 750 mm |
| 0 | 1.0848 | 1.084 | 1.0862 | 1.0853 | 1.086 |
| 1 | 1.0848 | 1.084 | 1.0779 | 1.0772 | 1.0763 |
| 2 | 1.0428 | 1.030 | 1.0558 | 1.0490 | 1.0474 |
| 3 | 1.0048 | 1.003 | 1.0061 | 1.0035 | 1.0043 |
| 4 | 1.0028 | 1.002 | 1.0024 | 1.0006 | 1.0023 |
| 5 | 1.0028 | 1.002 | 0.9973 | 0.9986 | 1.0006 |
| 6 | 1.0028 | 1.003 | 0.9958 | 0.9978 | 1.0000 |
| 7 | 0.9828 | 0.999 | 0.9931 | 0.9970 | 0.9992 |
| 8 | 0.9828 | 0.999 | 0.9932 | 0.9970 | 0.9988 |
| 9 | 0.9828 | 0.999 | 0.9921 | 0.9967 | 0.9987 |
| 10 | 0.9828 | 0.999 | 0.9895 | 0.9956 | 0.9976 |
| 11 | 0.9828 | 0.999 | 0.9895 | 0.9946 | 0.9975 |
| 12 | 0.9828 | 0.999 | 0.9879 | 0.9936 | 0.9961 |
Publisher’s Note: MDPI stays neutral with regard to jurisdictional claims in published maps and institutional affiliations. |
© 2022 by the authors. Licensee MDPI, Basel, Switzerland. This article is an open access article distributed under the terms and conditions of the Creative Commons Attribution (CC BY) license (https://creativecommons.org/licenses/by/4.0/).
Share and Cite
Jaywant, S.A.; Singh, H.; Arif, K.M. Low-Cost Sensor for Continuous Measurement of Brix in Liquids. Sensors 2022, 22, 9169. https://doi.org/10.3390/s22239169
Jaywant SA, Singh H, Arif KM. Low-Cost Sensor for Continuous Measurement of Brix in Liquids. Sensors. 2022; 22(23):9169. https://doi.org/10.3390/s22239169
Chicago/Turabian StyleJaywant, Swapna A., Harshpreet Singh, and Khalid Mahmood Arif. 2022. "Low-Cost Sensor for Continuous Measurement of Brix in Liquids" Sensors 22, no. 23: 9169. https://doi.org/10.3390/s22239169
APA StyleJaywant, S. A., Singh, H., & Arif, K. M. (2022). Low-Cost Sensor for Continuous Measurement of Brix in Liquids. Sensors, 22(23), 9169. https://doi.org/10.3390/s22239169

