Characterization of Infants’ General Movements Using a Commercial RGB-Depth Sensor and a Deep Neural Network Tracking Processing Tool: An Exploratory Study
Abstract
:1. Introduction
2. Materials and Methods
2.1. RGB and Depth Images Acquisition and Time Alignment Refinement
- The timestamp of an RGB image was closer to one or more RGB image timestamps than the closest depth image timestamp. Countermeasure: a gap of the proper number of frames was inserted in the sequence of depth frames;
- The timestamp of a depth image was closer to one or more depth image timestamps than the closest RGB image timestamp. Countermeasure: a gap of the proper number of frames is inserted in the sequence of RGB frames;
- The difference between the RGB and depth image timestamp was less than half the duration of the nominal sampling interval (<17 ms). The two frames were considered time aligned.
2.2. 2D Tracking Algorithm
2.3. Depth Reconstruction and 3D Coordinates Estimation
- the RGB location of a tracked PoI falling over the “black area” in the corresponding depth image, therefore lacking depth information (Figure 2a);
- PoI occlusions corrupting the estimation of PoI 3D positions. Since the tracking algorithm determines PoI locations exclusively from RGB information, the estimated location of a PoI could fall over a body segment covering the PoI in the RGB image (as when the head covers a shoulder). In such cases the estimate of the relevant depth coordinate would be affected by an error equal to the distance, along the depth direction, between the surfaces of the two body parts. To compensate for this error, the prediction confidence level values provided by the tracking software were used. The depth values obtained for frames with a confidence level lower than 0.6 were not considered (Figure 2b);
- a residual spatial misalignment between RGB and depth images causing errors in the estimation of the tracked PoI depth coordinate. Such a misalignment is responsible for errors in estimating depth coordinates when a tracked PoI is near a substantial depth discontinuity (Figure 2c). To compensate for the consequences of this error, the following procedure was implemented: the first derivative of the PoI depth coordinate was calculated; when its value was higher than a threshold value set based on the physical limits of the subject motion speed, the relevant depth value was removed.

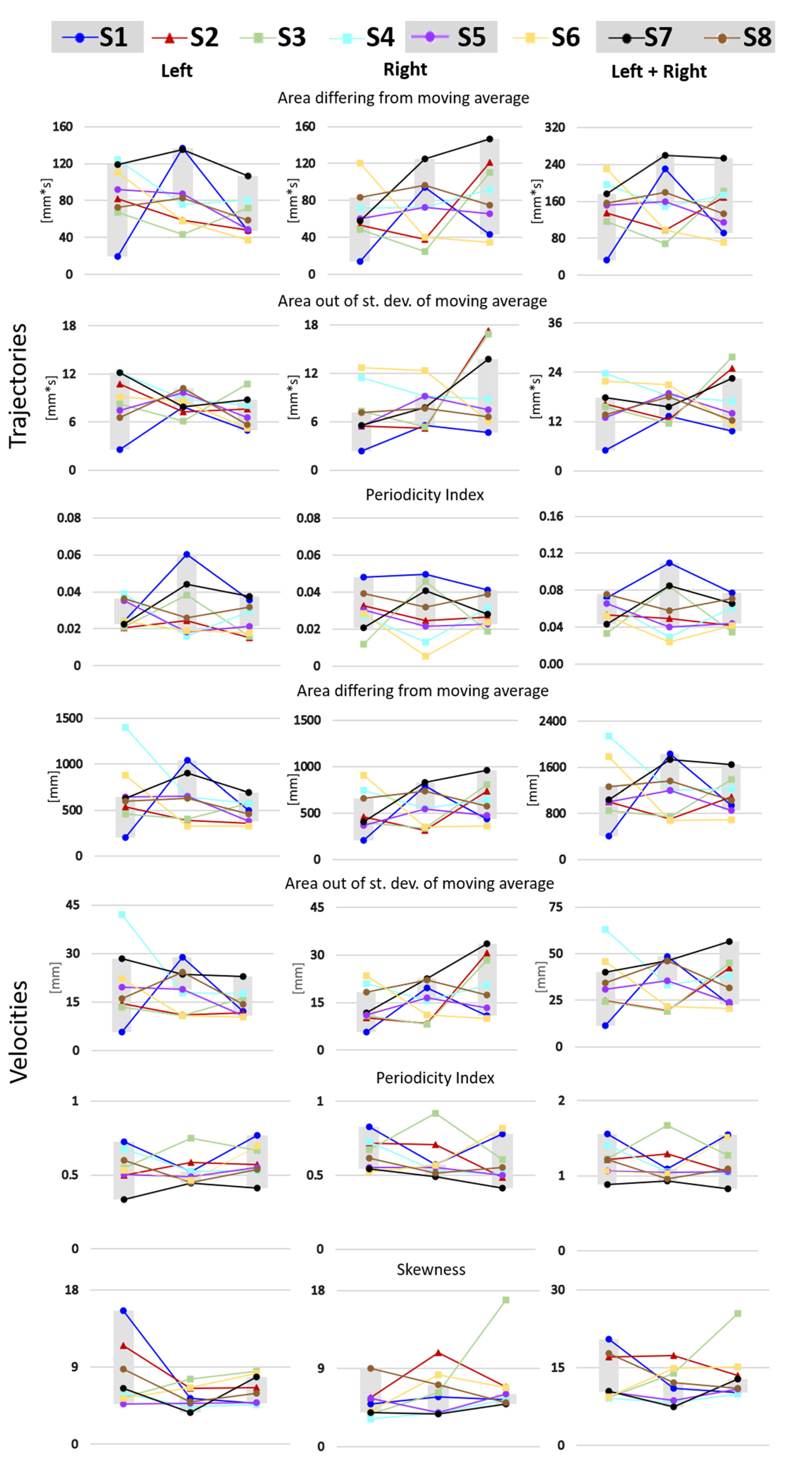
2.4. Kinematic Parameters and Metrics Estimation
- area in which the trajectories of the wrists differed from the moving average for the same trajectories, normalized with respect to the length of the moving average window (two seconds);
- area in which the trajectories of the wrists were outside of the standard deviation of the moving average for the same trajectories, normalized with respect to the samples in which the trajectories were outside the standard deviation (no information regarding the normalization was provided in the reference work);
- periodicity in the wrist trajectories;
- area in which the speed profiles of the wrists differed from the moving average for the velocity profiles, normalized with respect to the length of the moving average window (2 s);
- area in which the speed profiles of the wrists were outside of the standard deviation of the moving average for the velocity profiles, normalized with respect to the length of the moving average window (2 s);
- periodicity in the wrist velocities;
- the skewness of the velocities of the wrists;
- the cross-correlation of accelerations between left and right wrists.
3. Results
4. Discussion
5. Conclusions
Author Contributions
Funding
Institutional Review Board Statement
Informed Consent Statement
Data Availability Statement
Acknowledgments
Conflicts of Interest
Appendix A
| Left Side | Right Side | ||||||||||||||
|---|---|---|---|---|---|---|---|---|---|---|---|---|---|---|---|
| Trajectory | Velocity | Trajectory | Velocity | ||||||||||||
| Sub | M | Area 1 [mm∙s] | Area 2 [mm∙s] | PI | Area 1 [mm] | Area 2 [mm] | PI | Sk. | Area 1 [mm∙s] | Area 2 [mm∙s] | PI | Area 1 [mm] | Area 2 [mm] | PI | Sk. |
| S1 | 3 | 19 | 2.5 | 0.024 | 203 | 5.6 | 0.724 | 15.61 | 14 | 2.4 | 0.048 | 203 | 5.6 | 0.829 | 4.91 |
| 4 | 137 | 7.9 | 0.060 | 1043 | 28.8 | 0.521 | 5.31 | 94 | 5.5 | 0.049 | 787 | 19.7 | 0.572 | 5.75 | |
| 5 | 47 | 5.0 | 0.036 | 500 | 12.2 | 0.769 | 4.77 | 43 | 4.7 | 0.041 | 439 | 10.8 | 0.780 | 5.41 | |
| S2 | 3 | 82 | 10.8 | 0.021 | 532 | 14.6 | 0.498 | 11.47 | 53 | 5.5 | 0.033 | 463 | 10.1 | 0.717 | 5.63 |
| 4 | 59 | 7.3 | 0.025 | 387 | 11.0 | 0.584 | 6.52 | 38 | 5.2 | 0.024 | 316 | 8.3 | 0.709 | 10.78 | |
| 5 | 48 | 7.6 | 0.015 | 355 | 11.6 | 0.569 | 6.63 | 121 | 17.3 | 0.026 | 736 | 30.7 | 0.486 | 6.89 | |
| S3 | 3 | 67 | 8.2 | 0.021 | 455 | 13.4 | 0.548 | 5.47 | 49 | 7.3 | 0.012 | 398 | 10.8 | 0.675 | 3.74 |
| 4 | 43 | 6.1 | 0.038 | 406 | 10.8 | 0.749 | 7.62 | 25 | 5.4 | 0.046 | 340 | 8.2 | 0.922 | 6.23 | |
| 5 | 72 | 10.8 | 0.016 | 577 | 16.4 | 0.666 | 8.50 | 110 | 16.9 | 0.019 | 808 | 28.5 | 0.604 | 16.87 | |
| S4 | 3 | 125 | 12.2 | 0.039 | 1401 | 42.1 | 0.677 | 5.94 | 72 | 11.5 | 0.027 | 742 | 20.9 | 0.726 | 3.19 |
| 4 | 76 | 8.9 | 0.016 | 643 | 17.8 | 0.524 | 4.39 | 72 | 9.2 | 0.013 | 554 | 15.5 | 0.527 | 3.88 | |
| 5 | 81 | 8.0 | 0.029 | 578 | 17.7 | 0.526 | 4.58 | 92 | 8.8 | 0.032 | 641 | 20.5 | 0.508 | 5.38 | |
| S5 | 3 | 92 | 7.5 | 0.035 | 641 | 19.6 | 0.503 | 4.69 | 60 | 5.4 | 0.030 | 365 | 11.2 | 0.555 | 5.57 |
| 4 | 87 | 9.7 | 0.018 | 653 | 18.9 | 0.490 | 4.79 | 72 | 9.2 | 0.022 | 546 | 16.5 | 0.551 | 3.95 | |
| 5 | 49 | 6.5 | 0.021 | 377 | 10.7 | 0.552 | 4.86 | 66 | 7.5 | 0.023 | 475 | 13.4 | 0.501 | 6.07 | |
| S6 | 3 | 110 | 9.1 | 0.024 | 878 | 22.1 | 0.532 | 5.34 | 120 | 12.7 | 0.028 | 907 | 23.5 | 0.525 | 4.05 |
| 4 | 58 | 8.6 | 0.019 | 328 | 10.8 | 0.463 | 6.59 | 40 | 12.4 | 0.005 | 355 | 11.0 | 0.565 | 8.24 | |
| 5 | 37 | 5.2 | 0.018 | 329 | 10.4 | 0.694 | 8.26 | 35 | 6.1 | 0.024 | 360 | 10.0 | 0.817 | 6.81 | |
| S7 | 3 | 119 | 12.2 | 0.023 | 626 | 28.4 | 0.334 | 6.55 | 58 | 5.6 | 0.021 | 409 | 11.8 | 0.543 | 3.91 |
| 4 | 135 | 7.9 | 0.044 | 898 | 23.6 | 0.444 | 3.70 | 125 | 7.8 | 0.041 | 831 | 22.6 | 0.489 | 3.76 | |
| 5 | 106 | 8.8 | 0.038 | 691 | 22.8 | 0.411 | 7.85 | 146 | 13.7 | 0.028 | 958 | 33.5 | 0.414 | 4.88 | |
| S8 | 3 | 72 | 6.5 | 0.036 | 600 | 16.0 | 0.597 | 8.76 | 83 | 7.2 | 0.039 | 658 | 18.3 | 0.615 | 9.01 |
| 4 | 83 | 10.2 | 0.026 | 631 | 24.3 | 0.449 | 4.95 | 96 | 7.7 | 0.032 | 735 | 22.0 | 0.513 | 7.09 | |
| 5 | 59 | 5.7 | 0.032 | 456 | 14.2 | 0.538 | 5.97 | 75 | 6.6 | 0.039 | 572 | 17.5 | 0.554 | 5.07 | |
| Left + Right | ||||||||
|---|---|---|---|---|---|---|---|---|
| Trajectory | Velocity | |||||||
| Sub | M | Area 1 [mm∙s] | Area 2 [mm∙s] | PI | Area 1 [mm] | Area 2 [mm] | PI | Sk. |
| S1 | 3 | 33 | 4.9 | 0.072 | 407 | 11.3 | 1.553 | 20.52 |
| 4 | 230 | 13.4 | 0.110 | 1830 | 48.5 | 1.093 | 11.07 | |
| 5 | 91 | 9.6 | 0.077 | 938 | 23.0 | 1.549 | 10.19 | |
| S2 | 3 | 135 | 16.3 | 0.053 | 995 | 24.7 | 1.215 | 17.10 |
| 4 | 97 | 12.5 | 0.049 | 703 | 19.3 | 1.293 | 17.30 | |
| 5 | 169 | 24.9 | 0.041 | 1091 | 42.3 | 1.055 | 13.53 | |
| S3 | 3 | 116 | 15.5 | 0.033 | 853 | 24.2 | 1.224 | 9.21 |
| 4 | 68 | 11.5 | 0.084 | 745 | 19.0 | 1.670 | 13.85 | |
| 5 | 182 | 27.7 | 0.035 | 1385 | 44.9 | 1.269 | 25.37 | |
| S4 | 3 | 197 | 23.7 | 0.066 | 2143 | 63.0 | 1.403 | 9.13 |
| 4 | 148 | 18.1 | 0.029 | 1197 | 33.3 | 1.051 | 8.27 | |
| 5 | 173 | 16.9 | 0.061 | 1219 | 38.1 | 1.034 | 9.97 | |
| S5 | 3 | 152 | 12.9 | 0.065 | 1007 | 30.8 | 1.058 | 10.27 |
| 4 | 160 | 18.9 | 0.040 | 1199 | 35.4 | 1.041 | 8.74 | |
| 5 | 115 | 14.0 | 0.044 | 852 | 24.1 | 1.053 | 10.94 | |
| S6 | 3 | 231 | 21.8 | 0.052 | 1784 | 45.6 | 1.057 | 9.39 |
| 4 | 98 | 21.0 | 0.024 | 683 | 21.8 | 1.028 | 14.83 | |
| 5 | 72 | 11.3 | 0.042 | 689 | 20.4 | 1.511 | 15.08 | |
| S7 | 3 | 176 | 17.8 | 0.043 | 1035 | 40.1 | 0.878 | 10.47 |
| 4 | 260 | 15.6 | 0.085 | 1729 | 46.3 | 0.933 | 7.46 | |
| 5 | 253 | 22.5 | 0.066 | 1649 | 56.3 | 0.825 | 12.73 | |
| S8 | 3 | 156 | 13.7 | 0.075 | 1259 | 34.4 | 1.212 | 17.77 |
| 4 | 179 | 17.9 | 0.058 | 1365 | 46.3 | 0.962 | 12.04 | |
| 5 | 134 | 12.3 | 0.071 | 1028 | 31.7 | 1.092 | 11.05 | |
| Sub | M | Elbow’s Range of Motion [°] | Cross-Correlation between Left and Right Wrists Accelerations | |
|---|---|---|---|---|
| Left | Right | |||
| S1 | 3 | 79 | 71 | 0.146 |
| 4 | 176 | 127 | 0.114 | |
| 5 | 156 | 119 | 0.211 | |
| S2 | 3 | 175 | 179 | 0.063 |
| 4 | 148 | 177 | 0.064 | |
| 5 | 179 | 124 | 0.077 | |
| S3 | 3 | 164 | 174 | 0.085 |
| 4 | 165 | 152 | 0.101 | |
| 5 | 158 | 174 | 0.078 | |
| S4 | 3 | 176 | 166 | 0.179 |
| 4 | 174 | 159 | 0.274 | |
| 5 | 163 | 163 | 0.223 | |
| S5 | 3 | 178 | 140 | 0.026 |
| 4 | 178 | 170 | 0.123 | |
| 5 | 178 | 176 | 0.147 | |
| S6 | 3 | 177 | 145 | 0.210 |
| 4 | 179 | 178 | 0.086 | |
| 5 | 163 | 138 | 0.040 | |
| S7 | 3 | 179 | 176 | 0.084 |
| 4 | 176 | 179 | 0.084 | |
| 5 | 170 | 174 | 0.244 | |
| S8 | 3 | 162 | 139 | 0.116 |
| 4 | 160 | 171 | 0.412 | |
| 5 | 167 | 146 | 0.206 | |
References
- Metz, C.; Jaster, M.; Walch, E.; Sarpong-Bengelsdorf, A.; Kaindl, A.M.; Schneider, J. Clinical Phenotype of Cerebral Palsy Depends on the Cause: Is It Really Cerebral Palsy? A Retrospective Study. J. Child Neurol. 2022, 37, 112–118. [Google Scholar] [CrossRef] [PubMed]
- Oskoui, M.; Coutinho, F.; Dykeman, J.; Jetté, N.; Pringsheim, T. An update on the prevalence of cerebral palsy: A systematic review and meta-analysis. Dev. Med. Child Neurol. 2013, 55, 509–519. [Google Scholar] [CrossRef] [PubMed]
- El-Tallawy, H.N.; Farghaly, W.M.; Shehata, G.A.; Rageh, T.A.; Metwally, N.A.; Badry, R.; Sayed, M.A.; el Hamed, M.A.; Abd-Elwarth, A.; Kandil, M.R. Cerebral palsy in Al-Quseir City, Egypt: Prevalence, subtypes, and risk factors. Neuropsychiatr. Dis. Treat. 2014, 10, 1267–1272. [Google Scholar] [CrossRef]
- Wang, H.H.; Hwang, Y.S.; Ho, C.H.; Lai, M.C.; Chen, Y.C.; Tsai, W.H. Prevalence and initial diagnosis of cerebral palsy in preterm and term-born children in taiwan: A nationwide, population-based cohort study. Int. J. Environ. Res. Public Health 2021, 18, 8984. [Google Scholar] [CrossRef] [PubMed]
- Christensen, D.; Van Braun, K.; Doernberg, N.S.; Maenner, M.J.; Arneson, C.L.; Durkin, M.S.; Benedict, R.E.; Kirby, R.S.; Wingate, M.S.; Fitzgerald, R. Prevalence of cerebral palsy, co-occurring autism spectrum disorders, and motor functioning-Autism and Developmental Disabilities Monitoring Network, USA, 2008. Dev. Med. Child Neurol. 2014, 56, 59–65. [Google Scholar] [CrossRef] [PubMed]
- Graham, H.K.; Rosenbaum, P.; Paneth, N.; Dan, B.; Lin, J.; Damiano, D.L.; Becher, J.G.; Gaebler-Spira, D.; Colver, A.; Reddihough, D.S.; et al. Cerebral palsy. Nat. Rev. Dis. Prim. 2016, 2, 16005. [Google Scholar] [CrossRef]
- Novak, I.; Morgan, C.; Adde, L.; Blackman, J.; Boyd, R.N.; Brunstrom-Hernandez, J.; Cioni, G.; Damiano, D.; Darrah, J.; Eliasson, A.; et al. Early, Accurate Diagnosis and Early Intervention in Cerebral Palsy: Advances in Diagnosis and Treatment. JAMA Pediatr. 2017, 171, 897–907. [Google Scholar] [CrossRef]
- te Velde, A.; Morgan, C.; Novak, I.; Tantsis, E.; Badawi, N. Early diagnosis and classification of cerebral palsy: An historical perspective and barriers to an early diagnosis. J. Clin. Med. 2019, 8, 1599. [Google Scholar] [CrossRef]
- Prechtl, H.F.R. Qualitative changes of spontaneous movements in fetus and preterm infant are a marker of neurological dysfunction. Early Hum. Dev. 1990, 23, 151–158. [Google Scholar] [CrossRef]
- Heinz, P.; Einspieler, C.; Cioni, G.; Bos, A.F.; Ferrari, F.; Sontheimer, D. An early marker for neurological deficits after perinatal brain lesions. Lancet 1997, 349, 1361–1363. [Google Scholar]
- Einspieler, C.; Prechtl, H.F.R. Prechtl’s assessment of general movements: A diagnostic tool for the functional assessment of the young nervous system. Ment. Retard. Dev. Disabil. Res. Rev. 2005, 11, 61–67. [Google Scholar] [CrossRef] [PubMed]
- Silva, N.; Zhang, D.; Kulvicius, T.; Gail, A. The future of General Movement Assessment: The role of computer vision and machine learning—A scoping review. Res. Dev. Disabil. 2021, 110, 103854. [Google Scholar] [CrossRef] [PubMed]
- Hadders-Algra, M.; Boxum, A.G.; Hielkema, T.; Hamer, E.G. Effect of early intervention in infants at very high risk of cerebral palsy: A systematic review. Dev. Med. Child Neurol. 2017, 59, 246–258. [Google Scholar] [CrossRef] [PubMed]
- Hekne, L.; Montgomery, C.; Johansen, K. Early access to physiotherapy for infants with cerebral palsy: A retrospective chart review. PLoS ONE 2021, 16, e0253846. [Google Scholar] [CrossRef] [PubMed]
- Mazzarella, J.; McNally, M.; Richie, D.; Chaudhari, A.M.W.; Buford, J.A.; Pan, X.; Heathcock, J.C. 3d motion capture may detect spatiotemporal changes in pre-reaching upper extremity movements with and without a real-time constraint condition in infants with perinatal stroke and cerebral palsy: A longitudinal case series. Sensors 2020, 20, 7312. [Google Scholar] [CrossRef]
- Disselhorst-Klug, C.; Heinze, F.; Breitbach-Faller, N.; Schmitz-Rode, T.; Rau, G. Introduction of a method for quantitative evaluation of spontaneous motor activity development with age in infants. Exp. Brain Res. 2012, 218, 305–313. [Google Scholar] [CrossRef]
- Adde, L.; Helbostad, J.L.; Jensenius, A.R.; Taraldsen, G.; Grunewaldt, K.H.; StØen, R. Early prediction of cerebral palsy by computer-based video analysis of general movements: A feasibility study. Dev. Med. Child Neurol. 2010, 52, 773–778. [Google Scholar] [CrossRef]
- Ihlen, E.A.F.; Støen, R.; Boswell, L.; de Regnier, R.; Fjørtoft, T.; Gaebler-Spira, D.; Labori, C.; Loennecken, M.C.; Msall, M.E.; Möinichen, U.I.; et al. Machine learning of infant spontaneous movements for the early prediction of cerebral palsy: A multi-site cohort study. J. Clin. Med. 2020, 9, 5. [Google Scholar] [CrossRef]
- Marcroft, C.; Khan, A.; Embleton, N.D.; Trenell, M.; Plötz, T. Movement recognition technology as a method of assessing spontaneous general movements in high risk infants. Front. Neurol. 2015, 6, 284. [Google Scholar] [CrossRef]
- Castelli, A.; Paolini, G.; Cereatti, A.; Della Croce, U. A 2D markerless gait analysis methodology: Validation on healthy subjects. Comput. Math. Methods Med. 2015, 2015, 186780. [Google Scholar] [CrossRef]
- Balta, D.; Salvi, M.; Molinari, F.; Figari, G.; Paolini, G.; Della Croce, U.; Cereatti, A. A two-dimensional clinical gait analysis protocol based on markerless recordings from a single RGB-Depth camera. In Proceedings of the 2020 IEEE International Symposium on Medical Measurements and Applications (MeMeA), Bari, Italy, 1 June–1 July 2020; pp. 1–6. [Google Scholar] [CrossRef]
- Chambers, C.; Seethapathi, N.; Saluja, R.; Loeb, H.; Pierce, S.R.; Bogen, D.K.; Prosser, L.; Johnson, M.J.; Kording, K.P. Computer vision to automatically assess infant neuromotor risk. IEEE Trans. Neural Syst. Rehabil. Eng. 2020, 28, 2431–2442. [Google Scholar] [CrossRef] [PubMed]
- Mündermann, L.; Corazza, S.; Andriacchi, T.P. The evolution of methods for the capture of human movement leading to markerless motion capture for biomechanical applications. J. NeuroEngineering Rehabil. 2006, 3, 6. [Google Scholar] [CrossRef] [PubMed]
- Cimolin, V.; Vismara, L.; Ferraris, C.; Amprimo, G.; Pettiti, G.; Lopez, R.; Galli, M.; Cremascoli, R.; Sinagra, S.; Mauro, A.; et al. Computation of Gait Parameters in Post Stroke and Parkinson’s Disease: A Comparative Study Using RGB-D Sensors and Optoelectronic Systems. Sensors 2022, 22, 824. [Google Scholar] [CrossRef] [PubMed]
- Bower, K.; Thilarajah, S.; Pua, Y.; Williams, G.; Tan, D.; Mentiplay, B.; Denehy, L.; Clark, R. Dynamic balance and instrumented gait variables are independent predictors of falls following stroke. J. Neuroeng. Rehabil. 2019, 16, 3. [Google Scholar] [CrossRef]
- Kim, W.-S.; Cho, S.; Baek, D.; Bang, H.; Paik, N.-J. Upper Extremity Functional Evaluation by Fugl-Meyer Assessment Scoring Using Depth-Sensing Camera in Hemiplegic Stroke Patients. PLoS ONE 2016, 11, e0158640. [Google Scholar] [CrossRef] [PubMed]
- Albani, G.; Ferraris, C.; Nerino, R.; Chimienti, A.; Pettiti, G.; Parisi, F.; Ferrari, G.; Cau, N.; Cimolin, V.; Azzaro, C.; et al. An Integrated Multi-Sensor Approach for the Remote Monitoring of Parkinson’s Disease. Sensors 2019, 19, 4764. [Google Scholar] [CrossRef]
- Pantzar-Castilla, E.; Cereatti, A.; Figari, G.; Valeri, N.; Paolini, G.; Della Croce, U.; Magnuson, A.; Riad, J. Knee joint sagittal plane movement in cerebral palsy: A comparative study of 2-dimensional markerless video and 3-dimensional gait analysis. Acta Orthop. 2018, 89, 656–661. [Google Scholar] [CrossRef]
- Mathis, A.; Mamidanna, P.; Cury, K.M.; Abe, T.; Murthy, V.N.; Mathis, M.W.; Bethge, M. DeepLabCut: Markerless pose estimation of user-defined body parts with deep learning. Nat. Neurosci. 2018, 21, 1281–1289. [Google Scholar] [CrossRef]
- Schindelin, J.; Rueden, C.T.; Hiner, M.C.; Eliceiri, K.W. The ImageJ ecosystem: An open platform for biomedical image analysis. Mol. Reprod. Dev. 2015, 82, 518–529. [Google Scholar] [CrossRef]
- Balta, D.; Kuo, H.; Wang, J.; Porco, I.G.; Schladen, M.; Cereatti, A.; Lum, P.S.; Della, U. Croce Estimating infant upper extremities motion with an RGB-D camera and markerless deep neural network tracking: A validation study. In Proceedings of the 44th Annual International Conference of the IEEE Engineering in Medicine & Biology Society (EMBC), Glasgow, UK, 11–15 July 2022. [Google Scholar]
- Balta, D.; Kuo, H.; Wang, J.; Porco, I.G.; Schladen, M.; Cereatti, A.; Lum, P.S.; Croce, U.D. Infant upper body 3D kinematics estimated using a commercial RGB-D sensor and a deep neural network tracking processing tool. In Proceedings of the 17th Edition of IEEE International Symposium on Medical Measurements and Applications (MeMeA), Messina, Italy, 22–24 June 2022. [Google Scholar]
- Cappozzo, A.; Della Croce, U.; Leardini, A.; Chiari, L. Human movement analysis using stereophotogrammetry. Part 1: Theoretical background. Gait Posture 2005, 21, 186–196. [Google Scholar] [CrossRef]
- Surer, E.; Cereatti, A.; Grosso, E.; Della Croce, U. A markerless estimation of the ankle-foot complex 2D kinematics during stance. Gait Posture 2011, 33, 532–537. [Google Scholar] [CrossRef] [PubMed]
- McIntyre, S.; Morgan, C.; Walker, K.; Novak, I. Cerebral palsy-Don’t delay. Dev. Disabil. Res. Rev. 2011, 17, 114–129. [Google Scholar] [CrossRef] [PubMed]
- Meinecke, L.; Breitbach-Faller, N.; Bartz, C.; Damen, R.; Rau, G.; Disselhorst-Klug, C. Movement analysis in the early detection of newborns at risk for developing spasticity due to infantile cerebral palsy. Hum. Mov. Sci. 2006, 25, 125–144. [Google Scholar] [CrossRef] [PubMed]






| Sub# | Clinician | 3 Months | 4 Months | 5 Months | Overall Evaluation No: Nothing Here Suggests the Infant Is Not Developing Typically Yes: I Did Observe Some Features that Raise Concern |
|---|---|---|---|---|---|
| S1 | A | - | - | - | No |
| B | lots of midline gaze | midline/R gaze but toddler on R | No | ||
| S2 | A | - | - | Slow upper limb movements; no hands to mouth and midline; opens hands; thumbs frequently adducted | Yes |
| B | Yes | ||||
| S3 | A | - | - | - | No |
| B | Yes | ||||
| S4 | A | - | - | - | No |
| B | decreased fidgety movements; subtle R hand preference? more fidgety movements on R | decreased fidgety movements; subtle R hand preference? more fidgety movements on R | - | Yes Lots of midline hand clasping and midline gaze preference at all ages | |
| S5 | A | - | - | - | No |
| B | - | - | - | No Hands at midline; great gen and fidgety movements | |
| S6 | A | - | - | - | No |
| B | non social smile; midline grasp | social smile; L fingers in mouth 65% of video; | L fingers in mouth entire video; no clear fidgety movements | Yes | |
| S7 | A | - | - | - | No |
| B | Great visual attention; great gen and fidgety movements | - | - | No Grabbing toes; sucking on fingers; social | |
| S8 | A | - | - | - | No |
| B | - | - | - | No Appears sleepy; improved visual attention and social engagement; good general movements; fingers or thumb in mouth |
| Metrics | Movements | ||||||
|---|---|---|---|---|---|---|---|
| # | Class | Description | Aspect | Observed TD Characteristics | Measured TD Characteristics | Observed Non-TD Characteristics | Measured Non-TD Characteristics |
| 1 | Trajectories | Area where wrist trajectories differ from the moving average of the same trajectories | Diversity and Variability | Fluid and congruent | No significant change in area | Chaotic | Area smaller than TD, continues to diminish |
| 2 | Trajectories | Area where wrist trajectories of are outside the SD of the moving average of the same trajectories | Diversity and Variability | Multi-facetted | Smaller area, less diversity at 3 months (Increases after 5 months) | Poor-repertoire, spastic | Area smaller than TD, continues to diminish |
| 3 | Trajectories | Periodicity in the wrist trajectories | Unpredictability and Complexity | Fidgety | Periodicity decreases with age | Poor-repertoire | Periodicity greater than in TD |
| 4 | Velocities | Area where the wrist speed profiles differs from their moving average | Diversity and Variability | Fluid and congruent | Area does not change | Chaotic | Area decreases |
| 5 | Velocities | Area where the wrist speed profiles are outside the SD of the moving average the speed profiles | Diversity and Variability | Fidgety | Variation in velocity is constant | Cramped | Variation in velocity continuously decreases |
| 6 | Velocities | Periodicity in the wrist velocities | Equability of Velocity | Fidgety | Periodicity does not change | Cramped or chaotic | Periodicity does not change |
| 7 | Velocities | Skewness of the velocities of the wrists | Velocity Distribution of the Movement | Slow, small in amplitude | Skewness increases with age | Cramped, spastic | Skewness already increased by 3 months relative to TD |
| 8 | NA | The cross-correlation of accelerations between left and right wrists | Similarity and Coordination of Movement | Similar, coordinated, synchronous | Cross-correlation increases | Dissimilar, uncoordinated, asynchronous | Cross-correlation does not increase |
Publisher’s Note: MDPI stays neutral with regard to jurisdictional claims in published maps and institutional affiliations. |
© 2022 by the authors. Licensee MDPI, Basel, Switzerland. This article is an open access article distributed under the terms and conditions of the Creative Commons Attribution (CC BY) license (https://creativecommons.org/licenses/by/4.0/).
Share and Cite
Balta, D.; Kuo, H.; Wang, J.; Porco, I.G.; Morozova, O.; Schladen, M.M.; Cereatti, A.; Lum, P.S.; Della Croce, U. Characterization of Infants’ General Movements Using a Commercial RGB-Depth Sensor and a Deep Neural Network Tracking Processing Tool: An Exploratory Study. Sensors 2022, 22, 7426. https://doi.org/10.3390/s22197426
Balta D, Kuo H, Wang J, Porco IG, Morozova O, Schladen MM, Cereatti A, Lum PS, Della Croce U. Characterization of Infants’ General Movements Using a Commercial RGB-Depth Sensor and a Deep Neural Network Tracking Processing Tool: An Exploratory Study. Sensors. 2022; 22(19):7426. https://doi.org/10.3390/s22197426
Chicago/Turabian StyleBalta, Diletta, HsinHung Kuo, Jing Wang, Ilaria Giuseppina Porco, Olga Morozova, Manon Maitland Schladen, Andrea Cereatti, Peter Stanley Lum, and Ugo Della Croce. 2022. "Characterization of Infants’ General Movements Using a Commercial RGB-Depth Sensor and a Deep Neural Network Tracking Processing Tool: An Exploratory Study" Sensors 22, no. 19: 7426. https://doi.org/10.3390/s22197426
APA StyleBalta, D., Kuo, H., Wang, J., Porco, I. G., Morozova, O., Schladen, M. M., Cereatti, A., Lum, P. S., & Della Croce, U. (2022). Characterization of Infants’ General Movements Using a Commercial RGB-Depth Sensor and a Deep Neural Network Tracking Processing Tool: An Exploratory Study. Sensors, 22(19), 7426. https://doi.org/10.3390/s22197426

