Electrochemical Determination of Morin in Natural Food Using a Chitosan–Graphene Glassy Carbon Modified Electrode
Abstract
1. Introduction
2. Materials and Methods
2.1. Reagents and Instruments
2.2. Electrode Preparation of Ch/GCE and Ch-G/GCE
2.3. Sample Preparation
2.4. Measurement Procedure
3. Results and Discussion
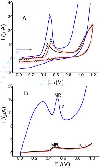
3.1. GCE, Ch/GCE, and Ch-G/GCE Surfaces and MR Activity
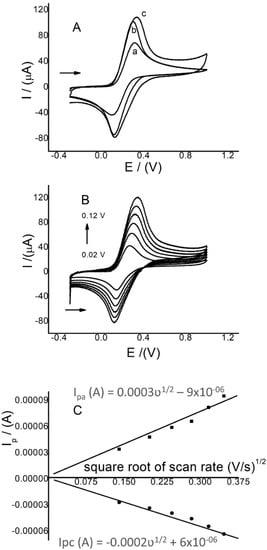
3.2. Evaluation of the Mass Transfer Process for MR with Ch-G/GCE
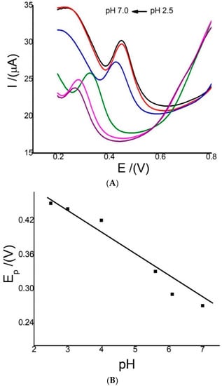
3.3. pH Effect on MR Using the Ch-G/GCE
3.4. Calibration Curve, Sensitivity, and Detection Limit
3.5. Interference Study and Reproducibility
3.6. Analytical Applications
4. Conclusions
Author Contributions
Funding
Institutional Review Board Statement
Informed Consent Statement
Data Availability Statement
Acknowledgments
Conflicts of Interest
References
- Caselli, A.; Cirri, P.; Santi, A.; Paoli, P. Morin: A Promising Natural Drug. Curr. Med. Chem. 2016, 23, 774–791. [Google Scholar] [CrossRef] [PubMed]
- Sharma, S.H.; Thulasingam, S.; Chellappan, D.R.; Chinnaswamy, P.; Nagarajan, S. Morin and Esculetin supplementation modulates c-myc induced energy metabolism and attenuates neoplastic changes in rats challenged with the procarcinogen 1,2–dimethylhydrazine. Eur. J. Pharmacol. 2017, 796, 20–31. [Google Scholar] [CrossRef] [PubMed]
- Yan, Y.; Li, L.; Zhang, H.; Du, F.; Meng, Y.; Shuang, S.; Wang, R.; Song, S.; Dong, C. Carbon dots for ratiometric fluorescence detection of morin. Spectrochim. Acta Part A 2021, 256, 119751. [Google Scholar] [CrossRef] [PubMed]
- Li, J.; Liu, Y.; Shu, Q.; Liang, J.; Zhang, F.; Chen, X.; Deng, X.M.T.; Swihart, M.T.; Tan, K. One-Pot Hydrothermal Synthesis of Carbon Dots with Efficient Up- and Down-Converted Photoluminescence for the Sensitive Detection of Morin in a Dual-Readout Assay. Langmuir 2017, 33, 1043–1050. [Google Scholar] [CrossRef]
- Liu, L.; Mi, Z.; Hu, Q.; Li, C.; Li, X.; Feng, F. Green synthesis of fluorescent carbon dots as an effective fluorescence probe for morin detection. Anal. Methods 2019, 11, 353–358. [Google Scholar] [CrossRef]
- Wang, H.; Xing, H.; Liu, W.; Hao, Y.; Zhang, L.; Yang, Z.; Hu, Q.; Shuang, S.; Dong, C.; Gong, X. Gadolinium-doped carbon dots as a ratiometric fluorometry and colorimetry dual-mode nano-sensor based on specific chelation for morin detection. Sensor. Actuat. B Chem. 2022, 352, 130991. [Google Scholar] [CrossRef]
- Zhang, W.; Luo, Y.; Xie, Z.; Kong, C.; Na, Z. Extraction and detection of morin from Sanghuangporus lonicericola by magnetic molecularly imprinted polymers coupled with HPLC analysis. J. Food Sci. 2022, 87, 1575–1585. [Google Scholar] [CrossRef]
- Mariño, A.; Leiva, A.; Bolaños, Y.; García-Beltrán, O.; Nagles, E. Determination of pentahydroxyflavones using coated chitosan multi-wall carbon nanotubes and an ionic liquid glassy carbon electrode by adsorption stripping voltammetry (AdSV). J. Electroanal. Chem. 2015, 759, 153–157. [Google Scholar] [CrossRef]
- Ziyatdinova, G.; Ziganshina, E.; Budnikov, H. Electrooxidation of morin on glassy carbon electrode modified by carboxylated single-walled carbon nanotubes and surfactants. Electrochim. Acta 2014, 145, 209–216. [Google Scholar] [CrossRef]
- Lee, C.; Kim, T.H. Large-Scale Preparation of MoS2/Graphene Composites for Electrochemical Detection of Morin. Appl. Nano Mater. 2021, 4, 6668–6677. [Google Scholar] [CrossRef]
- Sukanya, R.; Sakthivel, M.; Chen, S.; Chen, T. A new type of terbium diselenide nano octagon integrated oxidized carbon nanofiber: An efficient electrode material for electrochemical detection of morin in the food sample. Sensor Actuat. B Chem. 2018, 269, 354–363. [Google Scholar] [CrossRef]
- Sebastian, N.; Yu, W.; Balram, D. Synthesis of amine-functionalized multi-walled carbon nanotube/3D rose flower-like zinc oxide nanocomposite for sensitive electrochemical detection of flavonoid morin. Anal. Chim. Acta 2020, 1095, 71–81. [Google Scholar] [CrossRef] [PubMed]
- Erady, V.; Mascarenhas, R.J.; Satpati, A.K.; Bhakta, A.K.; Mekhalif, Z.; Delhalle, J. Sensitive voltammetric determination of Morin in Psidium guajava leaf extract at Nickel (II) phthalocyanine modified carbon paste electrode. Surf. Interfaces 2020, 19, 100517. [Google Scholar] [CrossRef]
- Kokulnathan, T.; Sakthinathan, S.; Chen, S.; Karthika, R.; Chiu., T. Hexammine cobalt(iii) coordination complex grafted reduced graphene oxide composite for sensitive and selective electrochemical determination of morin in fruit samples. Inorg. Chem. Front. 2018, 25, 1145–1155. [Google Scholar] [CrossRef]
- Cheng, W.; Liu, P.; Zhanga, M.; Huang, J.; Cheng, F.; Wang, L. A highly sensitive morin sensor based on PEDT–Au/rGO nanocomposites modified glassy carbon electrode. RSC Adv. 2017, 7, 47781–47788. [Google Scholar] [CrossRef]
- Yola, M.; Gupta, V.; Eren, T.; Şen, A.; Atar, N. A novel electro analytical nanosensor based on graphene oxide/silver nanoparticles for simultaneous determination of quercetin and morin. Electrochim. Acta 2014, 120, 204–211. [Google Scholar] [CrossRef]
- Gonzalez, C.; García-Beltrán, O.; Nagles, E. A new and simple electroanalytical method to detect thiomersal in vaccines on a screen-printed electrode modified with chitosan. Anal. Methods 2018, 10, 1196–1202. [Google Scholar] [CrossRef]
- Peña-Gonzalez, A.; García-Beltrán, O.; Nagles, E. Detection of Sunset Yellow by Adsorption Voltammetry at Glassy Carbon Electrode Modified with Chitosan. Int. J. Electrochem. Sci. 2018, 13, 5005–5015. [Google Scholar] [CrossRef]
- Pauliukaite, R.; Ghica, M.E.; Fatibello-Filho, O.; Brett, C.M.A. Electrochemical impedance studies of chitosan-modified electrodes for application in electrochemical sensors and biosensors. Electrochim. Acta. 2010, 55, 6239–6247. [Google Scholar] [CrossRef]
- Yuan, H.; He, Z. Graphene-modified electrodes for enhancing the performance of microbial fuel cells. Nanoscale 2015, 7, 7022–7029. [Google Scholar] [CrossRef]
- Yu, F.; Wang, C.; Ma, J. Applications of Graphene-Modified Electrodes. Microbial. Fuel Cells Mater. 2016, 9, 807. [Google Scholar]
- Huang, X.; Zeng, Z.; Fan, Z.; Liu, J.; Zhang, H. Graphene-Based Electrodes. Adv. Mater. 2012, 24, 5979–6004. [Google Scholar] [CrossRef] [PubMed]
- Baig, N.; Saleh, T.A. Electrodes modified with 3D graphene composites: A review on methods for preparation, properties and sensing applications. Microchim. Acta 2018, 185, 283. [Google Scholar] [CrossRef]
- Pumera, M. Electrochemistry of graphene, graphene oxide and other graphenoids. Electrochem. Commun. 2013, 36, 14–18. [Google Scholar] [CrossRef]
- Wu, S.; Ambrosi, A.; Bonanni, A.; Khim Chng, E.L.; Poh, H.L. Graphene for electrochemical sensing and biosensing. Trends Anal. Chem. 2010, 29, 954965. [Google Scholar]
- Nag, A.; Mitra, S.C. Mukhopadhyay, Graphene and its sensor-based applications: A review. Sens. Actuat. A Phys. 2018, 270, 177–194. [Google Scholar] [CrossRef]
- Khan, M.Z.H. Graphene Oxide Modified Electrodes for Dopamine Sensing. J. Nanomater. 2017, 2017, 8178314. [Google Scholar] [CrossRef]
- Ambrosi, A.; Kiang Chua, C.; Mohamad Latiff, N.; Huiling Loo, A.; Wong, C.H.A.; Bonannia, A. Pumer, Graphene and its electrochemistry. Chem. Soc. Rev. 2016, 45, 2458–2493. [Google Scholar] [CrossRef]
- Ambrosi, A.; Kiang Chua, C.; Bonanni, A.; Pumera, M. Electrochemistry of Graphene and Related Materials. Chem. Rev. 2014, 114, 7150–7188. [Google Scholar] [CrossRef]
- Santana, E.C.; Martins, E.; Spinelli, A. Electrode modified with nitrogen-doped graphene quantum dots supported in chitosan for triclocarban monitoring. Microchem. J. 2021, 167, 106297. [Google Scholar] [CrossRef]
- Constante Martins, E.; Santana, E.R.; Spinelli, A. Nitrogen and sulfur co-doped graphene quantum dot-modified electrode for monitoring of multivitamins in energy drinks. Talanta 2022, 252, 123836. [Google Scholar] [CrossRef] [PubMed]
- Kudur Jayaprakash, G.; Flores-Moreno, R. Regioselectivity in hexagonal boron nitride co-doped graphene. New J. Chem. 2018, 42, 18913–18918. [Google Scholar] [CrossRef]
- Kudur Jayaprakash, G. Pre-post redox electron transfer regioselectivity at the alanine modified nano graphene electrode interface. Chem. Phys. Lett. 2022, 789, 39295. [Google Scholar] [CrossRef]
- Kang, X.; Wang, J.; Wu, H.; Aksay, I.A.; Liu, J.; Lin, Y. Glucose oxidase-graphene-chitosan modified electrode for direct electrochemistry and glucose sensing. Biosens. Bioelectron. 2009, 25, 901–905. [Google Scholar] [CrossRef] [PubMed]
- Shan, C.; Yang, H.; Han, D.; Zhang, Q.; Ivaska, A.; Niu, L. Graphene/AuNPs/chitosan nanocomposites film for glucose biosensing. Biosens. Bioelectron. 2010, 25, 1070–1074. [Google Scholar] [CrossRef]
- Han, D.; Han, T.; Shan, C.; Ivaska, A.; Niu, L. Simultaneous Determination of Ascorbic Acid, Dopamine and Uric Acid with Chitosan-Graphene Modified Electrode. Electroanalysis 2010, 22, 2001–2008. [Google Scholar] [CrossRef]
- Wang, X.; Wu, M.; Tang, W.; Zhu, Y.; Wang, L.; Wang, Q.; He, P.; Fang, Y. Simultaneous electrochemical determination of ascorbic acid, dopamine and uric acid using a palladium nanoparticle/graphene/chitosan modified electrode. J. Electroanal. Chem. 2013, 695, 10–16. [Google Scholar] [CrossRef]
- Jia, N.; Huang, B.; Chen, L.; Tan, L.; Yao, S. A simple non-enzymatic hydrogen peroxide sensor using gold nanoparticles-graphene-chitosan modified electrode. Sens. Actuat. B Chem. 2014, 195, 165–170. [Google Scholar] [CrossRef]
- Ye, D.; Luo, L.; Ding, Y.; Chen, Q.; Liu, X. A novel nitrite sensor based on graphene/polypyrrole/chitosan nanocomposite modified glassy carbon electrode. Analyst 2011, 136, 4563–4569. [Google Scholar] [CrossRef]
- Arvand, M.; Shabani, A.; Ardaki, M.S. A New Electrochemical Sensing Platform Based on Binary Composite of Graphene Oxide-Chitosan for Sensitive Rutin Determination. Food Anal. Methods. 2017, 10, 2332–2345. [Google Scholar] [CrossRef]
- An, J.; Bi, Y.; Yang, C.; Hu, F.; Wang, C. Electrochemical study and application on rutin at chitosan/graphene films modified glassy carbon electrode. J. Pharm. Anal. 2013, 3, 102–108. [Google Scholar] [CrossRef] [PubMed]
- Xu, Z.; Fan, X.; Tang, Q.; Lu, Z.; Zhang, J.; Mo, G.; Ye, J.; Ye, J. A sensitive electrochemical sensor for simultaneous voltammetric sensing of cadmium and lead based on Fe3O4/multiwalled carbon nanotube/laser scribed graphene composites functionalized with chitosan modified electrode. Mater. Chem. Phys. 2019, 238, 121877. [Google Scholar] [CrossRef]
- Cuadrado, C.; Ibarra, L.; Hurtado, J.; García-Beltrán, O.; Nagles, E. Electrochemical Sensors for Dopamine using Graphenecobalt(II) Complex Modified Glassy Carbon Electrode by Adsorptive Voltammetry. Anal. Bioanal. Electrochem. 2016, 8, 910–921. [Google Scholar]
- Nagles, E.; Ceroni, M.; Villanueva Huerta, C.; Hurtado, J.J. Simultaneous Electrochemical Determination of Paracetamol and Allura Red in Pharmaceutical Doses and Food Using a Mo(VI) Oxide-Carbon Paste Microcomposite. Electroanalysis 2021, 33, 2335–2344. [Google Scholar] [CrossRef]
- Li, G.; Wu, J.; Jin, H.; Xia, Y.; Liu, J.; He, Q.; Chen, D. Titania/Electro-Reduced Graphene Oxide Nanohybrid as an Efficient Electrochemical Sensor for the Determination of Allura Red. Nanomaterials 2020, 10, 307. [Google Scholar] [CrossRef]
- Karimi-Maleh, H.; Alizadeh, M.; Orooji, Y.; Karimi, F.; Baghayeri, M.; Rouhi, J.; Tajik, S.; Beitollahi, H.; Agarwal, S.; Gupta, V.K.; et al. Guanine-Based DNA Biosensor Amplified with Pt/SWCNTs Nanocomposite as Analytical Tool for Nanomolar Determination of Daunorubicin as an Anticancer Drug: A Docking/Experimental Investigation. Ind. Eng. Chem. Res. 2021, 60, 816–823. [Google Scholar] [CrossRef]
- Masek, A.; Chrzescijanska, E.; Zaborski, M. Electrooxidation of morin hydrate at a Pt electrode studied by cyclic voltammetry. Food Chem. 2014, 148, 18–23. [Google Scholar] [CrossRef] [PubMed]
- Stefano, J.S.; Montes, R.H.O.; Richter, E.M.; Muño, R.A.A. Flow-injection analysis with multiple-pulse amperometry for simultaneous determination of paracetamol and naproxen using a homemade flow cell for screen-printed electrodes. J. Braz. Chem. Soc. 2014, 25, 484–491. [Google Scholar] [CrossRef]
- Verdan, A.M.; Wang, H.C.; García, C.R.; Henry, W.P.; Brumaghim, J.L. Iron binding of 3-hydroxychromone, 5-hydroxychromone, and sulfonated morin: Implications for the antioxidant activity of flavonols with competing metal binding sites. J. Inorg. Biochem. 2011, 105, 1314–1322. [Google Scholar] [CrossRef]
- Arancibia, V.; Gracía-Beltrán, O.; Hurtado, J.; Nagles, E. Adsorptive Stripping Voltammetric Determination of Morin in Tea Infusions and Chocolate Drinks on a Gold Electrode. Effect of Cetylpyridinium Bromide on the Sensitivity of the Method. Int. J. Electrochem. Sci. 2017, 12, 9408–9417. [Google Scholar] [CrossRef]
- Rattanachaikunsopon, P.; Phumkhachorn, P. Contents and antibacterial activity of flavonoids extracted from leaves of Psidium guajava. J. Med. Plants Res. 2010, 4, 393–396. [Google Scholar]







| Electrode | Slope (Ip/ν ½) | Area (cm2) | Total Area (cm2) | ||
|---|---|---|---|---|---|
| Ipa | Ipc | Ipa | Ipc | ||
| GCE | 0.0001 | 1.5 × 10−5 | 0.010 | 9.6 × 10−4 | 0.011 |
| Ch/GCE | 0.0002 | 0.0001 | 0.032 | 0.021 | 0.053 |
| Ch-G/GCE | 0.0003 | 0.0002 | 0.081 | 0.051 | 0.140 |
| Electrode | CV | SWV | %Ipa Increased | %Ipa Increased | ||
|---|---|---|---|---|---|---|
| E(V) | Ipa(µA) | E(V) | Ipa(µA) | CV | SWV | |
| GCE | 0.47 | 6.5 ± 0.2 | 0.47 | 1.00 ± 0.01 | ||
| Ch/GCE | 0.46 | 9.2 ± 0.4 | 0.47 | 0.97 ± 0.03 | ||
| Ch-G/GCE | 0.50 | 25 ± 0.1 | 0.52 | 4.80 ± 0.01 | 75.0 | 79 |
| Electrode Composite | Application | Range Linear (µmol/L) | DoL (µmol/L) | Ref. |
|---|---|---|---|---|
| CNT/IL | Vegetables | 0.1–30.0 | 0.05 | [8] |
| CNT/SF | Mulberry | 0.01–0.09 | 0.02 | [9] |
| MoS2/G | 0.39 | [10] | ||
| CNF/Tb2Se2 | Guava leaves | 0.1–10.0 | 0.60 | [11] |
| NH2-CNT/ZnO | Fruits | 0.2–803 | 0.02 | [12] |
| NiPc/CPE | Human urine, foods | 0.006–250 | 0.002 | [13] |
| Co(NH3)6-G/GCE | Fruits | 0.008–72.0 | 0.008 | [14] |
| PEDT–Au/G/GCE | Human serum | 1.0–150.0 | 0.83 | [15] |
| AgNPs-G/GCE | Grape wine | 0.003–1.0 | 0.003 | [16] |
| Ch-G/GCE | Caffe | 0.9–50.0 | 0.30 | This work |
| Samples | MR (µmol/L) | |
|---|---|---|
| Found | %RSD | |
| Coffee | 18.5- | 0.03 |
| * Aromatic chamomile beverage | 30.5 | 0.01 |
| Natural fruit juice | 11.6 | 0.01 |
Publisher’s Note: MDPI stays neutral with regard to jurisdictional claims in published maps and institutional affiliations. |
© 2022 by the authors. Licensee MDPI, Basel, Switzerland. This article is an open access article distributed under the terms and conditions of the Creative Commons Attribution (CC BY) license (https://creativecommons.org/licenses/by/4.0/).
Share and Cite
Nagles, E.; Bello, M.; Hurtado, J.J. Electrochemical Determination of Morin in Natural Food Using a Chitosan–Graphene Glassy Carbon Modified Electrode. Sensors 2022, 22, 7780. https://doi.org/10.3390/s22207780
Nagles E, Bello M, Hurtado JJ. Electrochemical Determination of Morin in Natural Food Using a Chitosan–Graphene Glassy Carbon Modified Electrode. Sensors. 2022; 22(20):7780. https://doi.org/10.3390/s22207780
Chicago/Turabian StyleNagles, Edgar, Monica Bello, and John J. Hurtado. 2022. "Electrochemical Determination of Morin in Natural Food Using a Chitosan–Graphene Glassy Carbon Modified Electrode" Sensors 22, no. 20: 7780. https://doi.org/10.3390/s22207780
APA StyleNagles, E., Bello, M., & Hurtado, J. J. (2022). Electrochemical Determination of Morin in Natural Food Using a Chitosan–Graphene Glassy Carbon Modified Electrode. Sensors, 22(20), 7780. https://doi.org/10.3390/s22207780

