Detection of Low Density Lipoprotein—Comparison of Electrochemical Immuno- and Aptasensor
Abstract
:1. Introduction
2. Materials and Methods
2.1. Materials
2.2. Instruments
2.3. Cleaning of Gold Electrode Surface
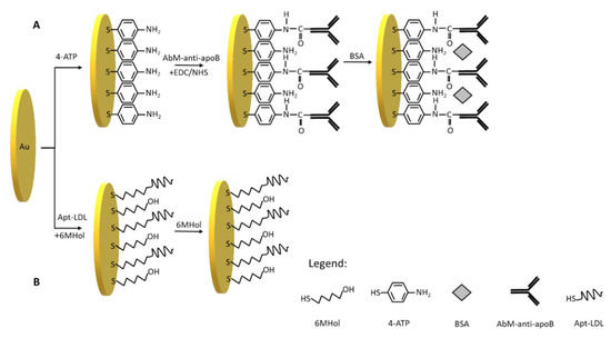
2.4. Preparation of Platform for
- (a)
- immunosensor; initially, clean gold electrodes were immersed in an ethanolic solution of 1 mM 4-ATP overnight. Then, the electrodes were rinsed with ethanol and Milli-Q water to remove unbounded molecules. Afterwards, aqueous solution containing 0.05 mg/mL antibody (AbM-anti-apoB) and mixture of EDC/NHS (20 mM each) was incubated for 15 min at RT for activation of –COOH group present in AbM-anti-apoB. Next, 10 µL drop of an activated AbM-anti-apoB was deposited on the gold electrode for 2 h in RT. The unbounded AbM-anti-apoB molecules were rinsed with PBS. Then, the droplet of 1 mg/mL BSA solution in PBS was placed on the surface of gold electrode for 1 h followed by washing with PBS. The modified electrodes were kept overnight in PBS in 4 °C.
- (b)
- aptasensor; To produce the aptasensor, first oligonucleotide aptamer (LDL-Apt) molecules were annealed by placing the sample in 90 °C for 10 min, followed by cooling down on ice for 15 min and in RT for 5 min. The 10 µL mixture of LDL-Apt (1.0 µM) and 6-MHol (10.0 µM) was dropped onto gold electrode surface and kept for 3 h in RT. Subsequently, electrodes were washed with PBS to remove any loosely bound aptamer molecules. Then, a drop of 1.0 mM 6-MHol solution in PBS was placed on electrode for another 30 min and again washed with PBS. Thus, the prepared electrodes were kept in PBS in refrigerator overnight.
2.5. Electrochemical Measurements of LDL
3. Results and Discussion
3.1. Optimization of Immunosensor Preparation
3.2. Optimization of Aptasensor Preparation
3.3. Electrochemical Characterization of Immuno- and Aptasensor
3.4. Quantitative Electrochemical Detection of LDL by Immuno- and Aptasensor
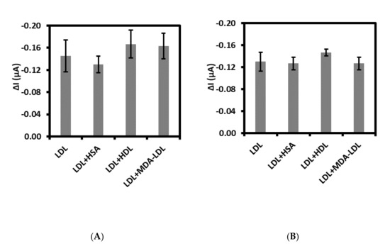
3.5. Specificity and Repeatability of Immuno- and Aptasensor
4. Conclusions
Supplementary Materials
Author Contributions
Funding
Institutional Review Board Statement
Informed Consent Statement
Data Availability Statement
Conflicts of Interest
References
- Hevonoja, T.; Pentikainen, M.O.; Hyvonen, M.T.; Kovanen, P.T.; Ala-Korpela, M. Structure of low density lipoprotein (LDL) particles: Basis for understanding molecular changes in modified LDL. Mol. Cell Biol. Lipids 2000, 1488, 189–210. [Google Scholar] [CrossRef]
- Ference, B.A.; Ginsberg, H.N.; Graham, I.; Ray, K.K.; Packard, C.J.; Bruckert, E.; Hegele, R.A.; Krauss, R.M.; Raal, F.J.; Schunkert, H.; et al. Low-density lipoproteins cause atherosclerotic cardiovascular disease. 1. Evidence from genetic, epidemiologic, and clinical studies. A consensus statement from the European Atherosclerosis Society Consensus Panel. Eur. Heart J. 2017, 38, 2459–2472. [Google Scholar] [CrossRef] [Green Version]
- Mortensen, M.B.; Nordestgaard, B.G. Elevated LDL cholesterol and increased risk of myocardial infarction and atherosclerotic cardiovascular disease in individuals aged 70–100 years: A contemporary primary prevention cohort. Lancet 2020, 396, 1644–1652. [Google Scholar] [CrossRef]
- Morales-Villegas, E.C.; Ray, K.K. Physiological Level of LDL Cholesterol: The Master Key A Nobel Dream Comes True. J. Cardiovasc. Pharm. 2016, 6. [Google Scholar] [CrossRef]
- Upadhyay, R.K. Emerging Risk Biomarkers in Cardiovascular Diseases and Disorders. J. Lipids 2015, 2015. [Google Scholar] [CrossRef] [PubMed]
- Nakamura, M.; Kayamori, Y.; Iso, H.; Kitamura, A.; Kiyama, M.; Koyama, I.; Nishimura, K.; Nakai, M.; Noda, H.; Dasti, M.; et al. LDL cholesterol performance of beta quantification reference measurement procedure. Clin. Chim. Acta 2014, 431, 288–293. [Google Scholar] [CrossRef] [Green Version]
- Kapoor, R.; Chakraborty, M.; Singh, N. A Leap above Friedewald Formula for Calculation of Low-Density Lipoprotein-Cholesterol. J. Lab. Physicians 2015, 7, 11–16. [Google Scholar] [CrossRef]
- Jabbar, J.; Siddiqui, I.; Raza, Q. Comparison of two methods (precipitation manual and fully automated enzymatic) for the analysis of HDL and LDL cholesterol. J. Pak. Med. Assoc. 2006, 56, 59–61. [Google Scholar]
- Chen, S.Z.; Xu, L.; Sheng, K.; Zhou, Q.Q.; Dong, B.; Bai, X.; Lu, G.Y.; Song, H.W. A label-free electrochemical immunosensor based on facet-controlled Au nanorods/reduced graphene oxide composites for prostate specific antigen detection. Sens. Actuators B-Chem. 2021, 336, 129748. [Google Scholar] [CrossRef]
- Mustafa, R.R.; Sukor, R.; Eissa, S.; Shahrom, A.N.; Saari, N.; Mohd Nor, S.M. Sensitive detection of mitragynine from Mitragyna speciosa Korth using an electrochemical immunosensor based on multiwalled carbon nanotubes/chitosan-modified carbon electrode. Sens. Actuators B Chem. 2021, 345, 130356. [Google Scholar] [CrossRef]
- Zhang, Z.; Ru, S.; Wang, J.; Wang, D.; Zhao, L.; Teng, H.; Dai, Z.; Zhang, W.; Yang, A. Ultrasensitive label-free electrochemical immunosensors for detecting marine medaka (Oryzias melastigma) vitellogenin based on novel Cu2O–BSA nanoparticles and anti-lipovitellin monoclonal antibody. Sens. Actuators B Chem. 2021, 345, 130358. [Google Scholar] [CrossRef]
- Kaur, G.; Tomar, M.; Gupta, V. Realization of a label-free electrochemical immunosensor for detection of low density lipoprotein using NiO thin film. Biosens. Bioelectron. 2016, 80, 294–299. [Google Scholar] [CrossRef] [PubMed]
- Matharu, Z.; Sumana, G.; Gupta, V.; Malhotra, B.D. Langmuir-Blodgett films of polyaniline for low density lipoprotein detection. Thin Solid Film. 2010, 519, 1110–1114. [Google Scholar] [CrossRef]
- Ali, M.A.; Reza, K.K.; Srivastava, S.; Agrawal, V.V.; John, R.; Malhotra, B.D. Lipid Lipid Interactions in Aminated Reduced Graphene Oxide Interface for Biosensing Application. Langmuir 2014, 30, 4192–4201. [Google Scholar] [CrossRef] [PubMed]
- Ali, M.A.; Srivastava, S.; Agrawal, V.V.; Willander, M.; John, R.; Malhotra, B.D. A biofunctionalized quantum dot-nickel oxide nanorod based smart platform for lipid detection. J. Mater. Chem. B 2016, 4, 2706–2714. [Google Scholar] [CrossRef]
- Ali, M.A.; Singh, N.; Srivastava, S.; Agrawal, V.V.; John, R.; Onoda, M.; Malhotra, B.D. Chitosan-Modified Carbon Nanotubes-Based Platform for Low-Density Lipoprotein Detection. Appl. Biochem. Biotechnol. 2014, 174, 926–935. [Google Scholar] [CrossRef]
- Wang, J.; Wang, Q.; Zhong, Y.; Wu, D.; Gan, N. A sandwich-type aptasensor for point-of-care measurements of low-density lipoprotein in plasma based on aptamer-modified MOF and magnetic silica composite probes. Microchem. J. 2020, 158, 105288. [Google Scholar] [CrossRef]
- Yin, S.; Li, Y.X.; Hossain, M.N.; Sun, C.J.; Kraatz, H.B. Electrochemical detection of 25-hydroxyvitamin D3 using an oligonucleotide aptasensor. Sens. Actuators B-Chem. 2021, 340, 129945. [Google Scholar] [CrossRef]
- Li, Y.Y.; Liu, D.; Zhu, C.X.; Wang, M.; Liu, Y.; You, T.Y. A ratiometry-induced successive reusable electrochemical aptasensing platform: Efficient monitoring of aflatoxin B1 in peanut. Sens. Actuators B-Chem. 2021, 336, 129021. [Google Scholar] [CrossRef]
- Yoo, H.; Jo, H.; Oh, S.S. Detection and beyond: Challenges and advances in aptamer-based biosensors. Mater. Adv. 2020, 1, 2663–2687. [Google Scholar] [CrossRef]
- Klapak, D.; Broadfoot, S.; Penner, G.; Singh, A.; Inapuri, E. Development of novel aptamers for low-density lipoprotein particle quantification. PloS ONE 2018, 13, e0205460. [Google Scholar] [CrossRef] [PubMed]
- Srivastava, M.; Nirala, N.R.; Srivastava, S.K.; Prakash, R. A comparative Study of Aptasensor Vs Immunosensor for Label-Free PSA Cancer Detection on GQDs-AuNRs Modified Screen-Printed Electrodes. Sci. Rep. 2018, 8, 1923. [Google Scholar] [CrossRef]
- Shen, M.; Rusling, J.F.; Dixit, C.K. Site-selective orientated immobilization of antibodies and conjugates for immunodiagnostics development. Methods 2017, 116, 95–111. [Google Scholar] [CrossRef] [PubMed] [Green Version]
- Hashemi, P.; Afkhami, A.; Baradaran, B.; Halabian, R.; Madrakian, T.; Arduini, F.; Nguyen, T.A.; Bagheri, H. Well-Orientation Strategy for Direct Immobilization of Antibodies: Development of the Immunosensor Using the Boronic Acid-Modified Magnetic Graphene Nanoribbons for Ultrasensitive Detection of Lymphoma Cancer Cells. Anal. Chem. 2020, 92, 11405–11412. [Google Scholar] [CrossRef]
- Gao, S.; Guisán, J.M.; Rocha-Martin, J. Oriented immobilization of antibodies onto sensing platforms—A critical review. Anal. Chim. Acta 2021, 338907. (in press). [Google Scholar] [CrossRef]
- Matysiak-Brynda, E.; Wagner, B.; Bystrzejewski, M.; Grudzinski, I.P.; Nowicka, A.M. The importance of antibody orientation in the electrochemical detection of ferritin. Biosens. Bioelectron. 2018, 109, 83–89. [Google Scholar] [CrossRef]
- Chauhan, R.; Solanki, P.R.; Singh, J.; Mukherjee, I.; Basu, T.; Malhotra, B.D. A novel electrochemical piezoelectric label free immunosensor for aflatoxin B1 detection in groundnut. Food Control. 2015, 52, 60–70. [Google Scholar] [CrossRef]
- Sonuç, M.N.; Sezgintürk, M.K. Ultrasensitive electrochemical detection of cancer associated biomarker HER3 based on anti-HER3 biosensor. Talanta 2014, 120, 355–361. [Google Scholar] [CrossRef] [PubMed]
- Cebula, Z.; Zoledowska, S.; Dziąbowska, K.; Skwarecka, M.; Malinowska, N.; Białobrzeska, W.; Czaczyk, E.; Siuzdak, K.; Sawczak, M.; Bogdanowicz, R.; et al. Detection of the Plant Pathogen Pseudomonas Syringae pv. Lachrymans on Antibody-Modified Gold Electrodes by Electrochemical Impedance Spectroscopy. Sensors 2019, 19, 5411. [Google Scholar] [CrossRef] [Green Version]
- Malecka, K.; Grabowska, I.; Radecki, J.; Stachyra, A.; Góra-Sochacka, A.; Sirko, A.; Radecka, H. Voltammetric Detection of a Specific DNA Sequence of Avian Influenza Virus H5N1 Using HS-ssDNA Probe Deposited onto Gold Electrode. Electroanalysis 2012, 24, 439–446. [Google Scholar] [CrossRef]
- Xue, F.; Wu, J.; Chu, H.; Mei, Z.; Ye, Y.; Liu, J.; Zhang, R.; Peng, C.; Zheng, L.; Chen, W. Electrochemical aptasensor for the determination of bisphenol A in drinking water. Microchim. Acta 2013, 180, 109–115. [Google Scholar] [CrossRef]
- Jolly, P.; Formisano, N.; Tkáč, J.; Kasák, P.; Frost, C.G.; Estrela, P. Label-free impedimetric aptasensor with antifouling surface chemistry: A prostate specific antigen case study. Sens. Actuators B Chem. 2015, 209, 306–312. [Google Scholar] [CrossRef] [Green Version]
- Oberhaus, F.V.; Frense, D.; Beckmann, D. Immobilization Techniques for Aptamers on Gold Electrodes for the Electrochemical Detection of Proteins: A Review. Biosens (Basel) 2020, 10, 45. [Google Scholar] [CrossRef] [PubMed]
- Stobiecka, M.; Chalupa, A.; Dworakowska, B. Piezometric biosensors for anti-apoptotic protein survivin based on buried positive-potential barrier and immobilized monoclonal antibodies. Biosens. Bioelectron. 2016, 84, 37–43. [Google Scholar] [CrossRef]
- Ghosh, S.; Basu, M.K.; Schweppe, J.S. Agarose gel electrophoresis of serum lipoproteins: Determination of true mobility, isoelectric point, and molecular size. Anal. Biochem. 1972, 50, 592–601. [Google Scholar] [CrossRef]
- Ali, M.A.; Srivastava, S.; Pandey, M.K.; Agrawal, V.V.; John, R.; Malhotra, B.D. Protein–Conjugated Quantum Dots Interface: Binding Kinetics and Label-Free Lipid Detection. Anal. Chem. 2014, 86, 1710–1718. [Google Scholar] [CrossRef]
- Ali, M.A.; Solanki, P.R.; Srivastava, S.; Singh, S.; Agrawal, V.V.; John, R.; Malhotra, B.D. Protein Functionalized Carbon Nanotubes-based Smart Lab-on-a-Chip. ACS Appl. Mater. Interfaces 2015, 7, 5837–5846. [Google Scholar] [CrossRef]
- Ali, M.A.; Singh, C.; Mondal, K.; Srivastava, S.; Sharma, A.; Malhotra, B.D. Mesoporous Few-Layer Graphene Platform for Affinity Biosensing Application. ACS Appl. Mater. Interfaces 2016, 8, 7646–7656. [Google Scholar] [CrossRef] [PubMed]
- Yan, W.; Chen, X.; Li, X.; Feng, X.; Zhu, J.-J. Fabrication of a Label-Free Electrochemical Immunosensor of Low-Density Lipoprotein. J. Phys. Chem. B 2008, 112, 1275–1281. [Google Scholar] [CrossRef] [PubMed]
- Swartz, M.E.; Krull, I.S. Handbook of Analytical Validation, 1st ed.; CRC Press: Boca Raton, FL, USA, 2012. [Google Scholar] [CrossRef]
- Takamura, T.; Tsuchiya, T.; Oda, M.; Watanabe, M.; Saito, R.; Sato-Ishida, R.; Akao, H.; Kawai, Y.; Kitayama, M.; Kajinami, K. Circulating malondialdehyde-modified low-density lipoprotein (MDA-LDL) as a novel predictor of clinical outcome after endovascular therapy in patients with peripheral artery disease (PAD). Atherosclerosis 2017, 263, 192–197. [Google Scholar] [CrossRef]








| ΔI (µA) | SD | ΔR (kΩ) | SD | ΔI/I (%) | SD | ΔR/R (%) | SD | |
|---|---|---|---|---|---|---|---|---|
| Au/S(C6H4)NH-CO-AbM/BSA/LDL | −0.34 | 0.02 | 105 | 19.7 | −18.1 | 1.40 | 20.2 | 5.72 |
| Au/S(C6H4)CO-NH-AbM/BSA/LDL | −0.10 | 0.13 | −1.17 | 5.97 | −4.59 | 5.73 | −0.53 | 5.68 |
| Substrate | Receptor | Electrochemical Method | Limit of Detection ng/mL | Ref. |
|---|---|---|---|---|
| AuNPs-AgCl@PANI | Antibody | EIS | 0.34 × 10−3 | [39] |
| CysCdS-nNiO/ITO | Antibody | CV | 500 | [15] |
| CNT−NiO | Antibody | EIS | 6.3 × 103 | [37] |
| rGO-NiO | Antibody | EIS | 700 | [38] |
| CNT-CH/ITO | Antibody | EIS | 1.25 × 105 | [16] |
| Polyaniline | Antibody | EIS | - | [13] |
| NiO | Antibody | EIS | - | [12] |
| NH2-rGO/ITO | Antibody | EIS | 5.0 × 104 | [14] |
| CysCdS/Au | Antibody | EIS | 16.03 × 104 | [36] |
| Fe3O4@SiO2 and MOF-Fc@APT | Aptamer | SWV | 0.3 | [17] |
| Au/4-ATP/AbM/BSA | Antibody | SWV | 0.31 | Present work |
| Au/Apt | Aptamer | SWV | 0.25 |
Publisher’s Note: MDPI stays neutral with regard to jurisdictional claims in published maps and institutional affiliations. |
© 2021 by the authors. Licensee MDPI, Basel, Switzerland. This article is an open access article distributed under the terms and conditions of the Creative Commons Attribution (CC BY) license (https://creativecommons.org/licenses/by/4.0/).
Share and Cite
Rudewicz-Kowalczyk, D.; Grabowska, I. Detection of Low Density Lipoprotein—Comparison of Electrochemical Immuno- and Aptasensor. Sensors 2021, 21, 7733. https://doi.org/10.3390/s21227733
Rudewicz-Kowalczyk D, Grabowska I. Detection of Low Density Lipoprotein—Comparison of Electrochemical Immuno- and Aptasensor. Sensors. 2021; 21(22):7733. https://doi.org/10.3390/s21227733
Chicago/Turabian StyleRudewicz-Kowalczyk, Daria, and Iwona Grabowska. 2021. "Detection of Low Density Lipoprotein—Comparison of Electrochemical Immuno- and Aptasensor" Sensors 21, no. 22: 7733. https://doi.org/10.3390/s21227733
APA StyleRudewicz-Kowalczyk, D., & Grabowska, I. (2021). Detection of Low Density Lipoprotein—Comparison of Electrochemical Immuno- and Aptasensor. Sensors, 21(22), 7733. https://doi.org/10.3390/s21227733

