Analysis and Improvement of Indoor Positioning Accuracy for UWB Sensors
Abstract
1. Introduction
- Mathematical models of both 2D and 3D positioning errors for UWB sensors were derived. To the best of our knowledge, this paper is the first one analyzing suitable UWB anchor installation positions based on a mathematical model of 3D positioning errors.
- The mathematical models of 2D and 3D positioning errors impose no constraints on anchors’ installation positions. The models are general enough to analyze mobile node’s positioning errors corresponding to any anchor installation positions.
- Anchor installation positions were suggested based on the mathematical model of 2D and 3D positioning errors for both LOS and NLOS conditions so that the RMSPE can be significantly reduced.
- Both computer simulations and practical experiments were conducted to verify that the anchor installation positions suggested based on the mathematical model of positioning errors can significantly reduce the RMSPE.
2. Problem Statement
System Design
3. Mathematical Model of Positioning Errors
3.1. 3D Positioning
3.2. 2D Positioning
4. Computer Simulations
4.1. 2D positioning Simulation
4.2. 3D Positioning Simulation
5. Experiments
6. Conclusions
Author Contributions
Funding
Conflicts of Interest
References
- Li, X.; Wang, J.; Liu, C.; Zhang, L.; Li, Z. Integrated wifi/pdr/smartphone using an adaptive system noise extended kalman filter algorithm for indoor localization. ISPRS Int. J. Geo-Inf. 2016, 5, 8. [Google Scholar] [CrossRef]
- Zuin, S.; Calzavara, M.; Sgarbossa, F.; Persona, A. Ultra wide band indoor positioning system: Analysis and testing of an IPS technology. IFAC 2018, 51, 1488–1492. [Google Scholar]
- Mendoza-Silva, G.M.; Torres-Sospedra, J.; Huerta, J. A more realistic error distance calculation for indoor positioning systems accuracy evaluation. In Proceedings of the 2017 International Conference on Indoor Positioning and Indoor Navigation (IPIN), Sapporo, Japan, 18–21 September 2017; pp. 1–8. [Google Scholar]
- Anagnostopoulos, G.G.; Deriaz, M.; Gaspoz, J.; Konstantas, D.; Guessous, I. Navigational needs and requirements of hospital staff: Geneva university hospitals case study. In Proceedings of the 2017 International Conference on Indoor Positioning and Indoor Navigation (IPIN), Sapporo, Japan, 18–21 September 2017; pp. 1–8. [Google Scholar]
- Holm, S. Ultrasound positioning based on time-of-flight and signal strength. In Proceedings of the 2012 International Conference on Indoor Positioning and Indoor Navigation (IPIN), Sydney, NSW, Australia, 13–15 November 2012; pp. 1–6. [Google Scholar]
- Mohebbi, P.; Stroulia, E.; Nikolaidis, I. Sensor-data fusion for multi-person indoor position estimation. Sensors 2017, 17, 2377. [Google Scholar] [CrossRef]
- Castillo-Cara, M.; Lovon-Melgarejo, J.; Bravo-Rocca, G.; Orozco-Barbosa, L.; Garcia-Varea, I. An empirical study of the transmission power setting for Bluetooth-based indoor localization mechanisms. Sensors 2017, 17, 1318. [Google Scholar] [CrossRef] [PubMed]
- Zhou, Y.D.; Wei, M.X.; Zhuang, H. Research on ZigBee indoor technology positioning based on RSSI. Procedia Comput. Sci. 2019, 154, 424–429. [Google Scholar]
- Diallo, A.; Lu, Z.; Zhao, X. Wireless indoor localization using passive RFID tags. Procedia Comput. Sci. 2019, 155, 210–217. [Google Scholar] [CrossRef]
- Xiao, W.; Ni, W.; Toh, Y.K. Integrated Wi-Fi fingerprinting and inertial sensing for indoor positioning. In Proceedings of the 2011 International Conference on Indoor Positioning and Indoor Navigation (IPIN), Guimaraes, Portugal, 21–23 September 2011; pp. 1–6. [Google Scholar]
- Jiménez Ruiz, A.R.; Seco Granja, F. Comparing Ubisense, BeSpoon, and DecaWave UWB position systems: Indoor performance analysis. IEEE Trans. Instrum. Meas. 2017, 66, 2106–2117. [Google Scholar] [CrossRef]
- Park, H.; Noh, J.; Cho, S. Three-dimensional positioning system using Bluetooth low-energy beacons. IJDSN 2016, 12. [Google Scholar] [CrossRef][Green Version]
- He, Y.; Bilgic, A. Iterative least squares method for global positioning system. Adv. Radio Sci. 2011, 9, 203–208. [Google Scholar] [CrossRef]
- Khalaf-Allah, M. Particle filtering for three-dimensional TDoA-based positioning using four anchor nodes. Sensors 2020, 20, 4516. [Google Scholar] [CrossRef]
- Yao, L.; Wu, Y.A.; Yao, L.; Liao, Z.Z. An integrated IMU and UWB sensor based indoor positioning system. In Proceedings of the 2017 International Conference on Indoor Positioning and Indoor Navigation (IPIN), Sapporo, Japan, 18–21 September 2017; pp. 1–8. [Google Scholar]
- Zeng, Z.; Liu, S.; Wang, L. UWB/IMU integration approach with NLOS identification and mitigation. In Proceedings of the 2018 52nd Annual Conference on Information Sciences and Systems (CISS), Princeton, NJ, USA, 21–23 March 2018; pp. 1–6. [Google Scholar]
- Zeng, Z.; Liu, S.; Wang, L. NLOS detection and mitigation for UWB/IMU fusion system based on EKF and CIR. In Proceedings of the 2018 IEEE 18th International Conference on Communication Technology (ICCT), Chongqing, China, 8–11 October 2018; pp. 376–381. [Google Scholar]
- Liu, F.; Li, X.; Wang, J.; Zhang, J. An adaptive UWB/MEMS-IMU complementary Kalman filter for indoor position in NLOS environment. Remote Sens. 2019, 11, 2628. [Google Scholar] [CrossRef]
- Li, Z.; Chang, G.; Gao, J.; Wang, J.; Hernandez, A. GPS/UWB/MEMS-IMU tightly coupled navigation with improved robust Kalman filter. Adv. Space Res. 2016, 58, 2424–2434. [Google Scholar] [CrossRef]
- Fan, Q.; Sun, B.; Sun, Y.; Zhuang, X. Performance enhancement of MEMS-based INS/UWB integration for indoor navigation applications. IEEE Sens. J. 2017, 17, 3116–3130. [Google Scholar] [CrossRef]
- Nakamura, S.; Higashi, Y.; Masuda, A.; Miura, N. A positioning system and position control system of a quad-rotor applying Kalman filter to a UWB module and an IMU. In Proceedings of the 2020 IEEE/SICE International Symposium on System Integration (SII), Honolulu, HI, USA, 12–15 January 2020; pp. 747–752. [Google Scholar]
- Jachimczyk, B.; Dziak, D.; Kulesza, W.J. Customization of UWB 3D-RTLS based on the new uncertainty model of the AoA ranging technique. Sensors 2017, 17, 227. [Google Scholar] [CrossRef]
- Ferreira, A.G.; Fernandes, D.; Catarino, A.P.; Monteiro, J.L. Performance analysis of ToA-based positioning algorithms for static and dynamic targets with low ranging measurements. Sensors 2017, 17, 1915. [Google Scholar] [CrossRef]
- Zhang, K.; Shen, C.; Zhou, Q.; Wang, H.; Gao, Q.; Chen, Y. A combined GPS UWB and MARG position algorithm for indoor and outdoor mixed scenario. Clust. Comput. 2019, 22, 5965–5974. [Google Scholar] [CrossRef]
- Ding, G.; Lu, H.; Bai, J.; Qin, X. Development of a high precision UWB/Vision-based AGV and control system. In Proceedings of the 2020 5th International Conference on Control and Robotics Engineering (ICCRE), Osaka, Japan, 24–26 April 2020; pp. 99–103. [Google Scholar]
- Song, Y.; Guan, M.; Tay, W.P.; Law, C.L.; Wen, C. UWB/LiDAR fusion for cooperative range-only SLAM. In Proceedings of the 2019 International Conference on Robotics and Automation (ICRA), Montreal, QC, Canada, 20–24 May 2019; pp. 6568–6574. [Google Scholar]
- Renaudin, V.; Susi, M.; Lachapelle, G. Step length estimation using handheld inertial sensors. Sensors 2012, 12, 8507–8525. [Google Scholar] [CrossRef]
- Song, Y.; Hsu, L.T. Tightly coupled integrated navigation system via factor graph for UAV indoor localization. Aerosp. Sci. Technol. 2021, 108. [Google Scholar] [CrossRef]
- Wen, K.; Yu, K.; Li, Y.; Zhang, S.; Zhang, W. A new quaternion Kalman filter based foot-mounted IMU and UWB tightly-coupled method for indoor pedestrian navigation. IEEE Trans. Veh. Tech. 2020, 69, 4340–4352. [Google Scholar] [CrossRef]
- Hol, J.D.; Dijkstra, F.; Luinge, H.; Schon, T.B. Tightly coupled UWB/IMU pose estimation. In Proceedings of the 2009 IEEE International Conference on Ultra-Wideband, Vancouver, BC, Canada, 9–11 September 2009; pp. 688–692. [Google Scholar]
- Li, X.; Wang, Y.; Khoshelham, K. A robust and adaptive complementary Kalman filter based on mahalanobis distance for ultra wideband/inertial measurement unit fusion positioning. Sensors 2018, 18, 3435. [Google Scholar] [CrossRef]
- Liu, J.; Pu, J.; Sun, L.; He, Z. An approach to robust INS/UWB integrated positioning for autonomous indoor mobile robots. Sensors 2019, 19, 950. [Google Scholar] [CrossRef]
- Shen, Y.; Win, M.Z. Fundamental limits of wideband localization— Part I: A general framework. IEEE Trans. Inf. Theory 2010, 56, 4956–4980. [Google Scholar] [CrossRef]
- Miraglia, G.; Maleki, K.N.; Hook, L.R. Comparison of two sensor data fusion methods in a tightly coupled UWB/IMU 3-D localization system. In Proceedings of the 2017 International Conference on Engineering, Technology and Innovation (ICE/ITMC), Madeira, Portugal, 27–29 June 2017; pp. 611–618. [Google Scholar]
- Xu, Y.; Shmaliy, Y.S.; Chen, X.; Li, Y.; Ma, W. Robust inertial navigation system/ultra wide band integrated indoor quadrotor localization employing adaptive interacting multiple model-unbiased finite impulse response/Kalman filter estimator. Aerosp. Sci. Technol. 2020, 98, 105683. [Google Scholar] [CrossRef]
- Zhang, R.; Shen, F.; Liang, Y.; Zhao, D. Using UWB aided GNSS/INS integrated navigation to bridge GNSS outages based on optimal anchor distribution strategy. In Proceedings of the 2020 IEEE/ION Position, Location and Navigation Symposium (PLANS), Portland, OR, USA, 20–23 April 2020; pp. 1405–1411. [Google Scholar]
- Tahsin, M.; Sultana, S.; Reza, T.; Hossam-E-Haider, M. Analysis of DOP and its preciseness in GNSS position estimation. In Proceedings of the 2015 International Conference on Electrical Engineering and Information Communication Technology (ICEEICT), Savar, Bangladesh, 21–23 May 2015; pp. 1–6. [Google Scholar]
- Monica, S.; Ferrari, G. UWB-based localization in large indoor scenarios: Optimized placement of anchor nodes. IEEE Trans. Aerosp. Electron. Syst. 2015, 51, 987–999. [Google Scholar] [CrossRef]
- Decawave. The Implementation of Two-Way Ranging with the DW 1000; Version 2.2; DecaWave Limited: Dublin, Ireland, 2015. [Google Scholar]
- Peter, K.; Matjaž, V.; Marko, M. Distance measurements in UWB-radio localization systems corrected with a feedforward neural network model. Sensors 2021, 21, 2294. [Google Scholar]
- Larsson, E.G. Cram’er-Rao bound analysis of distribution positioning in sensor networks. IEEE Trans. Signal Process. Lett. 2004, 11, 334–337. [Google Scholar] [CrossRef]
- Qi, Y.; Kobayashi, H.; Suda, H. Analysis of wireless geolocation in a non-line-of-sight environment. IEEE Trans. Wireless Commun. 2006, 5, 672–681. [Google Scholar]
- Nurminen, H.; Ardeshiri, T.; Piché, R.; Gustafsson, F.A. NLOS-robust TOA positioning filter based on a skew-t measurement noise model. In Proceedings of the 2015 International Conference on Indoor Positioning and Indoor Navigation (IPIN), Banff, AB, Canada, 13–16 October 2015; pp. 1–7. [Google Scholar]
- Shen, Y.; Wymeersch, H.; Win, M.Z. Fundamental limits of wideband localization- part II: Cooperative networks. IEEE Trans. Inf. Theory 2010, 56, 4981–5000. [Google Scholar] [CrossRef]
- Khan, R.; Khan, S.U.; Khan, S.; Khan, M.U.A. Localization performance evaluation of extended kalman filter in wireless sensors network. Procedia Comput. Sci. 2014, 32, 117–124. [Google Scholar] [CrossRef]













| 10 | 20 | 30 | 40 | 50 | 60 | 70 | 80 | 90 | 100 | 110 | 120 | 130 | 140 | 150 | 160 | |
|---|---|---|---|---|---|---|---|---|---|---|---|---|---|---|---|---|
| 5m × 5m | 2.044 | 1.022 | 0.783 | 0.620 | 0.556 | 0.539 | 0.540 | 0.536 | 0.526 | 0.606 | 0.677 | 0.723 | 0.891 | 1.148 | 1.458 | 2.104 |
| 20m × 20m | 0.654 | 0.325 | 0.213 | 0.176 | 0.155 | 0.150 | 0.150 | 0.149 | 0.149 | 0.184 | 0.195 | 0.227 | 0.270 | 0.333 | 0.448 | 0.684 |
| 10 | 20 | 30 | 40 | 50 | 60 | 70 | 80 | 90 | 100 | 110 | 120 | 130 | 140 | 150 | 160 | |
|---|---|---|---|---|---|---|---|---|---|---|---|---|---|---|---|---|
| 5m × 5m | 4.192 | 2.091 | 1.513 | 1.323 | 1.155 | 1.117 | 1.112 | 1.113 | 1.114 | 1.261 | 1.402 | 1.477 | 1.745 | 2.210 | 2.891 | 4.219 |
| 20m × 20m | 1.323 | 0.675 | 0.530 | 0.448 | 0.402 | 0.375 | 0.368 | 0.373 | 0.371 | 0.412 | 0.453 | 0.538 | 0.644 | 0.813 | 1.085 | 1.699 |
| Distances (m) | 4 | 8 | 12 | 16 | 20 |
|---|---|---|---|---|---|
| |k’| (m) | 0.505 | 0.259 | 0.194 | 0.170 | 0.149 |
| |l’| (m) | 0.501 | 0.266 | 0.192 | 0.167 | 0.149 |
| Distances (m) | 4 | 8 | 12 | 16 | 20 |
|---|---|---|---|---|---|
| |k’| (m) | 1.039 | 0.578 | 0.463 | 0.414 | 0.371 |
| |l’| (m) | 1.040 | 0.568 | 0.463 | 0.394 | 0.371 |
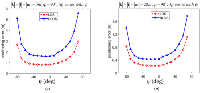
| 10 | 20 | 30 | 40 | 50 | 60 | 70 | 80 | 90 | 100 | 110 | 120 | 130 | 140 | 150 | 160 | |
|---|---|---|---|---|---|---|---|---|---|---|---|---|---|---|---|---|
| (5m)3 | 2.593 | 1.403 | 1.058 | 0.923 | 0.872 | 0.847 | 0.838 | 0.835 | 0.837 | 0.903 | 0.957 | 1.043 | 1.177 | 1.400 | 1.805 | 2.622 |
| (20m)3 | 0.797 | 0.427 | 0.318 | 0.270 | 0.252 | 0.240 | 0.238 | 0.239 | 0.239 | 0.259 | 0.281 | 0.313 | 0.373 | 0.467 | 0.627 | 0.961 |
| 10 | 20 | 30 | 40 | 50 | 60 | 70 | 80 | 90 | 100 | 110 | 120 | 130 | 140 | 150 | 160 | |
|---|---|---|---|---|---|---|---|---|---|---|---|---|---|---|---|---|
| (5m)3 | 4.936 | 2.725 | 2.076 | 1.794 | 1.676 | 1.639 | 1.621 | 1.614 | 1.591 | 1.719 | 1.828 | 2.039 | 2.368 | 2.649 | 3.535 | 5.021 |
| (20m)3 | 1.539 | 0.813 | 0.599 | 0.510 | 0.460 | 0.454 | 0.452 | 0.454 | 0.450 | 0.510 | 0.531 | 0.603 | 0.687 | 0.830 | 1.050 | 1.533 |
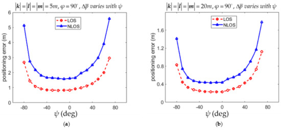
| 80 | 70 | 60 | 50 | 40 | 30 | 20 | 10 | 0 | −10 | −20 | −30 | −40 | −50 | −60 | −70 | |
|---|---|---|---|---|---|---|---|---|---|---|---|---|---|---|---|---|
| (5m)3 | 2.679 | 1.437 | 1.082 | 0.925 | 0.848 | 0.830 | 0.822 | 0.834 | 0.828 | 0.910 | 0.994 | 1.113 | 1.274 | 1.559 | 2.002 | 2.967 |
| (20m)3 | 0.830 | 0.446 | 0.330 | 0.275 | 0.252 | 0.237 | 0.231 | 0.231 | 0.232 | 0.265 | 0.299 | 0.345 | 0.431 | 0.529 | 0.729 | 1.120 |
| 80 | 70 | 60 | 50 | 40 | 30 | 20 | 10 | 0 | −10 | −20 | −30 | −40 | −50 | −60 | −70 | |
|---|---|---|---|---|---|---|---|---|---|---|---|---|---|---|---|---|
| (5m)3 | 5.139 | 2.750 | 2.174 | 1.817 | 1.667 | 1.650 | 1.615 | 1.575 | 1.614 | 1.655 | 1.962 | 2.156 | 2.502 | 2.985 | 3.911 | 5.593 |
| (20m)3 | 1.415 | 0.742 | 0.547 | 0.474 | 0.446 | 0.441 | 0.435 | 0.441 | 0.438 | 0.516 | 0.556 | 0.618 | 0.720 | 0.906 | 1.169 | 1.780 |
| group 1 | 90 | 0 | 0.0743 |
| 70 | 0 | 0.1366 | |
| 55 | 0 | 0.2214 | |
| 40 | 0 | 0.2965 | |
| 25 | 0 | 0.6745 | |
| 10 | 0 | 1.4545 | |
| group 2 | 90 | 0 | 0.0743 |
| 90 | 20 | 0.1404 | |
| 90 | 35 | 0.2136 | |
| 90 | 50 | 0.3018 | |
| 90 | 65 | 0.5648 |
| |k| (m) | |l| (m) | |m| (m) | ||
|---|---|---|---|---|
| group 1 | 5.79 | 5.79 | 2.19 | 0.0743 |
| 5.79 | 4.79 | 2.19 | 0.1115 | |
| 5.79 | 3.79 | 2.19 | 0.1218 | |
| 5.79 | 2.79 | 2.19 | 0.1807 | |
| 5.79 | 1.79 | 2.19 | 0.3169 | |
| group 2 | 5.79 | 5.79 | 2.19 | 0.0743 |
| 5.79 | 5.79 | 1.69 | 0.1850 | |
| 5.79 | 5.79 | 1.19 | 0.2852 | |
| group 3 | 5.79 | 5.79 | 2.19 | 0.0743 |
| 4.79 | 5.79 | 2.19 | 0.1239 | |
| 3.79 | 5.79 | 2.19 | 0.1544 | |
| 2.79 | 5.79 | 2.19 | 0.1879 | |
| 1.79 | 5.79 | 2.19 | 0.2989 |
| group 1 | 90 | 0 | 0.5452 |
| 70 | 0 | 0.6355 | |
| 55 | 0 | 0.6758 | |
| 40 | 0 | 0.9418 | |
| 25 | 0 | 1.6660 | |
| 10 | 0 | 2.9914 | |
| group 2 | 90 | 0 | 0.5452 |
| 90 | 20 | 0.5659 | |
| 90 | 35 | 0.7983 | |
| 90 | 50 | 1.0277 | |
| 90 | 65 | 1.1303 |
| |k| (m) | |l| (m) | |m| (m) | ||
|---|---|---|---|---|
| group 1 | 5.79 | 5.79 | 2.19 | 0.5452 |
| 5.79 | 4.79 | 2.19 | 0.7263 | |
| 5.79 | 3.79 | 2.19 | 0.7575 | |
| 5.79 | 2.79 | 2.19 | 0.8255 | |
| 5.79 | 1.79 | 2.19 | 1.0081 | |
| group 2 | 5.79 | 5.79 | 2.19 | 0.5452 |
| 5.79 | 5.79 | 1.69 | 0.8880 | |
| 5.79 | 5.79 | 1.19 | 1.0658 | |
| group 3 | 5.79 | 5.79 | 2.19 | 0.5452 |
| 4.79 | 5.79 | 2.19 | 0.7302 | |
| 3.79 | 5.79 | 2.19 | 0.7333 | |
| 2.79 | 5.79 | 2.19 | 0.7593 | |
| 1.79 | 5.79 | 2.19 | 0.9898 |
Publisher’s Note: MDPI stays neutral with regard to jurisdictional claims in published maps and institutional affiliations. |
© 2021 by the authors. Licensee MDPI, Basel, Switzerland. This article is an open access article distributed under the terms and conditions of the Creative Commons Attribution (CC BY) license (https://creativecommons.org/licenses/by/4.0/).
Share and Cite
Yao, L.; Yao, L.; Wu, Y.-W. Analysis and Improvement of Indoor Positioning Accuracy for UWB Sensors. Sensors 2021, 21, 5731. https://doi.org/10.3390/s21175731
Yao L, Yao L, Wu Y-W. Analysis and Improvement of Indoor Positioning Accuracy for UWB Sensors. Sensors. 2021; 21(17):5731. https://doi.org/10.3390/s21175731
Chicago/Turabian StyleYao, Leehter, Lei Yao, and Yeong-Wei Wu. 2021. "Analysis and Improvement of Indoor Positioning Accuracy for UWB Sensors" Sensors 21, no. 17: 5731. https://doi.org/10.3390/s21175731
APA StyleYao, L., Yao, L., & Wu, Y.-W. (2021). Analysis and Improvement of Indoor Positioning Accuracy for UWB Sensors. Sensors, 21(17), 5731. https://doi.org/10.3390/s21175731

