Dynamic Path Planning for Forklift AGV Based on Smoothing A* and Improved DWA Hybrid Algorithm
Abstract
1. Introduction
- Aiming at the problem of redundant path points and multiple turning points in the planning path of the traditional A* algorithm. This paper improves the A* algorithm in path smoothing.
- When the dynamic window method is used to avoid obstacles, the local path may be far away from the global optimal path. And the excessive speed of the forklift may cause accidents when it is close to the obstacle. To solve the above problems, this paper introduces two evaluation indexes in the trajectory evaluation function: the distance between the local path and the global path and the distance between the trajectory point and the local sub-target point, which can make the local path closer to the global optimal path, and reduce the speed of the FAGV approaching the local sub-target point, and avoid the FAGV crossing the target point or oscillation due to the excessive speed. The FAGV uses the rolling window method for collision prediction in the process of moving and then calls the improved DWA for local path planning and safe avoidance of obstacles to return to the global optimal path in time.
2. Global Path Planning Based on Improved A * Algorithm
2.1. Traditional A* Algorithm
2.2. Improved A* Algorithm
3. Local Path Planning Based on Improved DWA
3.1. Basic Principle of DWA
3.2. Kinetic Model of FAGV
3.3. The Optimized Trajectory Evaluation Function
4. Collision Prediction Based on Rolling Window
4.1. Local Collision Prediction
4.2. Selection of Local Sub-Target Points
4.3. Collision Avoidance Strategy
- Static obstacles in front: Call the improved DWA for local path planning to avoid obstacles.
- Dynamic obstacles coming opposite: Make collision prediction and calculate collision location, then call DWA for local path planning.
- Obstacles on the front side: Predict whether a collision occurs and if so, call DWA to avoid obstacles; if not, continue along the global path.
5. Dynamic Path Planning Algorithm of FAGV Based on Improved A* and Improved DWA Hybrid
6. Simulation Analysis
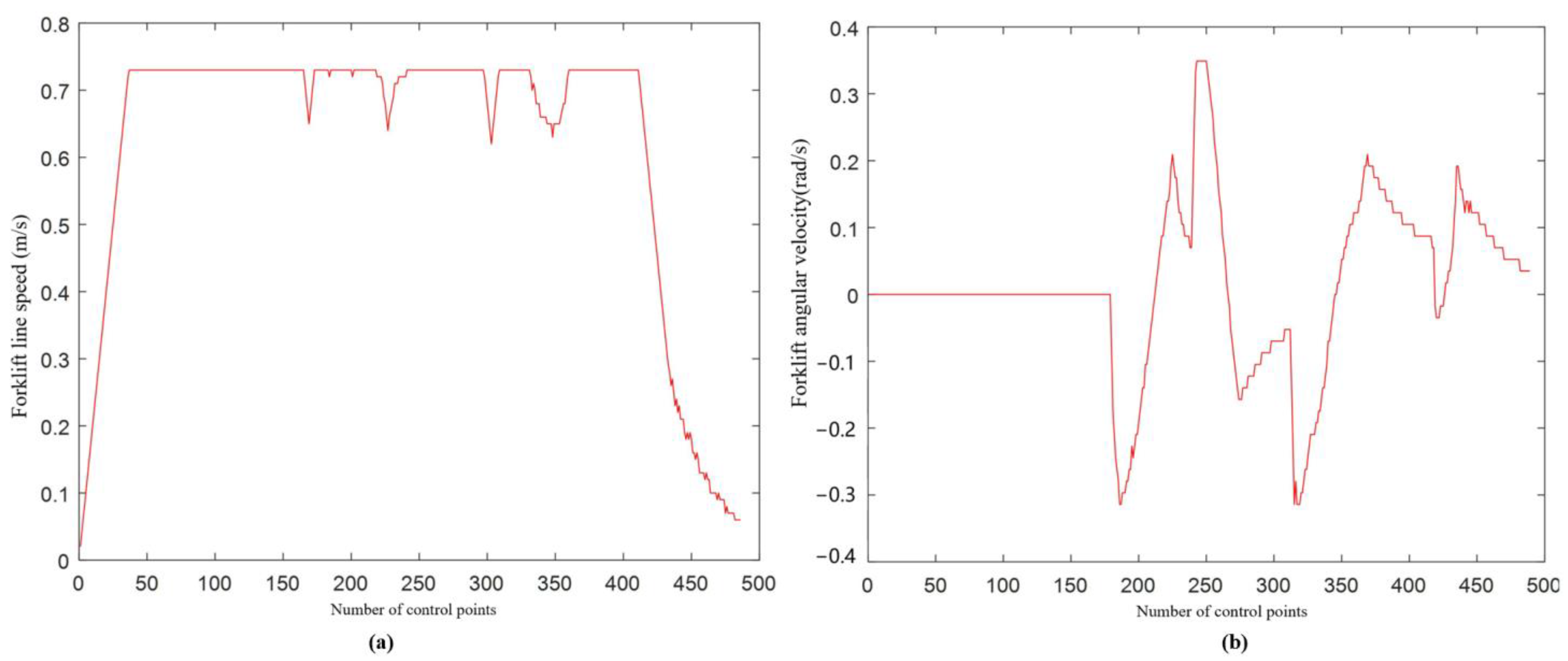
6.1. Simulation Results of Global and Local Path Planning
6.2. Simulation Results of Local Obstacle Avoidance
7. Conclusions
Author Contributions
Funding
Acknowledgments
Conflicts of Interest
References
- Digani, V.; Sabattini, L.; Secchi, C.; Fantuzzi, C. Ensemble Coordination Approach in Multi-AGV Systems Applied to Industrial Warehouses. IEEE Trans. Autom. Sci. Eng. 2015, 12, 922–934. [Google Scholar] [CrossRef]
- Yang, Y.; Zhong, M.; Dessouky, Y.; Postolache, O. An Integrated Scheduling Method for AGV Routing in Automated Container Terminals. Comput. Ind. Eng. 2018, 126, 482–493. [Google Scholar] [CrossRef]
- Chen, C.; Huy, D.T.; Tiong, L.K.; Chen, I.-M.; Cai, Y. Optimal Facility Layout Planning for AGV-Based Modular Prefabricated Manufacturing System. Autom. Constr 2019, 98, 310–321. [Google Scholar] [CrossRef]
- Sun, B.A.; Gu, Z.; Xiong, T.Y. Event-Triggered Formation Tracking Control for Unmanned Aerial Vehicles Subjected to Deception Attacks. Electronics 2021, 10, 2736. [Google Scholar] [CrossRef]
- Liu, G.; Zhang, R.X.; Wang, Y.Y.; Man, R.J. Road Scene Recognition of Forklift AGV Equipment Based on Deep Learning. Processes 2021, 9, 1955. [Google Scholar] [CrossRef]
- Available online: Http://Www.Zcnest.Com/Product/Product-Fen/7 (accessed on 31 July 2022).
- Draganjac, I.; Miklic, D.; Kovacic, Z.; Vasiljevic, G.; Bogdan, S. Decentralized Control of Multi-AGV Systems in Autonomous Warehousing Applications. IEEE Trans. Autom. Sci. Eng. 2016, 13, 1433–1447. [Google Scholar] [CrossRef]
- Qiu, L.; Hsu, W.-J.; Huang, S.-Y.; Wang, H. Scheduling and Routing Algorithms for AGVs: A Survey. Int. J. Prod. Res. 2002, 40, 745–760. [Google Scholar] [CrossRef]
- Marin-Plaza, P.; Hussein, A.; Martin, D.; Escalera, A. Global and Local Path Planning Study in a ROS-Based Research Platform for Autonomous Vehicles. J. Adv. Transp. 2018, 2018. [Google Scholar] [CrossRef]
- Mac, T.T.; Copot, C.; Tran, D.T.; De Keyser, R. Heuristic Approaches in Robot Path Planning: A Survey. Robot. Auton. Syst. 2016, 86, 13–28. [Google Scholar] [CrossRef]
- Borges, C.D.B.; Almeida, A.M.A.; Júnior, I.C.P.; de MesquitaSá Junior, J.J. A Strategy and Evaluation Method for Ground Global Path Planning Based on Aerial Images. Expert Syst. Appl. 2019, 137, 232–252. [Google Scholar] [CrossRef]
- Sun, Y.; Fang, M.; Su, Y. AGV Path Planning Based on Improved Dijkstra Algorithm. In Proceedings of the Journal of Physics: Conference Series; IOP Publishing: Bristol, UK, 2021; Volume 1746, p. 12052. [Google Scholar]
- Wibowo, N.; Widodo, C.E.; Adi, K. Implementing the Shortest Time Route Search Algorithm in Semarang Using the Best First Search Method. In Proceedings of the IOP Conference Series: Materials Science and Engineering; IOP Publishing: Bristol, UK, 2020; Volume 879, p. 12165. [Google Scholar]
- Lyu, X.; Song, Y.; He, C. Approach to Integrated Scheduling Problems Considering Optimal Number of Automated Guided Vehicles and Conflict-Free Routing in Flexible Manufacturing Systems. IEEE Access. 2019, 7, 74909–74924. [Google Scholar] [CrossRef]
- Hart, P.E.; Nilsson, N.J.; Raphael, B. A formal basis for the heuristic determination of minimum cost paths. IEEE Trans. Syst. Sci. Cybern. 1968, 4, 100–107. [Google Scholar] [CrossRef]
- Kuffner, J.J.; LaValle, S.M. RRT-Connect: An Efficient Approach to Single-Query Path Planning. In Proceedings of the Proceedings 2000 ICRA. Millennium Conference. IEEE International Conference on Robotics and Automation. Symposia Proceedings (Cat. No. 00CH37065), San Francisco, CA, USA, 24–28 April 2000; IEEE: New York, NY, USA, 2000; Volume 2, pp. 995–1001. [Google Scholar]
- Gammell, J.D.; Srinivasa, S.S.; Barfoot, T.D. Informed RRT*: Optimal Sampling-Based Path Planning Focused via Direct Sampling of an Admissible Ellipsoidal Heuristic. In Proceedings of the 2014 IEEE/RSJ International Conference on Intelligent Robots and Systems, Chicago, IL, USA, 14–18 September 2014; IEEE: New York, NY, USA, 2014; pp. 2997–3004. [Google Scholar]
- Chi, W.; Ding, Z.; Wang, J.; Chen, G. A Generalized Voronoi Diagram-Based Efficient Heuristic Path Planning Method for RRTs in Mobile Robots. IEEE Trans. Ind. Electron. 2022, 69, 4926–4937. [Google Scholar] [CrossRef]
- Jiang, H.; Sun, Y. Research on Global Path Planning of Electric Disinfection Vehicle Based on Improved A* Algorithm. Energy Rep. 2021, 7, 1270–1279. [Google Scholar] [CrossRef]
- Tang, G.; Tang, C.; Claramunt, C.; Hu, X.; Zhou, P. Geometric A-Star Algorithm: An Improved A-Star Algorithm for AGV Path Planning in a Port Environment. IEEE Access 2021, 9, 59196–59210. [Google Scholar] [CrossRef]
- Jayaweera, H.; Hanoun, S. UAV Path Planning for Reconnaissance and Look-Ahead Coverage Support for Mobile Ground Vehicles. Sensors 2021, 21, 4595. [Google Scholar] [CrossRef]
- Xu, L.; Cao, M.; Song, B. A New Approach to Smooth Path Planning of Mobile Robot Based on Quartic Bezier Transition Curve and Improved PSO Algorithm. Neurocomputing 2022, 473, 98–106. [Google Scholar] [CrossRef]
- Dang, P.; Zhu, J.; Pirasteh, S. A Chain Navigation Grid Based on Cellular Automata for Large-Scale Crowd Evacuation in Virtual Reality. Int. J. Appl. Earth Obs. Geoinf. 2021, 103, 102507. [Google Scholar] [CrossRef]
- Lee, D.H.; Lee, S.S.; Ahn, C.K.; Shi, P.; Lim, C.C. Finite Distribution Estimation-Based Dynamic Window Approach to Reliable Obstacle Avoidance of Mobile Robot. IEEE Trans. Ind. Electron. 2021, 68, 9998–10006. [Google Scholar] [CrossRef]
- Sang, H.; You, Y.; Sun, X.; Zhou, Y.; Liu, F. The Hybrid Path Planning Algorithm Based on Improved A* and Artificial Potential Field for Unmanned Surface Vehicle Formations. Ocean Eng. 2021, 223, 108709. [Google Scholar] [CrossRef]
- Yang, L.; Fu, L.; Li, P.; Mao, J.; Guo, N. An Effective Dynamic Path Planning Approach for Mobile Robots Based on Ant Colony Fusion Dynamic Windows. Machines 2022, 10, 50. [Google Scholar] [CrossRef]
- Sollehudin, I.M.; Heerwan, P.M.; Ishak, M.I.; Zakaria, M.A. Electric Powered Wheelchair Trajectory Planning on Artificial Potential Field Method. In Proceedings of the IOP Conference Series: Materials Science and Engineering; IOP Publishing: Bristol, UK, 2021; Volume 1068, p. 12012. [Google Scholar]
- Lin, Z.; Yue, M.; Chen, G.; Sun, J. Path Planning of Mobile Robot with PSO-Based APF and Fuzzy-Based DWA Subject to Moving Obstacles. Trans. Inst. Meas. Control 2022, 44, 121–132. [Google Scholar] [CrossRef]
- Bulut, V. Optimal Path Planning Method Based on Epsilon-Greedy Q-Learning Algorithm. J. Braz. Soc. Mech. Sci. Eng. 2022, 44, 1–14. [Google Scholar] [CrossRef]
- Economou, J.T.; Colyer, R.E. Fuzzy-Hybrid Modelling of an Ackerman Steered Electric Vehicle. Int. J. Approx. Reason. 2006, 41, 343–368. [Google Scholar] [CrossRef][Green Version]
- Fox, D.; Burgard, W.; Thrun, S. The Dynamic Window Approach to Collision Avoidance. IEEE Robot. Autom. Mag. 1997, 4, 23–33. [Google Scholar] [CrossRef]
- Li, C.H.; Wang, F.Y.; Song, Y.; Liang, Z.Y.; Wang, Z.Q. A Complete Coverage Path Planning Algorithm for Mobile Robot Based on FSM and Rolling Window Approach in Unknown Environment. In Proceedings of the 2015 34th Chinese Control Conference (CCC), Hangzhou, China, 14 September 2015; IEEE: New York, NY, USA, 2015; pp. 5881–5885. [Google Scholar]















| Parameter Name | Numerical Value |
|---|---|
| maximum/ minimum line velocity | 1/0 m/s |
| maximum/ minimum angular velocity | 0.35/−0.35 rad/s |
| maximum/ minimum linear acceleration | 0.2/0 m/s2 |
| maximum/ minimum angular acceleration | 0.9/−0.9 rad/s2 |
| prediction time T | 3 s |
| interval time ∆t | 0.1 s |
| Algorithm | Global Optimality | Smooth Path | Local Optimality | Deceleration Obstacle Avoidance | Dynamic Obstacle Avoidance |
|---|---|---|---|---|---|
| Tradition A* | √ | × | × | × | × |
| Improved A* | √ | √ | × | × | × |
| Tradition DWA | × | × | √ | × | × |
| Improved DWA | √ | √ | √ | √ | × |
| Hybrid Algorithm | √ | √ | √ | √ | √ |
Publisher’s Note: MDPI stays neutral with regard to jurisdictional claims in published maps and institutional affiliations. |
© 2022 by the authors. Licensee MDPI, Basel, Switzerland. This article is an open access article distributed under the terms and conditions of the Creative Commons Attribution (CC BY) license (https://creativecommons.org/licenses/by/4.0/).
Share and Cite
Wu, B.; Chi, X.; Zhao, C.; Zhang, W.; Lu, Y.; Jiang, D. Dynamic Path Planning for Forklift AGV Based on Smoothing A* and Improved DWA Hybrid Algorithm. Sensors 2022, 22, 7079. https://doi.org/10.3390/s22187079
Wu B, Chi X, Zhao C, Zhang W, Lu Y, Jiang D. Dynamic Path Planning for Forklift AGV Based on Smoothing A* and Improved DWA Hybrid Algorithm. Sensors. 2022; 22(18):7079. https://doi.org/10.3390/s22187079
Chicago/Turabian StyleWu, Bin, Xiaonan Chi, Congcong Zhao, Wei Zhang, Yi Lu, and Di Jiang. 2022. "Dynamic Path Planning for Forklift AGV Based on Smoothing A* and Improved DWA Hybrid Algorithm" Sensors 22, no. 18: 7079. https://doi.org/10.3390/s22187079
APA StyleWu, B., Chi, X., Zhao, C., Zhang, W., Lu, Y., & Jiang, D. (2022). Dynamic Path Planning for Forklift AGV Based on Smoothing A* and Improved DWA Hybrid Algorithm. Sensors, 22(18), 7079. https://doi.org/10.3390/s22187079
