A Method for Detection of Corn Kernel Mildew Based on Co-Clustering Algorithm with Hyperspectral Image Technology
Abstract
1. Introduction
2. Materials and Methods
2.1. Experimental Materials
2.2. Hyperspectral Acquisition System
2.3. Data Preprocessing
3. Co-Clustering Algorithm
4. Experimental Results and Analysis
4.1. Spectral Preprocessing Results
4.2. Gabor Feature Extraction
4.3. Wavelength Band Selection
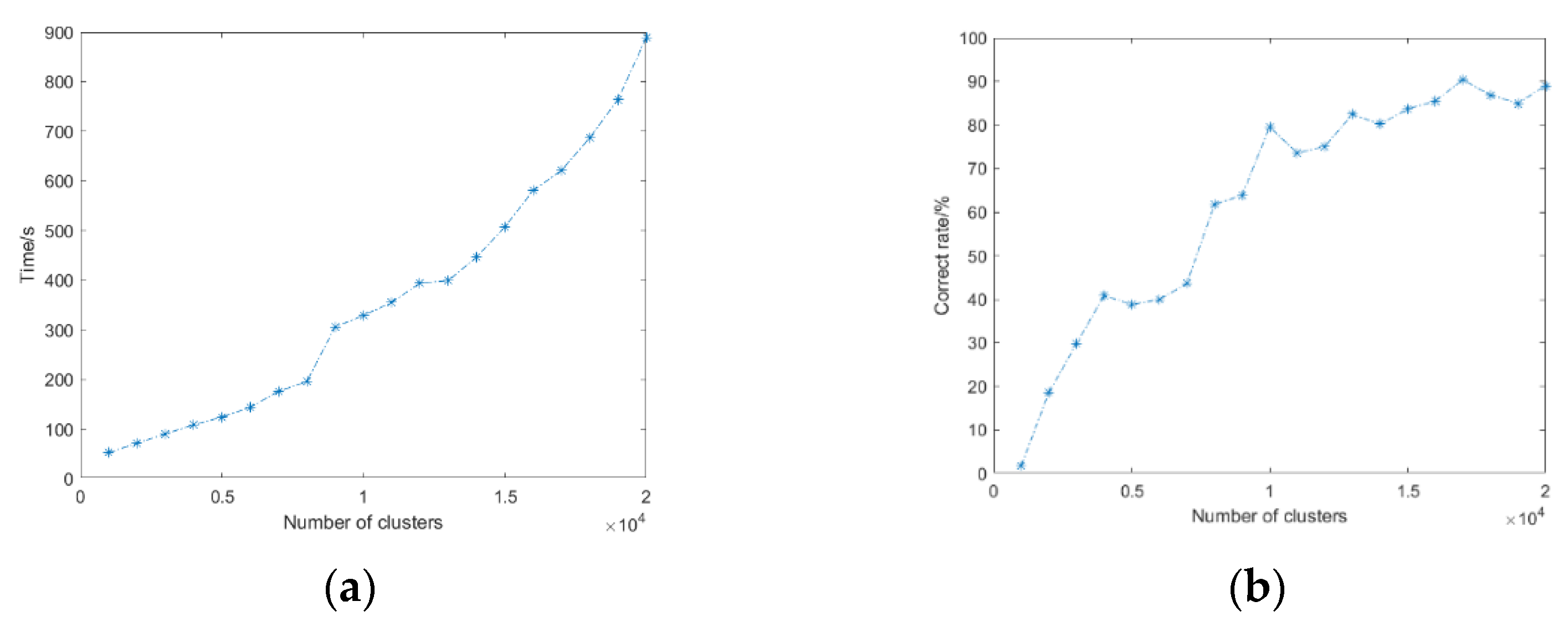
4.4. Model Identification and Evaluation
5. Discussion
6. Conclusions
Author Contributions
Funding
Institutional Review Board Statement
Informed Consent Statement
Data Availability Statement
Conflicts of Interest
References
- Wang, J. Design of automatic mildew image detection system for corn grain. Rev. Fac. Ing. 2016, 31, 204–218. [Google Scholar] [CrossRef][Green Version]
- Milic Evic, D.; Niksic, M.; Baltic, T.; Vranić, D. Isolation, characterization and evaluation of significant mycoflora and mycotoxins in pig feed from Serbian farms. World J. Microbiol. Biotechnol. 2010, 26, 1715–1720. [Google Scholar] [CrossRef]
- Li, T.T.; Chen, W.; Li, G.F.; Lu, Z.Y.; Liu, J.X. Relationship between Aflatoxin B1 production and total number of maize mould under different storageconditions. Food Ferment. Industies 2014, 40, 211–215. [Google Scholar] [CrossRef]
- Qiang, Z.; Cheng-Hai, L.; Jing-Kun, S.; Yi-Juan, C.; Qun, L.; Fu-Guo, J.; Xian-Zhe, Z. Rapid non-destructive detection for molds colony of paddy rice based on near infrared spectroscopy. J. Northeast Agric. Univ. 2014, 21, 54–60. [Google Scholar] [CrossRef]
- Fei, S.; Ying-qi, W.; Bin, Z.; Xiao-long, S.; Wei, S.; Hui-ping, Y. Rapid detection of harmful mold infection in rice by near infrared spectroscopy. Spectros Copy Spectr. Anal. 2018, 38, 3748–3752. [Google Scholar] [CrossRef]
- Bai, X.L.; Zhang, C.; Xiao, Q.L.; He, Y.; Bao, Y.D. Application of near-infrared hyperspectral imaging to identify a variety of silage maize seeds and common maize seeds. Rsc. Adv. 2020, 10, 11707–11715. [Google Scholar] [CrossRef] [PubMed]
- Zhang, N.N.; Liu, W.; Wang, W.; Liu, W.L.; Yuan, N. Research on Detection of Moldy Degree for Corn Kernels Based on Image Processing. J. Chin. Cereals Oils Assoc. 2015, 30, 112–116. [Google Scholar] [CrossRef]
- Yu, H.C.; Peng, P.P.; Yin, Y. Predictive Models for the Detection of Zearalenone and Aflatoxin B1 Contents in Moldy Corn with Electronic Nose. Food Sci. 2016, 37, 203–208. [Google Scholar] [CrossRef]
- Huang, Z.H.; Wang, L.; An, Q.; Zhou, Q.; Hong, H. Learning a Contrast Enhancer for Intensity Correction of Remotely Sensed Images. IEEE Signal Process. Lett. 2022, 29, 394–398. [Google Scholar] [CrossRef]
- Huang, Z.H.; Li, X.; Wang, L.; Fang, H.; Ma, L.; Shi, Y.; Hong, H. Spatially adaptive multi-scale image enhancement based on nonsubsampled contourlet transform. Infrared Phys. Technol. 2022, 121, 104014. [Google Scholar] [CrossRef]
- Huang, Z.H.; Zhu, Z.; An, Q.; Wang, Z.; Zhou, Q.; Zhang, T.; Saleh, A.A. Luminance Learning for Remotely Sensed Image Enhancement Guided by Weighted Least Squares. IEEE Geosci. Remote Sens. Lett. 2021, 19, 1–5. [Google Scholar] [CrossRef]
- Chu, X.; Wang, W.; Zhang, L.D.; Guo, L.H.; Feldner, P.; Heitschmidt, G. Hyperspectral Optimum Wavelengths and Fisher Discrimination Analysis to Distinguish Different Concentrations of Aflatoxin on Corn Kernel Surface. Spectrosc. Spectr. Anal. 2014, 34, 1811–1815. [Google Scholar] [CrossRef]
- Cong, S.L.; Sun, J.; Mao, H.P.; Wu, X.; Wang, P.; Zhang, X. Non-destructive detection for mold colonies in rice based on hyperspectra and GWO-SVR. J. Sci. Food Agric. 2018, 98, 1453–1459. [Google Scholar] [CrossRef]
- Singh, C.B.; Jayas, D.S.; Paliwal, J.; White, N.D.G. Fungal damage detection in wheat using short-wave near-infrared hyperspectral and digital color imaging. Int. J. Food Prop. 2012, 15, 11–24. [Google Scholar] [CrossRef]
- Del Fiore, A.; Reverberi, M.; Ricelli, A.; Pinzari, F.; Serranti, S.; Fabbri, A.A.; Bonifazi, G.; Fanelli, C. Early detection of toxigenic fungi on maize by hyperspectral imaging analysis. Int. J. Food Microbiol. 2010, 144, 64–71. [Google Scholar] [CrossRef] [PubMed]
- Yin, Y.; Dai, S.S.; Yu, H.C. Detection Method of Aflatoxin B1in Moldy Maize Based on Hyperspectral Feature Selection. J. Nucl. Agric. Sci. 2019, 33, 305–312. [Google Scholar] [CrossRef]
- Yang, D.; Yuan, J.H.; Chang, Q.; Zhao, H.Y.; Cao, Y. Early determination of mildew status in storage maize kernels using hyperspectral imaging combined with the stacked sparse auto-encoder algorithm. Infrared Phys. Technol. 2020, 109, 103412. [Google Scholar] [CrossRef]
- Jia, Y.J.; Li, Z.D.; Gao, R.; Zhang, X.; Zhang, H.; Su, Z. Mildew recognition on maize seed by use of hyperspectral technology. Spectrosc. Lett. 2022, 55, 240–249. [Google Scholar] [CrossRef]
- Zeng, S.; Duan, X.; Li, H.; Xiao, Z.; Wang, Z.; Feng, D. Regularized Fuzzy Discriminant Analysis for Hyperspectral Image Classification With Noisy Labels. IEEE Access 2019, 7, 108125–108136. [Google Scholar] [CrossRef]
- Liu, W.H.; Zeng, S.; Wu, G.J.; Li, H.; Chen, F.F. Rice Seed Purity Identification Technology Using Hyperspectral Image with LASSO Logistic Regression Model. Sensors 2021, 21, 4384. [Google Scholar] [CrossRef]
- Gao, R.; Li, Z.D.; Ma, Z.; Kong, Q.M.; Muhammad, R.; Su, Z.B. Research on Crude Protein of Pasture Based on Hyperspectral Imaging. Spectrosc. Spectr. Anal. 2019, 39, 3245–3250. [Google Scholar] [CrossRef]
- Zeng, S.; Wang, X.Y.; Duan, X.J.; Zeng, S.; Xiao, Z.Y.; Feng, D. Kernelized Mahalanobis Distance for Fuzzy Clustering. IEEE Trans. Fuzzy Syst. 2021, 29, 3103–3117. [Google Scholar] [CrossRef]
- Zeng, S.; Wang, X.Y.; Cui, H.; Zheng, C.J.; Feng, D. A Unified Collaborative Multi-kernel Fuzzy Clustering for Multiview Data. IEEE Trans. Fuzzy Syst. 2018, 26, 1671–1687. [Google Scholar] [CrossRef]
- Zhao, Y.; Yuan, Y.; Wang, Q. Fast Spectral Clustering for Unsupervised Hyperspectral Image Classification. Remote Sens. 2019, 11, 339. [Google Scholar] [CrossRef]
- Wang, R.; Nie, F.; Yu, W. Fast Spectral Clustering With Anchor Graph for Large Hyperspectral Images. IEEE Geosci. Remote Sens. Lett. 2017, 14, 2003–2007. [Google Scholar] [CrossRef]
- Kucha, C.T.; Liu, L.; Ngadi, M.; Gariepy, C. Assessment of Intramuscular Fat Quality in Pork Using Hyperspectral Imaging. Food Eng. Rev. 2021, 13, 274–289. [Google Scholar] [CrossRef]
- Uddin, M.P.; Mamun, M.A.; Hossain, M.A. PCA-based Feature Reduction for Hyperspectral Remote Sensing Image Classification. IETE Tech. Rev. 2021, 38, 377–396. [Google Scholar] [CrossRef]














| Method | K-Means | FCM | KFCM | GMM | FCM-SC |
|---|---|---|---|---|---|
| NMI | 0.1231 | 0.1233 | 0.1232 | 0.1340 | 0.5467 |
| RI | 0.5328 | 0.5326 | 0.5325 | 0.5430 | 0.8470 |
| CR (%) | 62.81 | 62.77 | 62.76 | 64.68 | 91.65 |
| Method | K-Means | FCM | KFCM | GMM | FCM-SC |
|---|---|---|---|---|---|
| NMI | 0.1334 | 0.1453 | 0.1635 | 0.1370 | 0.5885 |
| RI | 0.5653 | 0.5763 | 0.5854 | 0.5470 | 0.8943 |
| CR (%) | 64.81 | 67.85 | 68.76 | 64.78 | 93.47 |
Publisher’s Note: MDPI stays neutral with regard to jurisdictional claims in published maps and institutional affiliations. |
© 2022 by the authors. Licensee MDPI, Basel, Switzerland. This article is an open access article distributed under the terms and conditions of the Creative Commons Attribution (CC BY) license (https://creativecommons.org/licenses/by/4.0/).
Share and Cite
Kang, Z.; Huang, T.; Zeng, S.; Li, H.; Dong, L.; Zhang, C. A Method for Detection of Corn Kernel Mildew Based on Co-Clustering Algorithm with Hyperspectral Image Technology. Sensors 2022, 22, 5333. https://doi.org/10.3390/s22145333
Kang Z, Huang T, Zeng S, Li H, Dong L, Zhang C. A Method for Detection of Corn Kernel Mildew Based on Co-Clustering Algorithm with Hyperspectral Image Technology. Sensors. 2022; 22(14):5333. https://doi.org/10.3390/s22145333
Chicago/Turabian StyleKang, Zhen, Tianchen Huang, Shan Zeng, Hao Li, Lei Dong, and Chaofan Zhang. 2022. "A Method for Detection of Corn Kernel Mildew Based on Co-Clustering Algorithm with Hyperspectral Image Technology" Sensors 22, no. 14: 5333. https://doi.org/10.3390/s22145333
APA StyleKang, Z., Huang, T., Zeng, S., Li, H., Dong, L., & Zhang, C. (2022). A Method for Detection of Corn Kernel Mildew Based on Co-Clustering Algorithm with Hyperspectral Image Technology. Sensors, 22(14), 5333. https://doi.org/10.3390/s22145333

