Deep Learning Based Muti-Objective Reactive Power Optimization of Distribution Network with PV and EVs
Abstract
:1. Introduction
- In general, the reactive power optimization only considers the regulation of traditional equipment without the participation of PV systems or EVs, so that the reactive power regulation capacities of these new regulation sources are wasted. In this work, PV and EVs are simultaneously employed to participate in reactive power optimization in a distribution network, which can greatly decline the pressure of traditional reactive power regulation and improve the regulation flexibility and performance.
- To address the multi-objective reactive power optimization, the meta-heuristic based Pareto optimization algorithms easily result in a long computation time to acquire the high-quality Pareto optimal solutions. Besides, they easily lead to different Pareto front in different runs due to their random operators. In contrast, the proposed deep learning-based Pareto optimization algorithm can acquire the high-quality Pareto optimal solutions within a short computation time since it cannot experience multiple iterative operators. Moreover, it is a deterministic algorithm to guarantee a high optimization stability.
2. Reactive Power Optimization of PV and EVs Connected to Distribution Network
2.1. Reactive Power Regulation Model of PV
2.2. Reactive Power Regulation Model of EVs
2.3. Objective Function
2.4. Constraint Condition
2.4.1. Power Flow Equality Constraints
2.4.2. Generator Constraints
2.4.3. Reactive Power Compensation Device and Transformer Tap Constraints
2.4.4. Security Constraints
3. Optimized Variable Prediction and the Process of Reactive Power Regulation Model
3.1. Overview of PREA, SPEA2, NSGA-II, NSGA-III and TOP
3.2. Application of DL in Reactive Power Optimization of Distribution Network
4. Example Analysis
4.1. Simulation Model
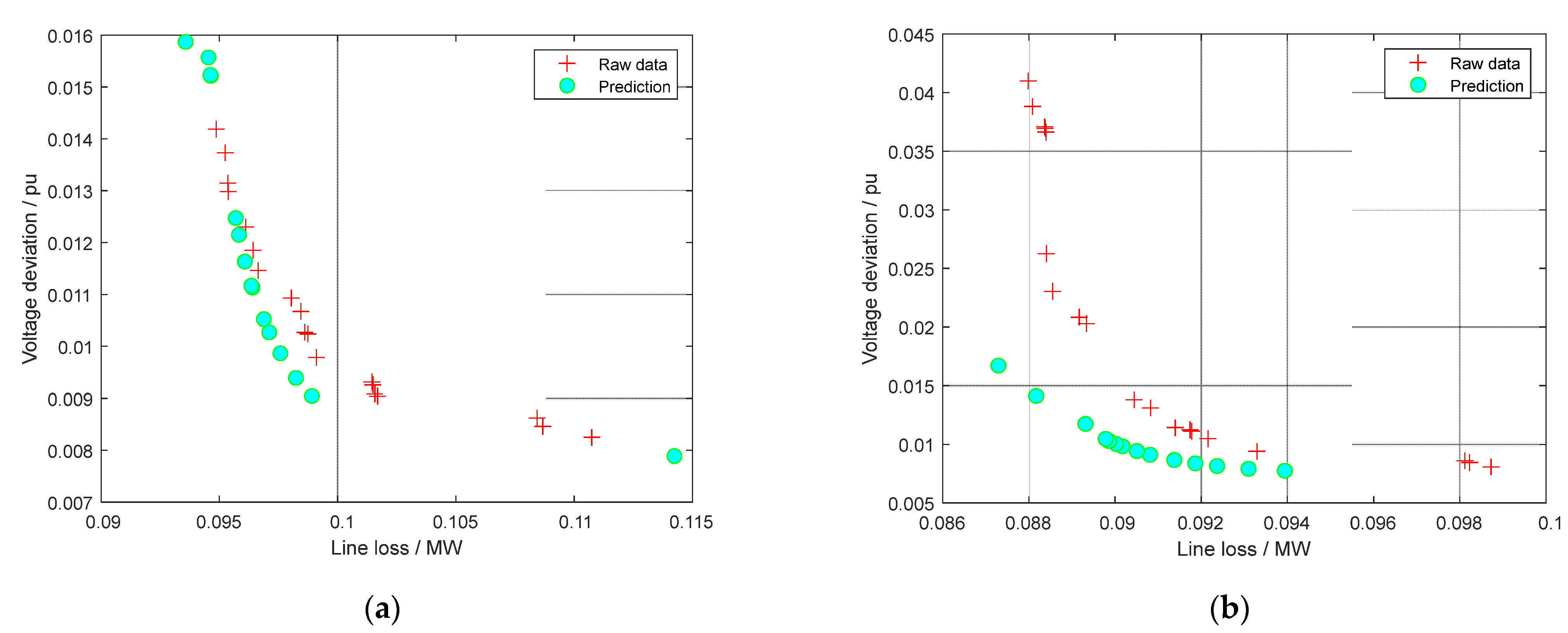
4.2. Analysis of Experiment Results
5. Conclusions
Author Contributions
Funding
Institutional Review Board Statement
Informed Consent Statement
Data Availability Statement
Conflicts of Interest
Nomenclature
| Variable | |
| active power of PV system | |
| input or output active power of EVs | |
| T | real-time temperature |
| solar irradiation at the current time | |
| upper limits of adjustable reactive power range of PV system | |
| lower limits of adjustable reactive power range of PV system | |
| upper limits of adjustable reactive power range of EVs | |
| lower limits of adjustable reactive power range of EVs | |
| phase difference between and | |
| angular frequency of the sine wave in the AC system | |
| line loss | |
| voltage deviation | |
| voltage amplitude of the ith node | |
| voltage amplitude of the jth node | |
| phase angle difference between the ith and jth nodes | |
| active power of the ath generation node | |
| reactive power of the ath generation node | |
| active power demand of the ith node | |
| reactive power demand of the ith node | |
| lower limits of reactive power regulation of the ath generator | |
| upper limits of reactive power regulation of the ath generator | |
| reactive power currently input into the grid by the ath generator | |
| lower limits of output voltage of the ath generator | |
| upper limits of output voltage of the ath generator | |
| current output voltage of the ath generator | |
| lower limit of the capacity of the bth reactive power compensation device | |
| upper limit of the capacity of the bth reactive power compensation device | |
| lower limit of the regulation range of the hth transformer tap | |
| upper limit of the regulation range of the hth transformer tap | |
| lower voltage limits of the ith node | |
| upper voltage limits of the ith node | |
| apparent power of the lth line | |
| approximate Pareto optimal solutions for the new task | |
| reactive power regulation command of a new task | |
| objective function value | |
| value of fitness function | |
| Parameters | |
| total rated power of PV system | |
| temperature conversion coefficient | |
| reference temperature | |
| grid voltage | |
| charging piles voltage | |
| capacity of the inverter | |
| capacity of charging piles inverter | |
| simplified inductance | |
| admittance between the ith and jth nodes | |
| total node set | |
| all branch set | |
| node set except the balance node | |
| PQ node set | |
| rated voltage of the jth node | |
| generator set | |
| set of reactive power compensation devices | |
| set of transformer taps | |
| susceptance between the ith and jth nodes | |
| transmission power limit of the lth line | |
| trained DDNN network | |
| W | weight set |
| B | bias set |
| D | set of objective functions |
| penalty coefficient | |
| Indices | |
| i | index of node |
| j | index of node |
| a | index of generator |
| b | index of reactive power compensation device |
| h | index of transformer tap |
| l | index of bus |
| d | index of the objective functions value |
| q | index of the objective |
| Abbreviations | |
| RES | renewable energy sources |
| PV | photovoltaic |
| DG | distributed generations |
| DER | distributed energy resources |
| V2G | vehicle-to-grid |
| MOP | multi-objective problem |
| MOEA | multi-objective evolution algorithm |
| PF | Pareto front |
| SQP | sequential quadratic programming |
| DL | deep learning |
| DC | direct current |
| AC | alternative current |
| PSO | particle swarm optimization |
| NSGA-II | non-dominated sorting genetic algorithms II |
| NSGA-III | non-dominated sorting genetic algorithms III |
| PREA | promising-region-based evolutionary many-objective algorithm |
| SPEA2 | strength Pareto evolutionary algorithm 2 |
| ToP | two-phase framework |
| DDNN | deep deconvolutional neural network |
| DNN | deep neural network |
References
- Ramawat, D.; Prajapat, G.P.; Swamkar, N.K. Reactive power loadability based optimal placement of wind and solar DG in distribution network. In Proceedings of the 2016 IEEE 7th Power India International Conference (PIICON), Bikaner, India, 25–27 November 2016; pp. 1–5. [Google Scholar]
- Gandhi, O.; Zhang, W.-J.; Rodriguez-Gallgos, C.D.; Srinivasan, D.; Reindl, T. Continuous optimization of reactive power from PV and EV in distribution system. In Proceedings of the 2016 IEEE Innovative Smart Grid Technologies-Asia (ISGT-Asia), Melbourne, Australia, 28 November–1 December 2016; pp. 281–287. [Google Scholar]
- Meng, K.; Wang, D.-X.; Dong, Z.-Y.; Gao, X.-D.; Zheng, Y.; Wong, K.P. Distributed control of thermostatically controlled loads in distribution network with high penetration of solar PV. CSEE J. Power Energy 2017, 3, 53–62. [Google Scholar] [CrossRef]
- Quezada, V.H.M.; Abbad, J.R.; Roman, T.G.S. Assessment of energy distribution losses for increasing penetration of distributed generation. IEEE Trans. Power Syst. 2007, 21, 533–540. [Google Scholar]
- Tomic, J.; Kempton, W. Using fleets of electric-drive vehicles for grid support. J. Power Sources 2006, 168, 459–468. [Google Scholar] [CrossRef]
- Lassila, J.; Haakana, J.; Tikka, V.; Partanen, J. Methodology to analyze the economic effects of electric cars as energy storages. IEEE Trans. Smart Grid 2012, 3, 506–516. [Google Scholar] [CrossRef]
- Alam, M.J.E.; Muttaqi, K.M.; Sutanto, D. Effective utilization of available PEV battery capacity for mitigation of solar PV impact and grid support with integrated V2G functionality. IEEE Trans. Smart Grid 2016, 7, 1562–1571. [Google Scholar] [CrossRef] [Green Version]
- Mahmud, N.; Zahedi, A. Review of control strategies for voltage regulation of the smart distribution network with high penetration of renewable distributed generation. Renew. Sustain. Energy Rev. 2016, 64, 582–595. [Google Scholar] [CrossRef]
- Viola, F.; Longo, M. On the strategies for the diffusion of EVs: Comparison between Norway and Italy. Int. J. Renew Energy Res. 2017, 7, 1376–1382. [Google Scholar]
- Longo, M.; Yaici, W.; Foiadelli, F. Electric vehicles charged with residential’s roof solar photovoltaic system: A case study in Ottawa. In Proceedings of the 6th International Conference on Renewable Energy Research and Applications (ICRERA), San Diego, CA, USA, 5–8 November 2017; pp. 121–125. [Google Scholar]
- Hui, Q.; Teng, Y.; Zuo, H.; Chen, Z. Reactive power multi-objective optimization for multi-terminal AC/DC interconnected power systems under wind power fluctuation. CSEE J. Power Energy 2020, 6, 630–637. [Google Scholar]
- Zhou, Y.; Li, Z.-S.; Wang, G.-R. Study on leveraging wind farms’ robust reactive power range for uncertain power system reactive power optimization. Appl. Energ. 2021, 298, 117130. [Google Scholar] [CrossRef]
- Zhang, C.; Liu, Q.; Huang, S.; Zhou, B.; Cheng, L.; Gao, L.; Li, J. Reactive power optimization under interval uncertainty of renewable power generation based on a security limits method. Int. J. Elec. Power 2021, 130, 106894. [Google Scholar] [CrossRef]
- Lin, R.-H.; Ye, Z.-Z.; Wu, B.-D. The application of hydrogen and photovoltaic for reactive power optimization. Int. J. Hydrogen Energ. 2020, 45, 10280–10291. [Google Scholar] [CrossRef]
- Chowdhury, N.; Hossain, C.A.; Longo, M.; Yaici, W. Feasibility and cost analysis of photovoltaic-biomass hybrid energy system in off-grid areas of Bangladesh. Sustainability 2020, 12, 1568. [Google Scholar] [CrossRef] [Green Version]
- Ai, Y.-L.; Du, M.-Z.; Pan, Z.-H.; Li, G.-X. The optimization of reactive power for distribution network with PV generation based on NSGA-III. CPSS Trans. Power Electron. Appl. 2021, 6, 193–200. [Google Scholar] [CrossRef]
- Babanezhad, M.; Nowdeh, S.A.; Abdelaziz, A.Y.; AboRas, K.M.; Kotb, H. Reactive power based capacitors allocation in distribution network using mathematical remora optimization algorithm considering operation cost and loading conditions. Alex. Eng. J. 2022, 61, 10511–10526. [Google Scholar] [CrossRef]
- Ding, T.; Yang, Q.-R.; Yang, Y.-H. A Data-Driven Stochastic Reactive Power Optimization Considering Uncertainties in Active Distribution Networks and Decomposition Method. IEEE Trans. Smart Grid 2018, 9, 4994–5004. [Google Scholar] [CrossRef] [Green Version]
- Li, W.-X.; Liang, Z.-T.; Ma, C.-H.; Yang, D.; Chen, B.; Zhao, K.; Zhou, N.; Li, S. Reactive power optimization in distribution network considering reactive power regulation capability and fuzzy characteristics of distributed generators. In Proceedings of the 2019 4th International Conference on Power and Renewable Energy (ICPRE), Chengdu, China, 21–23 September 2019; pp. 387–393. [Google Scholar]
- Su, X.-J.; Masoum, M.A.S.; Wolfs, P.J. Optimal PV inverter reactive power control and real power curtailment to improve performance of unbalanced four-wire LV distribution networks. IEEE Trans. Sustain. Energ. 2014, 5, 967–977. [Google Scholar] [CrossRef]
- Zhang, C.-T.; Zhang, H.-X.; Qiao, J.-P.; Yuan, D.-F.; Zhang, M.-G. Deep transfer learning for intelligent cellular traffic prediction based on cross-domain big data. IEEE J. Sel. Area Commun. 2019, 37, 1389–1401. [Google Scholar] [CrossRef]
- Deng, Y.; Jia, H.; Li, P.; Tong, X.; Qiu, X.; Li, F. A Deep Learning Methodology Based on Bidirectional Gated Recurrent Unit for Wind Power Prediction. In Proceedings of the 2019 14th IEEE Conference on Industrial Electronics and Applications (ICIEA), Xi’an, China, 19–21 June 2019; pp. 591–595. [Google Scholar]
- Chen, J.-F.; Zhu, Q.-M.; Li, H.-Y.; Zhu, L.; Shi, D.-Y.; Li, Y.-H.; Duan, X.-Z.; Liu, Y.-L. Learning heterogeneous features jointly: A deep end-to-end framework for multi-step short-term wind power prediction. IEEE Trans. Sustain. Energ. 2020, 11, 1761–1772. [Google Scholar] [CrossRef]
- Jordehi, A.R. Allocation of distributed generation units in electric power systems: A review. Renew Sust. Energ. Rev. 2016, 56, 893–905. [Google Scholar] [CrossRef]
- Reddy, P.D.P.; Reddy, V.C.V.; Manohar, T.G. Application of flower pollination algorithm for optimal placement and sizing of distributed generation in distribution systems. J. Electr. Syst. Inf. Technol. 2016, 3, 14–22. [Google Scholar] [CrossRef] [Green Version]
- Bawazir, R.O.; Cetin, N.S. Comprehensive overview of optimizing PV-DG allocation in power system and solar energy resource potential assessments. Energy Rep. 2020, 6, 173–208. [Google Scholar] [CrossRef]
- Brini, S.; Abdallah, H.H.; Ouali, A. Economic Dispatch for Power System Included Wind and Solar Thermal Energy. Leonardo J. Sci. 2009, 8, 204–220. [Google Scholar]
- Aguero, J.R.; Chongfuangprinya, P.; Shao, S.; Xu, L.; Jahanbakhsh, F.; Willis, H.L. Integration of plug-in electric vehicles and distributed energy resources on power distribution systems. In Proceedings of the 2012 IEEE International Electric Vehicle Conference, Greenbille, SC, USA, 4–8 March 2012; pp. 1–7. [Google Scholar]
- Ma, Y.-J.; Liu, C.; Zhou, X.-S.; Gao, Z.-Q. Reactive Power Compensation Method for Distribution Network from Electric Vehicles. In Proceedings of the 2018 37th Chinese Control Conference (CCC), Wuhan, China, 25–27 July 2018; pp. 8826–8830. [Google Scholar]
- Huang, S.-J.; Wu, Q.-W.; Cheng, L.; Liu, Z.-X. Optimal reconfiguration-based dynamic tariff for congestion management and line loss reduction in distribution networks. IEEE Trans. Smart Grid 2016, 7, 1295–1303. [Google Scholar] [CrossRef] [Green Version]
- Mahdavi, S.; Panamtash, H.; Dimitrovski, A.; Zhou, Q. Predictive coordinated and cooperative voltage control for systems with high penetration of PV. IEEE Trans. Ind. Appl. 2021, 57, 2212–2222. [Google Scholar] [CrossRef]
- Marouani, I.; Guesmi, T.; Abdallah, H.H.; Ouali, A. Application of a multiobjective evolutionary algorithm for optimal location and parameters of FACTS devices considering the real power loss in transmission lines and voltage deviation buses. In Proceedings of the 2009 6th International Multi-Conference on Systems, Djerba, Tunisia, 23–26 March 2009; pp. 1–6. [Google Scholar]
- Iba, K. Reactive power optimization by genetic algorithm. IEEE Trans. Power Syst. 1994, 9, 685–692. [Google Scholar] [CrossRef]
- Zhang, X.-S.; Yu, T.; Yang, B.; Cheng, L.-F. Accelerating bio-inspired optimizer with transfer reinforcement learning for reactive power optimization. Knowl.-Based Syst. 2017, 116, 26–38. [Google Scholar] [CrossRef]
- Yuan, J.-W.; Liu, H.-L.; Gu, F.-Q.; Zhang, Q.-F.; He, Z.-S. Investigating the properties of indicators and an evolutionary many-objective algorithm using promising regions. IEEE Trans. Evolut. Comput. 2021, 25, 75–86. [Google Scholar] [CrossRef]
- Zitzler, E.; Laumanns, M.; Thiele, L. SPEA2: Improving the strength pareto evolutionary algorithm. In Proceedings of the Evolutionary Methods for Design, Optimization and Control with Applications to Industrial Problems, Athens, Greece, 19–21 September 2001. [Google Scholar]
- Deb, K.; Pratap, A.; Agarwal, S.; Meyarivan, T. A Fast and Elitist Multiobjective Genetic Algorithm: NSGA-II. IEEE Trans. Evol. Comput. 2002, 6, 182–197. [Google Scholar] [CrossRef] [Green Version]
- Deb, K.; Jain, H. An evolutionary many-objective optimization algorithm using reference-point based non-dominated sorting approach, part I: Solving problems with box constraints. IEEE Trans. Evolut. Comput. 2013, 18, 577–601. [Google Scholar] [CrossRef]
- Liu, Z.-Z.; Wang, Y. Handling constrained multiobjective optimization problems with constraints in both the decision and objective spaces. IEEE Trans. Evolut. Comput. 2019, 23, 870–884. [Google Scholar] [CrossRef]
- Jeon, S.; Choi, D.H. Optimal Energy Management Framework for Truck-Mounted Mobile Charging Stations Considering Power Distribution System Operating Conditions. Sensors 2021, 21, 2798. [Google Scholar] [CrossRef] [PubMed]






| Number | Active Power (kW) | Reactive Power Range | ||
|---|---|---|---|---|
| PV | 1 | 600 | 12 | [−17.23, 17.23] |
| 2 | 700 | 14 | [−15.65, 15.65] | |
| EV | 1 | −56.76 | [−82.33, 82.33] | |
| 2 | −49.16 | [−87.08, 87.08] | ||
| Number | Active Power (kW) | Reactive Power Range | ||
|---|---|---|---|---|
| PV | 1 | 600 | 12 | [−17.23, 17.23] |
| 2 | 700 | 14 | [−15.65, 15.65] | |
| 3 | 800 | 16 | [−13.60, 13.60] | |
| 4 | 900 | 18 | [−10.82, 10.82] | |
| 5 | 1000 | 20 | [−6.40, 6.40] | |
| EV | 1 | −48.38 | [−87.52, 87.52] | |
| 2 | −53.31 | [−84.61, 84.61] | ||
| 3 | −52.14 | [−85.33, 85.33] | ||
| 4 | 64.99 | [−76.00, 76.00] | ||
| 5 | −44.67 | [−89.47, 89.47] | ||
| Objective | Algorithm | Minimum | Maximum | Average |
|---|---|---|---|---|
| Line loss/MW | PREA | 0.0223 | 0.0235 | 0.0226 |
| SPEA2 | 0.0223 | 0.0235 | 0.0231 | |
| NSGA-II | 0.0223 | 0.0240 | 0.0227 | |
| NSGA-III | 0.0223 | 0.0231 | 0.0226 | |
| ToP | 0.0223 | 0.0242 | 0.0228 | |
| DL | 0.0236 | 0.0251 | 0.0240 | |
| Voltage deviation/pu | PREA | 0.0248 | 0.0438 | 0.0316 |
| SPEA2 | 0.0244 | 0.0438 | 0.0268 | |
| NSGA-II | 0.0244 | 0.0471 | 0.0327 | |
| NSGA-III | 0.0250 | 0.0359 | 0.0292 | |
| ToP | 0.0245 | 0.0425 | 0.0298 | |
| DL | 0.0245 | 0.0421 | 0.0308 |
| Objective | Algorithm | Minimum | Maximum | Average |
|---|---|---|---|---|
| Line loss/MW | PREA | 0.0810 | 0.1091 | 0.0938 |
| SPEA2 | 0.0809 | 0.1081 | 0.0916 | |
| NSGA-II | 0.0813 | 0.1089 | 0.0877 | |
| NSGA-III | 0.0819 | 0.1086 | 0.0904 | |
| ToP | 0.0809 | 0.1079 | 0.0920 | |
| DL | 0.0873 | 0.0939 | 0.0906 | |
| Voltage deviation/pu | PREA | 0.0065 | 0.0164 | 0.0102 |
| SPEA2 | 0.0066 | 0.0167 | 0.0111 | |
| NSGA-II | 0.0066 | 0.0171 | 0.0119 | |
| NSGA-III | 0.0067 | 0.0140 | 0.0105 | |
| ToP | 0.0067 | 0.0171 | 0.0107 | |
| DL | 0.0077 | 0.0167 | 0.0102 |
| Algorithm | Average Time/Seconds |
|---|---|
| PREA | 7.77 |
| SPEA2 | 8.67 |
| NSGA-II | 9.55 |
| NSGA-III | 9.03 |
| ToP | 9.70 |
| DL | 0.12 |
Publisher’s Note: MDPI stays neutral with regard to jurisdictional claims in published maps and institutional affiliations. |
© 2022 by the authors. Licensee MDPI, Basel, Switzerland. This article is an open access article distributed under the terms and conditions of the Creative Commons Attribution (CC BY) license (https://creativecommons.org/licenses/by/4.0/).
Share and Cite
Wu, R.; Liu, S. Deep Learning Based Muti-Objective Reactive Power Optimization of Distribution Network with PV and EVs. Sensors 2022, 22, 4321. https://doi.org/10.3390/s22124321
Wu R, Liu S. Deep Learning Based Muti-Objective Reactive Power Optimization of Distribution Network with PV and EVs. Sensors. 2022; 22(12):4321. https://doi.org/10.3390/s22124321
Chicago/Turabian StyleWu, Renbo, and Shuqin Liu. 2022. "Deep Learning Based Muti-Objective Reactive Power Optimization of Distribution Network with PV and EVs" Sensors 22, no. 12: 4321. https://doi.org/10.3390/s22124321
APA StyleWu, R., & Liu, S. (2022). Deep Learning Based Muti-Objective Reactive Power Optimization of Distribution Network with PV and EVs. Sensors, 22(12), 4321. https://doi.org/10.3390/s22124321
