Abstract
Developing a fluorescent probe for UO22+, which is resistant to interference from other ions such as Cu2+ and can be applied in acidic and high-water systems, has been a major challenge. In this study, a “turn-off” fluorescent probe for triamine-modified flavonoid derivatives, 2-triphenylamine-3-hydroxy-4H-chromen-4-one (abbreviated to HTPAF), was synthesized. In the solvent system of dimethyl sulfoxide:H2O (abbreviated to DMSO:H2O) (v/v = 5:95 pH = 4.5), the HTPAF solution was excited with 364 nm light and showed a strong fluorescence emission peak at 474 nm with a Stokes shift of 110 nm. After the addition of UO22+, the fluorescence at 474 nm was quenched. More importantly, there was no interference in the presence of metal ions (Pb2+, Cd2+, Cr3+, Fe3+, Co2+, Th4+, La3+, etc.), especially Cu2+ and Al3+. It is worth noting that the theoretical model for the binding of UO22+ to HTPAF was derived by more detailed density functional theory (DFT) calculations in this study, while the coordination mode was further verified using HRMS, FT-IR and 1HNMR, demonstrating a coordination ratio of 1:2. In addition, the corresponding photo-induced electron transfer (PET) fluorescence quenching mechanism was also proposed.
1. Introduction
Currently, nuclear energy is an important component of non-conventional energy sources, and nuclear energy development has become a key factor in the energy transition of countries [1]. Uranium is an important fuel for nuclear energy, but due to its inherent radioactivity and toxicity, the vigorous development of nuclear energy can also pose a serious threat to the environment at the same time [2]. For example, a large amount of uranium-containing acidic wastewater from uranium processing is more or less inevitably discharged into the surrounding environment [3]. Moreover, uranium exists mainly as UO22+ species in an acidic environment, which is highly migratory in water and contaminates the surrounding soil and water bodies [4,5]. Hence, the effective detection of UO22+ under acidic conditions is of great interest for pollution control. In recent years, there are many methods for the detection of uranyl ions, such as voltammetry [6,7], surface-enhanced Raman spectroscopy [8,9], and electrochemical methods [10,11], but these instrumental methods usually require high costs, complex instruments, and time-consuming calibration, which limit the scope of application [12].
Compared to these methods, fluorescence methods are widely used due to their low cost, fast response, and naked-eye recognition [13]. Therefore, the research of fluorescence detection of uranyl has become a current research hotspot [14,15,16]. However, one problem with the detection of uranyl ions by fluorescence is the presence of interference from other metal ions, especially Cu2+ and Al3+, and most solutions to this problem are the addition of masking agents [13,17,18]. Another problem is that high water systems are prone to quenching (ACQ) effects due to aggregation of organic fluorophores, leading to inaccurate fluorescence detection [19]. To solve this problem, many reports have chosen to add a large amount of organic solvent to the system to improve the detection efficiency [20,21], but this is not favorable for application in real water samples. Therefore, it is critical to develop a highly selective fluorescence method for uranyl detection in high-water systems.
As well as the above-mentioned organic solvents that can reduce the ACQ effect, the aggregation-induced emission enhancement (AIEE) effect can also be exploited [22,23]. AIEE properties can be introduced into organic fluorescent dyes by conjugation to fluorophores with specific nonplanar structures, which effectively prevents π-π stacking of aromatic rings in the fluorophores [24]. In other words, it does not stack easily in organic solvents and cannot be aggregated to induce emission enhancement, while easy π-π stacking in high water systems makes fluorescence emission enhancement. As a result, the AIEE property can help fluorescent probes to maintain their strong fluorescence properties even in the aggregated state or in undesirable solvents (e.g., water), thus enabling the sensitive detection of targets in water [25]. Triphenylamine is a non-planar structured fluorophore due to its single bond rotatability [26], which can be designed with other organic groups to introduce AIEE effect and thus reduce the ACQ effect [27,28]. Moreover, triphenylamine-based fluorescent molecules are usually characterized by high fluorescence quantum yields and good photostability [29,30].
Flavonoid dyes are widely used to prepare fluorophores for various spectroscopic probes due to their excellent photophysical properties, and flavonoid-based fluorophores usually emit efficient and persistent fluorescence with large Stokes shifts, which minimizes self-absorption and reduces background interference [31,32,33]. Moreover, flavonoid derivatives also have the advantages of simple synthesis and easy introduction of functional groups [34]. Over the years, many flavonoid-based fluorescent probes have been developed for the detection of various analytes, including metal ions, anions, and reactive species [35]. Here, our team was inspired to develop a fluorescent probe, HTPAF (Scheme 1), by specific modification of flavonoids in this study, which has a large Stokes shift and can be highly selective for uranyl ions in acidic and high water ratios without the interference of other metal ions.
Scheme 1.
Synthesis route of HTPAF.
2. Experimental Section
2.1. Reagents and Instrumentation
All chemical reagents are of analytical purity grade, which were purchased on Aladdin and Maclean’s platforms and could be used without purification. Among them, UO22+, Ni2+, Bi3+, Ca2+, K+, Mg2+, Cr3+, Fe3+, Zn2+, Cu2+, In2+, Pb2+, Al3+, Nd2+, Eu3+, Na+, Cd2+, Zr4+, Sr2+, Dy3+, Sm3+, Th4+, La3+, Ag+, and Co2+ plasma solutions were prepared by dissolving nitrates of different metals in deionized water. A quartz cuvette (GB/T26791-2011 and Q/320223, Silver Star Analytical Experimental Devices Factory, made in Yixing, China), an automatic potentiometric titrator (ZDJ-3D, made in Beijing, China), a tabletop high-speed refrigerated centrifuge (Sigma/3k15, made in Germany), a freeze dryer (scientz-12, made in Ningbo, China), a nuclear magnetic resonance spectroscopy (Bruker 600-MHz, made in USA), a UV-visible spectrophotometer (UV-Vis 3900, made in Japan), a rotary evaporator (RE-52AA, made in Shanghai, China), an infrared spectroscopy (IRPrestige-21 made in Japan), a fluorescence spectrometer (Hitachi F-7000, made in Japan), a nuclear magnetic resonance hydrogen spectroscopy (Bruker 500 MHz, made in USA), and a high-resolution mass spectrometry (Thermo Scientific Q Exactive, made in USA) were used.
2.2. Synthesis Procedure
2.2.1. Synthesis of HTPAF
The synthetic route of HTPAF was inspired by the literature [25], and the synthesis process was shown in Scheme 1.
Added to a 100 mL round bottom flask were 2-Hydroxyacetophenone (1.075 g, 5 mmol), 4-Diphenylamino-benzaldehyde (1.366 g, 5 mmol), sodium hydroxide (0.9 g), and methanol solution (30 mL). The mixture solution was refluxed for 6 h, cooled to room temperature, and then stirred overnight. Next, NaOH solution (0.5 M, 30 mL) and H2O2 (30%, 4 mL) were added and the reaction was stirred at room temperature for 5 h. After that, the solution was diluted in a beaker with 300 mL of ice water, the pH of the solution was adjusted to 6 with concentrated hydrochloric acid, ethyl acetate was extracted, anhydrous Na2SO4 was added to remove the water from the organic layer, filtered, and the organic solvent was distilled off under reduced pressure using a rotary evaporator to obtain a yellow solid product. The solid product was freeze-dried in a freeze dryer to obtain the final product. Yield: 45.6%, melting point: 103.6–106.4 °C. FT-IR (KBr): 3327, 3077, 1686, 1588, 898, 756 cm−1. 1H NMR (400 MHz, DMSO-d6) δ (ppm): δ 7.78–7.68 (m, 3H), 9.77 (s, 1H), 7.42 (t, J = 7.71 Hz, 5H), 7.28–7.15 (m, 9H), 6.95–6.84 (m, 3H). 13CNMR (100 MHz, DMSO-d6) δ(ppm): δ 179.27, 153.69, 152.56, 143.48, 135.21, 127.81, 126.82, 125.97, 125.55, 124.99, 124.00, 120.78, 120.32. HRMS (ESI) m/z: theoretical value (C27H21NO3): 407.15 (M+); found(M+): 407.1470, found(M+Na)+: 430.1358 (Figure S3).
2.2.2. Synthesis of HTPAF+UO22+
The formation process of uranyl ion and fluorescent probe HTPAF ligand compounds was shown in Scheme 2.
Scheme 2.
Synthesis route of HTPAF+UO22+.
An amount of 0.5 mmol (0.204 g) of HTPAF compound was dissolved in 30 mL of ethanol and stirred for 30 min at room temperature. Then 2.2 mmol (0.151 g) of uranyl nitrate hexahydrate was accurately weighed and dissolved in 40 mL of ethanol, and then the uranyl solution was added dropwise to the HTPAF solution and reacted for 3–4 h. Rotary evaporation, repeated washing with deionized water, and low temperature recrystallization in anhydrous ethanol/water system resulted in a reddish-brown solid powder. The yield was 24%, FT-IR (KBr): 3410, 3035, 1689, 1585, 1506, 1489, 1284, 925, 825 cm−1. HRMS theoretical value (UC54H40N2O8): 1082.93 ([M-H]−: 1081.93; actual value: [M-H]−: 1079.3284).
2.3. Spectroscopic Analysis Procedure
HTPAF (250 μL, 1 × 10−3 M) was added to a 10 mL colorimetric tube containing UO22+ ions (250 μL, 1 × 10−3 M). Then, the solvent system was made to dilute to the mark (DMSO:H2O, v/v = 5:95, pH = 4.5). The solution was shaken for 30 s to mix well and waited for 5 min at room temperature, then some of the solution was transferred to a 5 mL cuvette and the fluorescence intensity and absorbance of the solution were tested by fluorescence spectrometer and UV spectrometer. The parameters of the machine for testing fluorescence spectra were set: the excitation wavelength was 364.0 nm, the width of the emission slit and the excitation slit were 5 nm and 10 nm, respectively, and the voltage was 500 volts.
2.4. Determination of Dissociation Constants
The electrode system was calibrated at three points to pH = 4.01, 6.86, and 9.18 using standard buffer solutions. An amount of 1 × 10−3 mol/L HTPAF and 0.1 mol/L HCl were added sequentially to the stirrer in corresponding amounts, and then the HTPAF solution was diluted with mixed solvent (DMSO:H2O, v/v = 5:95, pH = 4.5) at a concentration of 1 × 10−5 mol/L. Next, a 0.1 mol/L basic solution of sodium hydroxide was prepared using a solvent system of DMSO:H2O = 5:95 (v/v, pH = 4.5) and the burette was washed three times with sodium hydroxide solution and then filled with the basic solution. Then, the change in the real-time potential value was detected by adding 0.1 mol/L 0.05 mL of alkaline solution to the stirrer each time. A pH meter with high accuracy was also used to note down the pH data of the instantaneous potentials. The average value was obtained from the data of three measurements, and finally, the data were entered into a PC workstation to calculate the acid dissociation constant of HTPAF using a super-square.
2.5. Theoretical Calculation Parameter Settings
All calculations concerning quantum chemistry in this study were done by Gaussian 09 software. In order to more closely simulate the uranium elements in the real environment, a smaller nuclear ECP/ECP60MWB pseudopotential basis set considering relativistic effects was used [36,37,38]. For the elemental setup, the conventional B3LYP/6-311G(d,p) basis set was used, and in addition, the involvement of van der Waals forces in the system was added by Grimme’s D3 method, and the interaction of DMSO with water was simulated by the solvation model density (abbreviated to SMD) method under the isoelectric focusing polarizable-continuum model (abbreviated to IEF-PCM) rules [39,40,41,42].
3. Results and Discussion
3.1. Effect of Different Solvents on HTPAF
The solvent has a significant impact on the fluorescence performance of the probe [43], so the fluorescence intensity of the fluorescent probe HTPAF was studied in the presence and absence of UO22+ in various organic solvents (acetonitrile, methanol, tetrahydrofuran, ethanol, and dimethyl sulfoxide) (abbreviated to MeCN, MeOH, THF, EtOH, and DMSO) (Figure 1). Comparing with different organic solvents, it is known that the more pronounced quenching effect was from the HTPAF+UO22+ system in DMSO. Therefore, DMSO was chosen as the organic solvent for the subsequent experiments.
Figure 1.
Fluorescence intensity of HTPAF and HTPAF+UO22+ systems in various organic solvents (MeCN, MeOH, THF, EtOH, and DMSO) (HTPAF, 50 μM, UO22+, 50 μM).
3.2. Influence of Solvent Ratio on HTPAF
As can be seen in Figure 2, the fluorescent probe HTPAF was fluorescent in pure organic solvent, and when the proportion of water in the solvent system started to increase, from 10% to 70%, the fluorescence intensity of the solution system decreased sharply. The reason was that in the solvent system with a large proportion of organic solvents, HTPAF was in the dissolved state rather than in the stacked state. At this time, the triphenylamine structure in HTPAF was easily rotated in this system. When excited by light, the energy was released in the form of rotation and vibration rather than in the form of emitted light [44], so the fluorescence intensity of HTPAF was low at this time. However, when the proportion of water in the solvent system was increased to 90%, the fluorescence intensity of the probe increased exponentially because the fluorescence aggregation-induced luminescence enhancement effect (AIEE) began to appear for the fluorescent probe with the triphenylamine group, which made it easier to identify the fluorescence quenching of the HTPAF probe with the naked eye under UV light after the addition of uranyl ions. The fluorescence intensity of HTPAF reached its highest value when the proportion of water was continued to increase to 95%, and continued to increase to 100%, the fluorescence intensity gradually diminished. Therefore, the solvent system of DMSO:H2O = 5:95 was chosen for the subsequent fluorescence testing experiments.
Figure 2.
In the solvent system of DMSO:H2O, the fluorescence changes of HTPAF(50 μM) fluorescent probe before and after adding UO22+ under different water ratios.
3.3. Effect of pH on the Detection of UO22+
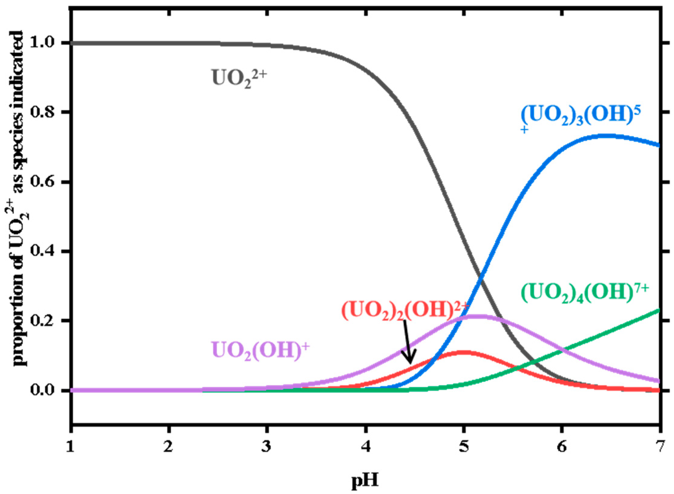
As shown in Figure 3, the fluorescent probe HTPAF showed a strong fluorescence at pH 4.0–7.0. However, after the addition of UO22+ ions, there was a strong fluorescence quenching at pH = 4.5. In order to clarify the fluorescence intensity change, the fluorescence intensity change values (ΔFL) before and after the addition of uranyl ions were indicated in the figure. The fluorescence change values clearly showed an increase at pH 1.0–4.5 and a sharp decrease at pH 4.5–5.0, followed by a slight rise and fall after pH 5.0. Therefore, the most pronounced fluorescence change and the highest degree of quenching were observed at pH = 4.5. According to the potentiometric titration (Figure 4) and the analysis of the results calculated by Visual MINTEQ software (Figure 5) [17], the main species of HTPAF and uranium were positively charged at pH < 4.0 and easily protonated, which made them difficult to bind. While the pH was in the range of 4.5–6.0, the main species of HTPAF was HTPAF-, but the main species of uranium was still UO22+ (pH = 4.5–5.0), and the electrostatic interaction would promote the binding of the probe to uranium. It is worth noting that when pH > 5.0, uranyl gradually started to hydrolyze and produce precipitation, which was not favorable for detection. More importantly, considering the species state of the probe and uranium as well as the final detection effect, especially pH = 4.5 was more acidic and more suitable for practical applications compared to pH = 5.0. Therefore, pH = 4.5 was used as the assay condition in this study.
Figure 3.
Fluorescence intensity of HTPAF before and after the addition of UO22+ at different pH and the fluorescence change values (HTPAF, 50 μM, UO22+, 50 μM).
Figure 4.
The first derivative of the fluorescent probe HTPAF solution (containing 0.1 mol/L HCl) titrated with 0.1 mol/L NaOH.
Figure 5.
Ref. [17] Species distribution of uranyl ions at different pH.
Figure 5.
Ref. [17] Species distribution of uranyl ions at different pH.

3.4. Selectivity and Competitiveness
In order to investigate the fluorescence recognition selectivity of HTPAF for UO22+ under acidic conditions, equal amounts of different metal ions and uranyl ions (Ni2+,Bi3+,Ca2+, K+, Mg2+, Cr3+, Fe3+, Zn2+,Cu2+, In2+, Pb2+, Al3+, Nd2+, Eu3+, Na+, Cd2+, Zr4+, Sr2+, Dy3+, Sm3+, Th4+, La3+, Ag+, Co2+, and UO22+) were added to the solvent system of DMSO:H2O (v:v = 5:95, pH = 4.5), respectively, and the corresponding fluorescence spectra were obtained by excitation at 364 nm to determine the selectivity of HTPAF for UO22+, and the results were shown in Figure 6a. As can be judged from Figure 6a, HTPAF did not respond to the most common metal ions except UO22+. In other words, the HTPAF fluorescent probe designed in this study could achieve specific recognition of UO22+ in the presence of most metal ions, especially Cu2+. Meanwhile, competition experiments were performed by adding UO22+ to the HTPAF solution in the presence of other metal ions (Figure 6b). As could be seen in Figure 6b, most of the competing cations did not interfere significantly with the detection of UO22+ by HTPAF. Therefore, the designed HTPAF fluorescent probe detected UO22+ with relatively high interference resistance.
Figure 6.
(a) Changes in fluorescence intensity of fluorescent probe HTPAF (10 μM) when an equivalent amount of metal ions (10 μM) was added (b) HTPAF (10 μM) versus UO22+ (10 μM) (DMSO:H2O = 5:95 v/v and pH = 4.5) selectivity and anti-interference.
3.5. Fluorescence Titration Experiment of HTPAF on UO22+ and Determination of Sensitivity
As shown in Figure 7a, when the concentration of UO22+ was in the range of 0–50 μM, the fluorescence of the HTPAF solution system gradually decreased with the increasing concentration of UO22+ under 364 nm excitation. And there was a good linear relationship between the UO22+ concentration and the fluorescence intensity of the HTPAF fluorescent probe (y = 2613.05 − 45.63x, R2 = 0.998), where y represented the fluorescence intensity of the HTPAF fluorescent probe and x represented the concentration of uranyl ion. The fitted curves are shown in Figure 7b, and the fluorescence detection limit of HTPAF for uranyl ions was obtained as 76 nM (relative standard deviation <0.05% for both intra-day and inter-day), which was lower than the lowest concentration approved by US EPA in drinking water (0.126 μM) [45], by the formula LOD = 3δ/k [46], (where k represented the slope of the standard curve and δ represented the standard deviation of the fluorescence emission peak of the fluorescent probe HTPAF).
Figure 7.
(a) Fluorescence intensity change when adding 0–50 μM of UO22+ to HTPAF solution (b) Correlation between HTPAF fluorescence intensity and UO22+ concentration (0–50 μM).
3.6. Binding Feature and Response Mechanism by DFT Calculations
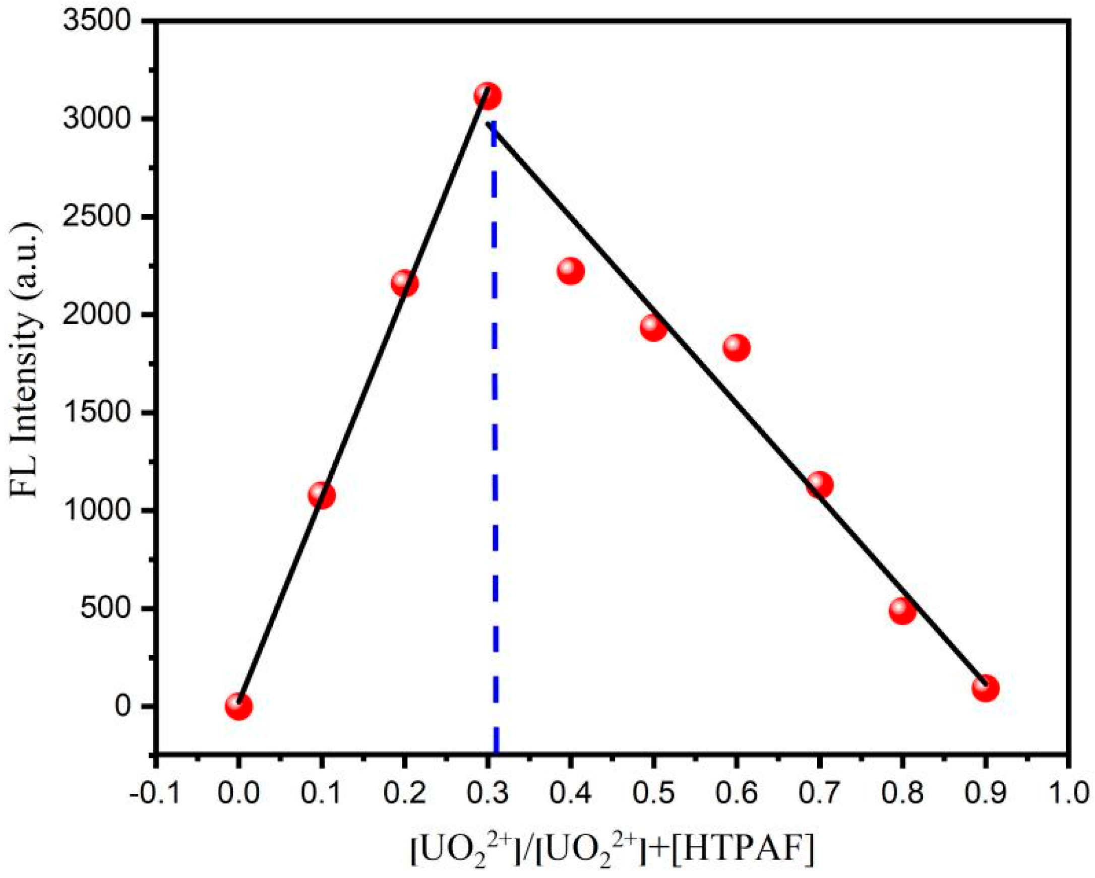
To investigate the binding characteristics of HTPAF to uranyl ions, Job’s plot was used to elucidate the chemomic attempts of the formed complexes (Figure 8). When [UO22+]/([UO22+] + [HTPAF]) was 0.3, the fluorescence intensity difference reached a maximum, indicating that the uranyl ion reached an optimal coordination ratio with HTPAF. Therefore, it could be tentatively judged that the coordination mode of the fluorescent probe HTPAF to UO22+ was 2:1.
Figure 8.
Job’s plot of HTPAF and UO22+.
In general, uranyl ions form complexes with other organic substances that will form tetra-, pentacoordination, and hexacoordination, so that the conditions are for stable existence [47] (the two U=O that uranyl comes with are not considered). Moreover, the embodiment of the electric neutrality of the uranyl complex was due to the coordination with the anion present in the mixed test system, which had two types of auxiliary coordination groups (i.e., H2O and nitrate), where the nitrate came from the uranyl nitrate hexahydrate and the dilute nitric acid used to adjust the pH. Since the pH of the experimental system was 4.5 (when the fluorescent probe HTPAF started to dissociate), the hydrogen atoms on top of the fluorescent probe HTPAF were detached by default in the calculation. To study the coordination modes of uranyl complexes, density flooding theory calculations were implemented for all the formed coordination modes, and the structures of their coordination were [UO2-HTPAF-2H2O], [UO2-HTPAF-3H2O], [UO2-HTPAF-4H2O], [UO2-HTPAF-NO3], [UO2-HTPAF-2NO3], [UO2-(HTPAF)2], and the most probable coordination structures obtained by calculating the coordination structures are shown in Figure 9. Furthermore, their optimal coordination modes were also investigated by calculating their coordination binding energy (ΔEbind for short) as shown in Table 1 and Figure 10. The ΔEbind shown in the table was the energy difference possessed by the ligand before and after binding the uranyl ion. For example, for HTPAF+UO22+ + 2H2O→[UO2-HTPAF-2H2O], ΔEbind = Ecoordination − E(UO22+) − E(HTPAF) − E(2H2O). From Figure 10a,b, it can be found that the energy of ΔEbind = −1376.49 kJ/mol for the 4-coordinated (H2O-assisted) coordination structure was smaller than that of the 4-coordinated (NO3−-assisted) coordination structure ΔEbind = −1277.50 kJ/mol, which indicated that the water-assisted tetracoordinated structure was easier to form. In addition, if the two water molecules involved in the tetracoordination were replaced by one probe molecule, ΔEbind decreased by 825.32 kJ/mol (Figure 10). From the analysis of the above results, it could be concluded that the coordination mode of HTPAF with UO22+ was 2:1, which was consistent with our actual experimental results.
Figure 9.
Possible coordination structures of uranyl with probe (HTPAF) and auxiliary ligands (H2O, NO3−) obtained by DFT calculation.
Table 1.
The binding energy of coordination compounds formed by HTPAF and UO22+.
Figure 10.
(a) Different coordination structures and binding energies between HTPAF and UO22+ and H2O (b) Different coordination structures and binding energies between HTPAF and UO22+ and NO3− (c) HTPAF: UO22+ = 2:1 forms a 4-coordination structure model and binding energy.
In addition to theoretical calculations, the complexes were characterized accordingly by infrared spectroscopy, nuclear magnetic hydrogen spectroscopy (1HNMR) and high-resolution mass spectrometry (HRMS). Firstly, the IR spectra of the fluorescent probe HTPAF and the HTPAF-UO2 complex were compared, as shown in Figure 11. The disappearance of the 3410 cm−1 IR absorption peak in the IR spectrum of the HTPAF-UO2 complex compared to HTPAF confirmed that the -OH in the fluorescent probe HTPAF because of the coordination with uranyl. Furthermore, the IR spectrum of HTPAF-UO2 complex had an IR absorption peak at 925 cm−1 compared to HTPAF, which was clearly a stretching vibrational absorption peak of uranyl ion (920–930 cm−1) [13]. The comparison of the IR spectra of the HTPAF-UO2 complex with HTPAF demonstrated that HTPAF completed the coordination reaction with the UO22+ ion. Secondly, the NMR hydrogen spectroscopy titration experiment further illustrated the coordination of HTPAF with UO22+. As shown in Figure 12, the peak of hydroxyl hydrogen at 9.75 ppm shift of HTPAF disappeared when UO22+ ions were added, indicating that -OH underwent the coordination reaction with UO22+ ions. In addition, it is known from the high-resolution mass spectrometry (HRMS) analysis (Figure 13) that the peak 1079.3284 was consistent with the theoretical value of the complex [UO2+(HTPAF)2-H]− (1081.93), which further confirmed the 2:1 coordination mode of HTPAF with UO22+.
Figure 11.
Comparison of infrared spectra before and after the combination of HTPAF and UO22+.
Figure 12.
Comparison of 1HNMR spectra of fluorescent probe HTPAF before (upper) and after (lower) addition of uranyl ions.
Figure 13.
High-resolution mass spectrum of (HTPAF)2-UO2 complex.
In addition, the fluorescence recognition mechanism of HTPAF for UO22+ was also simulated by DFT. The electrons in the LUMO orbitals mainly came from the HOMO excitation leap, and HOMO was the highest occupied molecular orbital of the fluorophore. As shown in Figure 14, after light excitation at 364 nm, electrons in the HOMO orbitals on the fluorescent probe HTPAF would leap to LUMO, and if no UO22+ ions were bound, the electrons would return to the HOMO orbitals accompanied by energy release processes such as fluorescence emission. However, if bound to UO22+, both the LUMO+2 and HOMO of the complexed coordination compound HTPAF +UO22+ were mainly bound to the fluorescent probe HTPAF (Figure 14). The LUMO of HTPAF+UO22+ was mainly confined to UO22+, and after excitation, the electrons in the HOMO of HTPAF+UO22+ leapt to the LUMO+2. Since the energy of the LUMO of HTPAF+UO22+ (−2.01 ev) was lower than that of the LUMO+2 of HTPAF+UO22+ (−1.69 ev), the electrons from LUMO+2 of HTPAF+UO22+ could flow to the LUMO of HTPAF+UO22+. i.e., the excited electrons on the LUMO of HTPAF+UO22+ could not return to the ground state, which lead to the fluorescence burst. From the calculation results, it was obvious that it was a typical photoelectron transfer (PET) (Scheme 3).
Figure 14.
Schematic diagram and mechanism diagram of HTPAF fluorescent probe and fluorescent probe HTPAF forming complex with UO22+.
Scheme 3.
The mechanism for detection of UO22+ ion by HTPAF.
3.7. Comparison of This Work with Other Reports
A comparison of the probe HTPAF with some UO22+ ion probes was shown in Table 2. The test conditions of HTPAF were more favorable for application to real-world environments than other probes.
Table 2.
Comparison of present work with the literature reports.
Table 2.
Comparison of present work with the literature reports.
| Ref. | Type | Test Conditions | Linear Range | LOD | Interfering Ions |
|---|---|---|---|---|---|
| [20] | Turn off | DMA:H2O (v/v = 95:5), pH = 6 | 10–150 nM | 10 nM | No interference |
| [21] | Turn off | DMSO, pH = 4 | 1.7–490 μM | 410 μM | Th4+, Al3+, Fe3+ |
| [22] | Turn on | EtOH:H2O (v/v = 90:10), pH = 10.3 | 4.2–105 nM | 0.84 nM | Cu2+ |
| [17] | Turn off | THF:H2O (v/v = 5:95), pH = 4.5 | 1–10 μM | 0.5 nM | Cu2+ |
| [18] | Turn on | EtOH:H2O (v/v = 80:20), pH = 5.5 | 0–84 nM | 2.1 nM | Al3+ |
| [48] | Turn off | Toluene, pH (neutral) | 0–3.3 μM | 83.33 nM | No interference |
| [49] | Turn off | Aqueous solution, pH = 6 | 0–20 μM | 1.7 nM | Al3+ (minor) |
| [50] | Turn off | Aqueous solution, pH = 5.5 | 1.12–121.1 nM | 0.41 nM | No interference |
| [16] | Turn off | Aqueous solution, pH = 5.5 | 0–100 nM | 2.14 nM | Th4+ (minor) |
| [51] | Turn off | DMF, pH = 6 | 0–10 μM | 8.3 nM | No interference |
| This work | Turn off | DMSO:H2O (v/v = 5:95), pH = 4.5 | 0–50 μM | 76 nM | No interference |
4. Conclusions
In summary, a new flavonoid fluorescent probe HTPAF with triphenylamine functional group was designed and synthesized. The fluorescent probe HTPAF had a large Stokes shift (110 nm) and could selectively detect UO22+ in high water ratio (DMSO:H2O, v/v = 5:95) and an acidic environment (pH = 4.5) without the presence of general metal ions and specific metal ions (e.g., Al3+,Cu2+, Fe3+, Th4+). In addition, Job’s plot, HRMS, FT-IR, 1HNMR experiments, and DFT calculations together demonstrated that the coordination mode of HTPAF with UO22+ was 2:1, and the oxygen atom of -OH and the oxygen atom of the neighboring ketone (C=O) in flavonol were coordinated with UO22+ to form a 4-ligand structure, resulting in a fluorescence intensity of HTPAF in the range of 0–50 μM with good linearity and a detection limit of 76 nM. Furthermore, due to the large Stokes shift and the absence of interference from other metal ions, the probe had potential applications for the detection of UO22+ in the environment.
Supplementary Materials
The following supporting information can be downloaded at: https://www.mdpi.com/article/10.3390/s22186987/s1, Figure S1: The 1HNMR spectra of HTPAF; Figure S2: The 13CNMR spectra of HTPAF; Figure S3: The high-resolution mass spectrometry of HTPAF.
Author Contributions
Investigation, B.L.; data curation, B.L. and W.C.; writing—original draft preparation, B.L. and W.C.; writing—review and editing, J.Z. and H.W.; supervision, H.W. All authors have read and agreed to the published version of the manuscript.
Funding
This research received no external funding.
Conflicts of Interest
The authors declare no conflict of interest.
References
- Salameh, M.G. Can renewable and unconventional energy sources bridge the global energy gap in the 21st century? Appl. Energy 2003, 75, 33–42. [Google Scholar] [CrossRef]
- Shi, S.; Tang, X.; Yang, Y.; Liu, Z. Biological effects of uranium in water, soil and rice in uranium deposits in southern China. J. Radioanal. Nucl. Chem. 2021, 328, 507–517. [Google Scholar] [CrossRef]
- Coelho, E.; Reis, T.A.; Cotrim, M.; Mullan, T.K.; Correa, B. Resistant fungi isolated from contaminated uranium mine in Brazil shows a high capacity to uptake uranium from water. Chemosphere 2020, 248, 126068. [Google Scholar] [CrossRef] [PubMed]
- Pedrobom, J.H.; Eismann, C.E.; Menegario, A.A.; Galhardi, J.A.; Luko, K.S.; Dourado, T.A.; Kiang, C.H. In situ speciation of uranium in treated acid mine drainage using the diffusion gradients in thin films technique (DGT). Chemosphere 2017, 169, 249–256. [Google Scholar] [CrossRef] [PubMed]
- Peng, B.; Tang, X.; Yu, C.; Xie, S.; Xiao, M.; Song, Z.; Tu, X. Heavy metal geochemistry of the acid mine drainage discharged from the Hejiacun uranium mine in central Hunan, China. Environ. Geol. 2008, 57, 421–434. [Google Scholar] [CrossRef]
- Zhou, Z.; Zhou, Y.; Liang, X.; Xie, F.; Liu, S.; Ma, J. Sensitive detection of uranium in water samples using differential pulse adsorptive stripping voltammetry on glassy carbon electrode. J. Radioanal. Nucl. Chem. 2019, 322, 2049–2056. [Google Scholar] [CrossRef]
- Korolczuk, M.; Tyszczuk, K.; Grabarczyk, M. Determination of uranium by adsorptive stripping voltammetry at a lead film electrode. Talanta 2007, 72, 957–961. [Google Scholar] [CrossRef] [PubMed]
- Ruan, C.; Luo, W.; Wang, W.; Gu, B. Surface-enhanced Raman spectroscopy for uranium detection and analysis in environmental samples. Anal. Chim. Acta 2007, 605, 80–86. [Google Scholar] [CrossRef]
- Jiang, J.; Zhao, F.; Shi, S.; Du, Y.; Chen, J.; Wang, S.; Xu, J.; Li, C.; Liao, J. In Situ Surface-Enhanced Raman Spectroscopy Detection of Uranyl Ions with Silver Nanorod-Decorated Tape. ACS Omega 2019, 4, 12319–12324. [Google Scholar] [CrossRef]
- Becker, A.; Tobias, H.; Mandler, D. Electrochemical Determination of Uranyl Ions Using a Self-Assembled Monolayer. Anal. Chem. 2009, 81, 8627–8631. [Google Scholar] [CrossRef]
- Guo, W.; Xu, H.; Cao, X.; Ma, J.; Liu, Y. A novel electrochemical detemination platform of uranyl ion based on silver nanodendrites-reduced graphene oxide. Microchem. J. 2020, 158, 105134. [Google Scholar] [CrossRef]
- Wu, X.; Huang, Q.; Mao, Y.; Wang, X.; Wang, Y.; Hu, Q.; Wang, H.; Wang, X. Sensors for determination of uranium: A review. TrAC Trends Anal. Chem. 2019, 118, 89–111. [Google Scholar] [CrossRef]
- Wu, X.; Mao, Y.; Wang, D.; Huang, Q.; Yin, Q.; Zheng, M.; Hu, Q.; Wang, H. Designing a colorimetric sensor containing nitrogen and oxygen atoms for uranyl ions identification: Chromatic mechanism, binding feature and on-site application. Sens. Actuators B Chem. 2020, 307, 127681. [Google Scholar] [CrossRef]
- Yun, W.; Wu, H.; Yang, Z.; Wang, R.; Wang, C.; Yang, L.; Tang, Y. A dynamic, ultra-sensitive and “turn-on” strategy for fluorescent detection of uranyl based on DNAzyme and entropy-driven amplification initiated circular cleavage amplification. Anal. Chim. Acta 2019, 1068, 104–110. [Google Scholar] [CrossRef] [PubMed]
- Sun, C.; Dong, W.; Peng, J.; Wan, X.; Sun, Z.; Li, D.; Wang, S. Dual-mode fluorescence–SERS sensor for sensitive and selective detection of uranyl ions based on satellite Fe3O4-Au@CdTe nanostructure. Sens. Actuators B Chem. 2020, 325, 128644. [Google Scholar] [CrossRef]
- Zhang, H.; Ruan, Y.; Lin, L.; Lin, M.; Zeng, X.; Xi, Z.; Fu, F. A turn-off fluorescent biosensor for the rapid and sensitive detection of uranyl ion based on molybdenum disulfide nanosheets and specific DNAzyme. Spectrochim. Acta Part A Mol. Biomol. Spectrosc. 2015, 146, 1–6. [Google Scholar] [CrossRef] [PubMed]
- Zheng, M.; Yin, Q.; Wang, D.; Zhao, Z.; Hu, Q.; Wang, H. A fluorescent probe of uranyl for acid and high water system and imaging in living cells. Microchem. J. 2021, 167, 106302. [Google Scholar] [CrossRef]
- Chen, X.; Peng, L.; Feng, M.; Xiang, Y.; Tong, A.; He, L.; Liu, B.; Tang, Y. An aggregation induced emission enhancement-based ratiometric fluorescent sensor for detecting trace uranyl ion (UO22+) and the application in living cells imaging. J. Lumin. 2017, 186, 301–306. [Google Scholar] [CrossRef]
- Hong, Y.; Lam, J.W.; Tang, B.Z. Aggregation-induced emission. Chem. Soc. Rev. 2011, 40, 5361–5388. [Google Scholar] [CrossRef]
- Ma, J.; He, W.; Han, X.; Hua, D. Amidoximated fluorescent polymer based sensor for detection of trace uranyl ion in aqueous solution. Talanta 2017, 168, 10–15. [Google Scholar] [CrossRef]
- Elabd, A.A.; Attia, M.S. A new thin film optical sensor for assessment of UO22+ based on the fluorescence quenching of Trimetazidine doped in sol gel matrix. J. Lumin. 2015, 165, 179–184. [Google Scholar] [CrossRef]
- Wang, D.; Yin, Q.; Zheng, M.; Xie, Y.; He, W.; Li, Z.; Hou, S.; Wang, H. Fluorescent sensor based on triphenylamine for Zn2+ with high selectivity and imaging in living cells. Spectrochim. Acta Part A Mol. Biomol. Spectrosc. 2021, 251, 119480. [Google Scholar] [CrossRef] [PubMed]
- Chen, X.; He, L.; Wang, Y.; Liu, B.; Tang, Y. Trace analysis of uranyl ion (UO22+) in aqueous solution by fluorescence turn-on detection via aggregation induced emission enhancement effect. Anal. Chim. Acta 2014, 847, 55–60. [Google Scholar] [CrossRef] [PubMed]
- Luo, J.; Xie, Z.; Lam, J.W.; Cheng, L.; Chen, H.; Qiu, C.; Kwok, H.S.; Zhan, X.; Liu, Y.; Zhu, D.; et al. Aggregation-induced emission of 1-methyl-1,2,3,4,5-pentaphenylsilole. Chem. Commun. 2001, 18, 1740–1741. [Google Scholar] [CrossRef] [PubMed]
- Kwok, R.T.; Leung, C.W.; Lam, J.W.; Tang, B.Z. Biosensing by luminogens with aggregation-induced emission characteristics. Chem. Soc. Rev. 2015, 44, 4228–4238. [Google Scholar] [CrossRef] [PubMed]
- Luo, Z.; Liu, B.; Si, S.; Lin, Y.; Luo, C.S.; Pan, C.; Zhao, C.; Wang, L. A fluorescent chemosensor based on nonplanar donor-acceptor structure for highly sensitive and selective detection of picric acid in water. Dyes Pigment. 2017, 143, 463–469. [Google Scholar] [CrossRef]
- Shanmugaraju, S.; Mukherjee, P.S. pi-Electron rich small molecule sensors for the recognition of nitroaromatics. Chem. Commun. 2015, 51, 16014–16032. [Google Scholar] [CrossRef]
- Guo, R.; Li, T.; Shi, S. Aggregation-induced emission enhancement of carbon quantum dots and applications in light emitting devices. J. Mater. Chem. C 2019, 7, 5148–5154. [Google Scholar] [CrossRef]
- Li, H.; Chi, Z.; Zhang, X.; Xu, B.; Liu, S.; Zhang, Y.; Xu, J. New thermally stable aggregation-induced emission enhancement compounds for non-doped red organic light-emitting diodes. Chem. Commun. 2011, 47, 11273–11275. [Google Scholar] [CrossRef]
- Luponosov, Y.N.; Solodukhin, A.N.; Balakirev, D.O.; Surin, N.M.; Svidchenko, E.A.; Pisarev, S.A.; Fedorov, Y.V.; Ponomarenko, S.A. Triphenylamine-based luminophores with different side and central aromatic blocks: Synthesis, thermal, photophysical and photochemical properties. Dyes Pigment. 2020, 179, 108397. [Google Scholar] [CrossRef]
- Shen, B.X.; Qian, Y. A novel triphenylamine-BODIPY dendron: Click synthesis, near-infrared emission and a multi-channel chemodosimeter for Hg(2+) and Fe(3). J. Mater. Chem. B 2016, 4, 7549–7559. [Google Scholar] [CrossRef] [PubMed]
- Xu, Z.; Zhao, X.; Zhou, M.; Zhang, Z.; Qin, T.; Wang, D.; Wang, L.; Peng, X.; Liu, B. Donor engineering on flavonoid-based probes to enhance the fluorescence brightness in water: Design, characterization, photophysical properties, and application for cysteine detection. Sens. Actuators B Chem. 2021, 345, 130367. [Google Scholar] [CrossRef]
- Casadesús, R.; Vendrell, O.; Moreno, M.; Lluch, J.M.; Morokuma, K. On the intramolecular proton transfer of 3-hydroxyflavone in the first singlet excited state: A theoretical study. Chem. Phys. 2006, 325, 243–250. [Google Scholar] [CrossRef]
- Berezin, M.Y.; Achilefu, S. Fluorescence Lifetime Measurements and Biological Imaging. Chem. Rev. 2010, 110, 2641–2684. [Google Scholar] [CrossRef] [PubMed]
- Kumar, S.; Pandey, A.K. Chemistry and biological activities of flavonoids: An overview. Sci. World J. 2013, 2013, 162750. [Google Scholar] [CrossRef]
- Qin, T.; Liu, B.; Xu, Z.; Yao, G.; Xu, H.; Zhao, C. Flavonol-based small-molecule fluorescent probes. Sens. Actuators B Chem. 2021, 336, 129718. [Google Scholar] [CrossRef]
- Wu, Q.Y.; Lan, J.H.; Wang, C.Z.; Xiao, C.L.; Zhao, Y.L.; Wei, Y.Z.; Chai, Z.F.; Shi, W.Q. Understanding the bonding nature of uranyl ion and functionalized graphene: A theoretical study. J. Phys. Chem. A 2014, 118, 2149–2158. [Google Scholar] [CrossRef]
- Cao, X.; Dolg, M.; Stoll, H. Valence basis sets for relativistic energy-consistent small-core actinide pseudopotentials. J. Chem. Phys. 2003, 118, 487–496. [Google Scholar] [CrossRef]
- Venkatalaxmi, A.; Padmavathi, B.S.; Amaranath, T. A general solution of unsteady Stokes equations. Fluid Dyn. Res. 2004, 35, 229–236. [Google Scholar] [CrossRef]
- Krishnan, R.; Binkley, J.S.; Seeger, R.; Pople, J.A. Self-consistent molecular orbital methods. XX. A basis set for correlated wave functions. J. Chem. Phys. 1980, 72, 650–654. [Google Scholar] [CrossRef]
- Ye, D.; Wu, S.-Q.; Yu, Y.; Liu, L.; Lu, X.-P.; Wu, Y. Patterned graphene functionalization via mask-free scanning of micro-plasma jet under ambient condition. Appl. Phys. Lett. 2014, 104, 103105. [Google Scholar] [CrossRef]
- Grimme, S.; Ehrlich, S.; Goerigk, L. Effect of the damping function in dispersion corrected density functional theory. J. Comput. Chem. 2011, 32, 1456–1465. [Google Scholar] [CrossRef] [PubMed]
- Marenich, A.V.; Cramer, C.J.; Truhlar, D.G. Universal Solvation Model Based on Solute Electron Density and on a Continuum Model of the Solvent Defined by the Bulk Dielectric Constant and Atomic Surface Tensions. J. Phys. Chem. B 2009, 113, 6378–6396. [Google Scholar] [CrossRef]
- Liu, B.; Tan, Y.; Hu, Q.; Wang, Y.; Mao, Y.; Tao, P.; Wang, H. A new ratiometric and colorimetric fluorescent Th4+ probe under extreme acidity and cell imaging. Sens. Actuators B Chem. 2019, 296, 126675. [Google Scholar] [CrossRef]
- Raymond-Whish, S.; Mayer, L.P.; O’Neal, T.; Martinez, A.; Sellers, M.A.; Christian, P.J.; Marion, S.L.; Begay, C.; Propper, C.R.; Hoyer, P.B.; et al. Drinking water with uranium below the U.S. EPA water standard causes estrogen receptor-dependent responses in female mice. Environ. Health Perspect. 2007, 115, 1711–1716. [Google Scholar] [CrossRef]
- Zheng, S.; Wang, H.; Hu, Q.; Wang, Y.; Hu, J.; Zhou, F.; Liu, P. “Turn-On” fluorescent chemosensor based on β-diketone for detecting Th4+ ions in Aqueous Solution and application in living cell imaging. Sens. Actuators B Chem. 2017, 253, 766–772. [Google Scholar] [CrossRef]
- DeVore, I.M.A.; Kerns, S.A.; Gorden, A.E.V. Characterization of Quinoxolinol Salen Ligands as Selective Ligands for Chemosensors for Uranium. Eur. J. Inorg. Chem. 2015, 2015, 5708–5714. [Google Scholar] [CrossRef]
- Halali, V.V.; Shwetha Rani, R.; Geetha Balakrishna, R.; Budagumpi, S. Ultra-trace level chemosensing of uranyl ions; scuffle between electron and energy transfer from perovskite quantum dots to adsorbed uranyl ions. Microchem. J. 2020, 156, 104808. [Google Scholar] [CrossRef]
- Xu, M.; Wang, T.; Gao, P.; Zhao, L.; Zhou, L.; Hua, D. Highly fluorescent conjugated microporous polymers for concurrent adsorption and detection of uranium. J. Mater. Chem. A 2019, 7, 11214–11222. [Google Scholar] [CrossRef]
- Xiao, S.J.; Zuo, J.; Zhu, Z.Q.; Ouyang, Y.Z.; Zhang, X.L.; Chen, H.W.; Zhang, L. Highly sensitive DNAzyme sensor for selective detection of trace uranium in ore and natural water samples. Sens. Actuators B Chem. 2015, 210, 656–660. [Google Scholar] [CrossRef]
- Zhang, C.-R.; Cui, W.-R.; Jiang, W.; Li, F.-F.; Wu, Y.-D.; Liang, R.-P.; Qiu, J.-D. Simultaneous sensitive detection and rapid adsorption of UO22+ based on a post-modified sp2 carbon-conjugated covalent organic framework. Environ. Sci. Nano 2020, 7, 842–850. [Google Scholar] [CrossRef]
Publisher’s Note: MDPI stays neutral with regard to jurisdictional claims in published maps and institutional affiliations. |
© 2022 by the authors. Licensee MDPI, Basel, Switzerland. This article is an open access article distributed under the terms and conditions of the Creative Commons Attribution (CC BY) license (https://creativecommons.org/licenses/by/4.0/).















