An Assessment of the Effect of Progressive Water Absorption on the Interlaminar Strength of Unidirectional Carbon/Epoxy Composites Using Acoustic Emission
Abstract
:1. Introduction
2. Materials and Methods
2.1. Materials
2.2. Water Absorption
- Wi = weight of the specimen at each point of the weight recorded during the experiment.
- Wo = initial weight of the specimen before any contact with water.
2.3. Interlaminar Strength
- FSBS = short-beam strength (MPa).
- P = load observed during the test (N).
- b = specimen width (mm).
- h = specimen thickness (mm).
2.4. Acoustic Emission
2.5. Optical Measurements
2.6. Microscopy
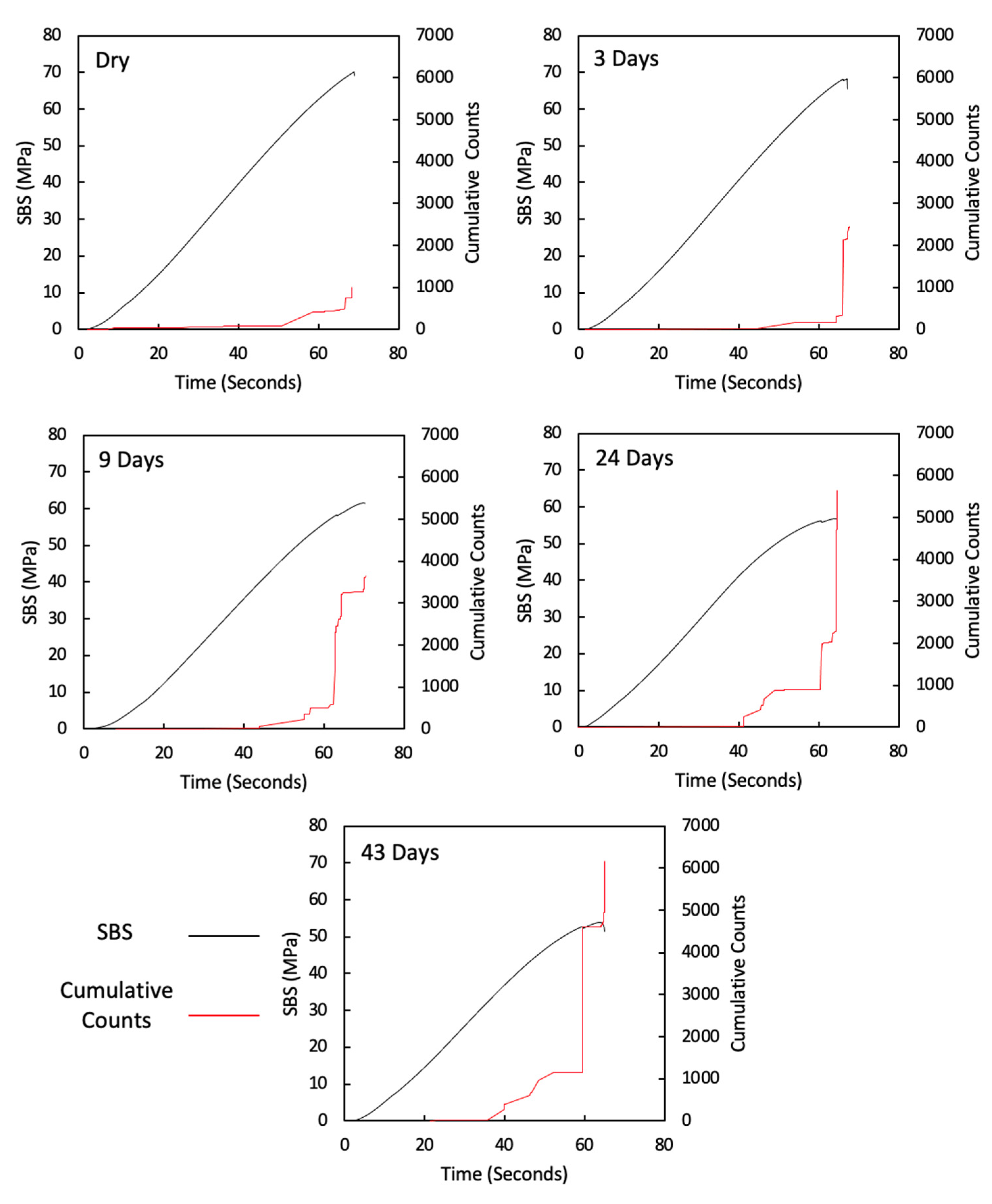
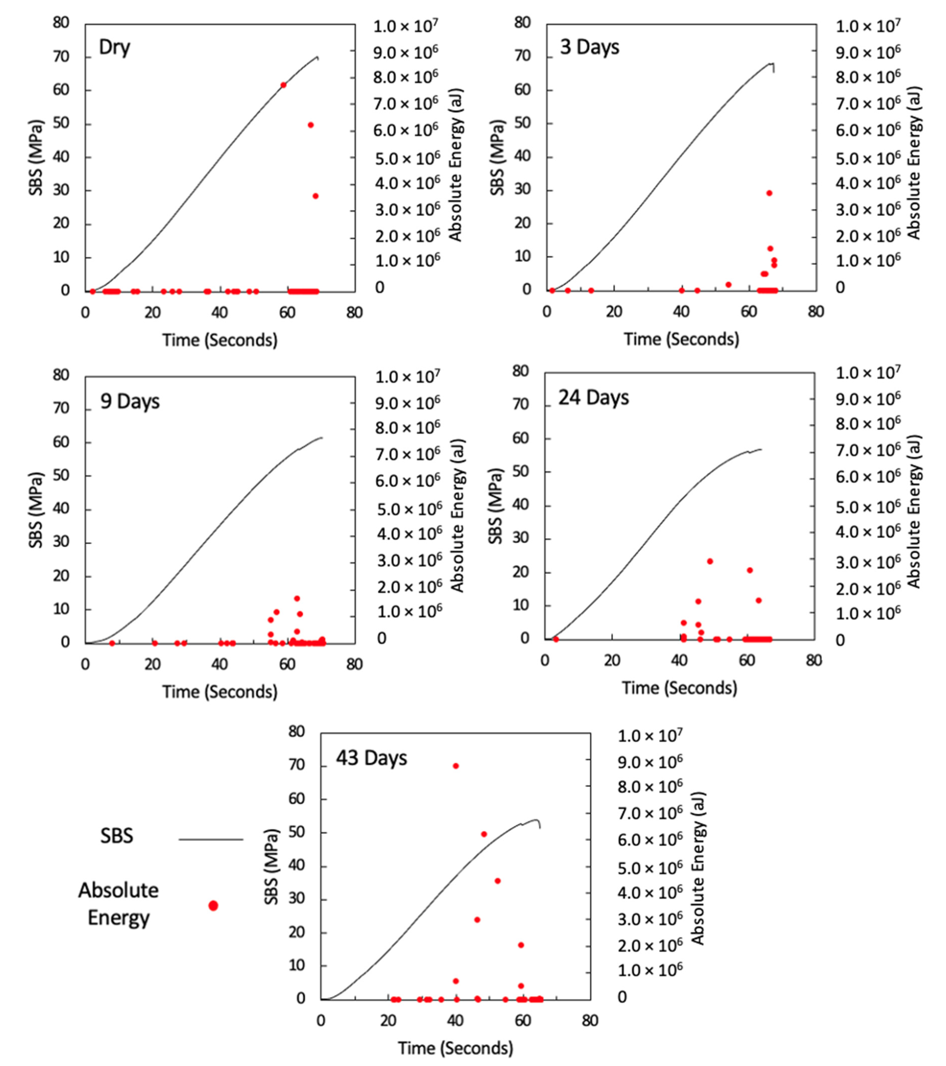
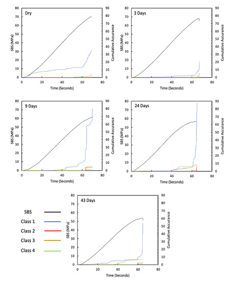
3. Results and Discussion
4. Conclusions
Supplementary Materials
Author Contributions
Funding
Institutional Review Board Statement
Informed Consent Statement
Data Availability Statement
Conflicts of Interest
References
- Takeda, S.I.; Tsukada, T.; Sugimoto, S.; Iwahori, Y. Monitoring of water absorption in CFRP laminates using embedded fiber Bragg grating sensors. Compos. Part A Appl. Sci. Manuf. 2014, 61, 163–171. [Google Scholar] [CrossRef]
- Frigione, M.; Lettieri, M. Durability Issues and Challenges for Material Advancements in FRP Employed in the Construction Industry. Polymers 2018, 10, 247. [Google Scholar] [CrossRef] [Green Version]
- Ciampa, F.; Mahmoodi, P.; Pinto, F.; Meo, M. Recent Advances in Active Infrared Thermography for Non-Destructive Testing of Aerospace Components. Sensors 2018, 18, 609. [Google Scholar] [CrossRef] [PubMed] [Green Version]
- Sorrentino, R.; Di Palma, L.; Inverno, M.; Vernillo, P. An Impedance Measurement Technique for Composite Materials Moisture Level Detection Devoted to Health Monitoring in Aeronautics. J. Compos. Sci. 2019, 3, 76. [Google Scholar] [CrossRef] [Green Version]
- ASTM International. D5229/D5229M-14e1 Standard Test Method for Moisture Absorption Properties and Equilibrium Conditioning of Polymer Matrix Composite Materials; ASTM International: West Conshohocken, PA, USA, 2014. [Google Scholar]
- Aoki, Y.; Yamada, K.; Ishikawa, T. Effect of hygrothermal condition on compression after impact strength of CFRP laminates. Compos. Sci. Technol. 2008, 68, 1376–1383. [Google Scholar] [CrossRef]
- Barbosa, A.P.; Fulco, A.P.; Guerra, E.S.; Arakaki, F.K.; Tosatto, M.; Costa, M.C.; Melo, J.D. Accelerated aging effects on carbon fiber/epoxy composites. Compos. Part B Eng. 2017, 110, 298–306. [Google Scholar] [CrossRef]
- Korkees, F.; Arnold, C.; Alston, S. An investigation of the long-term water uptake behavior and mechanisms of carbon fiber/977-2 epoxy composites. Polym. Eng. Sci. 2018, 58, 2175–2184. [Google Scholar] [CrossRef] [Green Version]
- Capiel, G.; Uicich, J.; Fasce, D.; Montemartini, P.E. Diffusion and hydrolysis effects during water aging on an epoxy-anhydride system. Polym. Degrad. Stab. 2018, 153, 165–171. [Google Scholar] [CrossRef] [Green Version]
- Zafar, A.; Bertocco, F.; Schjødt-Thomsen, J.; Rauhe, J.C. Investigation of the long term effects of moisture on carbon fibre and epoxy matrix composites. Compos. Sci. Technol. 2012, 72, 656–666. [Google Scholar] [CrossRef]
- Saeed, M.U.; Chen, Z.; Chen, Z.; Li, B. Compression behavior of laminated composites subjected to damage induced by low velocity impact and drilling. Compos. Part B Eng. 2014, 56, 815–820. [Google Scholar] [CrossRef]
- Pérez-Pacheco, E.; Cauich-Cupul, J.I.; Valadez-González, A.; Herrera-Franco, P.J. Effect of moisture absorption on the mechanical behavior of carbon fiber/epoxy matrix composites. J. Mater. Sci. 2013, 48, 1873–1882. [Google Scholar] [CrossRef]
- Cauich-Cupul, J.I.; Pérez-Pacheco, E.; Valadez-González, A.; Herrera-Franco, P.J. Effect of moisture absorption on the micromechanical behavior of carbon fiber/epoxy matrix composites. J. Mater. Sci. 2011, 46, 6664–6672. [Google Scholar] [CrossRef]
- Grammatikos, S.A.; Zafari, B.; Evernden, M.C.; Mottram, J.T.; Mitchels, J.M. Moisture uptake characteristics of a pultruded fibre reinforced polymer flat sheet subjected to hot/wet aging. Polym. Degrad. Stab. 2015, 121, 407–419. [Google Scholar] [CrossRef] [Green Version]
- Kentish, S.E. Polymeric membranes for natural gas processing. In Advanced Membrane Science and Technology for Sustainable Energy and Environmental Applications; Elsevier: Amsterdam, The Netherlands, 2011; pp. 339–360. [Google Scholar] [CrossRef]
- Chateauminois, A.; Chabert, B.; Soulier, J.P.; Vincent, L. Dynamic mechanical analysis of epoxy composites plasticized by water: Artifact and reality. Polym. Compos. 1995, 16, 288–296. [Google Scholar] [CrossRef]
- Capiel, G.; Miccio, L.A.; Montemartini, P.E.; Schwartz, G.A. Water diffusion and hydrolysis effect on the structure and dynamics of epoxy-anhydride networks. Polym. Degrad. Stab. 2017, 143, 57–63. [Google Scholar] [CrossRef]
- Azwa, Z.N.; Yousif, B.F.; Manalo, A.C.; Karunasena, W. A review on the degradability of polymeric composites based on natural fibres. Mater. Des. 2013, 47, 424–442. [Google Scholar] [CrossRef] [Green Version]
- El Yagoubi, J.; Lubineau, G.; Traidia, A.; Verdu, J. Monitoring and simulations of hydrolysis in epoxy matrix composites during hygrothermal aging. Compos. Part A Appl. Sci. Manuf. 2015, 68, 184–192. [Google Scholar] [CrossRef] [Green Version]
- Chang, B.P.; Mohanty, A.K.; Misra, M. Studies on durability of sustainable biobased composites: A review. RSC Adv. 2020, 10, 17955–17999. [Google Scholar] [CrossRef]
- Sales, R.; Thim, G.; Brunelli, D. Understanding the water uptake in F-161 glass-epoxy composites using the techniques of luminescence spectroscopy and FT-NIR. Polímeros 2017, 27, 171–182. [Google Scholar] [CrossRef] [Green Version]
- Espert, A.; Vilaplana, F.; Karlsson, S. Comparison of water absorption in natural cellulosic fibres from wood and one-year crops in polypropylene composites and its influence on their mechanical properties. Compos. Part A Appl. Sci. Manuf. 2004, 35, 1267–1276. [Google Scholar] [CrossRef]
- Karmaker, A.C. Effect of water absorption on dimensional stability and impact energy of jute fibre reinforced polypropylene. J. Mater. Sci. Lett. 1997, 16, 462–464. [Google Scholar] [CrossRef]
- Muñoz, E.; García-Manrique, J.A. Water Absorption Behaviour and Its Effect on the Mechanical Properties of Flax Fibre Reinforced Bioepoxy Composites. Int. J. Polym. Sci. 2015, 2015, 1–10. [Google Scholar] [CrossRef] [Green Version]
- Spragg, C.J.; Drzal, L.T. Fiber, Matrix, and Interface Properties; ASTM: West Conshohocken, PA, USA, 1996; ISBN 9780803120464. [Google Scholar]
- Almudaihesh, F.; Holford, K.; Pullin, R.; Eaton, M. The influence of water absorption on unidirectional and 2D woven CFRP composites and their mechanical performance. Compos. Part B Eng. 2020, 182, 107626. [Google Scholar] [CrossRef]
- Chandrasekaran, V.C.S.; Advani, S.G.; Santare, M.H. Influence of resin properties on interlaminar shear strength of glass/epoxy/MWNT hybrid composites. Compos. Part A Appl. Sci. Manuf. 2011, 42, 1007–1016. [Google Scholar] [CrossRef]
- Hull, D. Matrix-dominated properties of polymer matrix composite materials. Mater. Sci. Eng. A 1994, 184, 173–183. [Google Scholar] [CrossRef]
- Zhang, S.Y. A simple approach to the evaluation of fiber/matrix interfacial shear strength and fracture toughness. Compos. Sci. Technol. 2000, 60, 145–148. [Google Scholar] [CrossRef]
- Dirand, X.; Hilaire, B.; Soulier, J.P.; Nardin, M. Interfacial shear strength in glass-fiber/vinylester-resin composites. Compos. Sci. Technol. 1996, 56, 533–539. [Google Scholar] [CrossRef]
- Alam, P.; Robert, C.; Brádaigh, C.M. Tidal turbine blade composites—A review on the effects of hygrothermal aging on the properties of CFRP. Compos. Part B Eng. 2018, 149, 248–259. [Google Scholar] [CrossRef]
- Kafodya, I.; Xian, G.; Li, H. Durability study of pultruded CFRP plates immersed in water and seawater under sustained bending: Water uptake and effects on the mechanical properties. Compos. Part B Eng. 2015, 70, 138–148. [Google Scholar] [CrossRef]
- Meng, M.; Rizvi, M.J.; Grove, S.M.; Le, H.R. Effects of hygrothermal stress on the failure of CFRP composites. Compos. Struct. 2015, 133, 1024–1035. [Google Scholar] [CrossRef] [Green Version]
- De Rosa, I.M.; Santulli, C.; Sarasini, F. Acoustic emission for monitoring the mechanical behaviour of natural fibre composites: A literature review. Compos. Part A Appl. Sci. Manuf. 2009, 40, 1456–1469. [Google Scholar] [CrossRef]
- Tetelman, A.S. Fundamentals of Acoustic Emission; Ono, K., Ed.; Materials Department, School of Engineering and Applied Science University of California: Los Angeles, CA, USA, 1978. [Google Scholar]
- Liu, P.F.; Chu, J.K.; Liu, Y.L.; Zheng, J.Y. A study on the failure mechanisms of carbon fiber/epoxy composite laminates using acoustic emission. Mater. Des. 2012, 37, 228–235. [Google Scholar] [CrossRef]
- PCI-2 Baed AE System; Physical Acoustics Corporation: Princeton Jct, NJ, USA, 2004.
- Zhuang, X.; Yan, X. Investigation of damage mechanisms in self-reinforced polyethylene composites by acoustic emission. Compos. Sci. Technol. 2005, 66, 444–449. [Google Scholar] [CrossRef]
- Liu, P.F.; Yang, J.; Peng, X.Q. Delamination analysis of carbon fiber composites under hygrothermal environment using acoustic emission. J. Compos. Mater. 2017, 51, 1557–1571. [Google Scholar] [CrossRef]
- de Groot, P.J.; Wijnen, P.A.M.; Janssen, R.B.F. Real-time frequency determination of acoustic emission for different fracture mechanisms in carbon/epoxy composites. Compos. Sci. Technol. 1995, 55, 405–412. [Google Scholar] [CrossRef]
- Kumosa, M. Acoustic emission monitoring of stress corrosion cracks in aligned GRP. J. Phys. D Appl. Phys. 1987, 20, 69. [Google Scholar] [CrossRef]
- ASTM International. Standard Test Method for Glass Transition Temperature (DMA Tg) of Polymer Matrix Composites by Dynamic Mechanical Analysis (DMA); ASTM International: West Conshohocken, PA, USA, 2015. [Google Scholar] [CrossRef]
- Campbell, F.C. Manufacturing Processes for Advanced Composites; Elsevier Advanced Technology: Oxford, UK, 2004. [Google Scholar]
- Bank, L.; Gentry, T.R.; Barkatt, A. Accelerated Test Methods to Determine the Long-Term Behavior of FRP Composite Structures: Environmental Effects. J. Reinf. Plast. Compos. 1995, 14, 559–587. [Google Scholar] [CrossRef]
- Maxwell, A.S.; Broughton, W.R.; Dean, G.; Sims, G.D. Review of Accelerated Ageing Methods and Lifetime Prediction Techniques for Polymeric Materials; National Physical Laboratory: Middlesex, UK, 2005. [Google Scholar]
- Hunkley, J.A.; Connell, J.W. Resin Systems and Chemistry: Degradation Mechanisms and Durability. In Long-Term Durability of Polymeric Matrix Composites; Pochiraju, K.V., Tandon, G., Schoeppner, G.A., Eds.; Springer US: New York, NY, USA, 2012. [Google Scholar]
- ASTM International. D2344/D2344M-16 Standard Test Method for Short-Beam Strength of Polymer Matrix Composite Materials and Their Laminates; ASTM International: West Conshohocken, PA, USA, 2016. [Google Scholar] [CrossRef]
- Video Gauge User Manual; Version 5.0.1; Imetrum Limited: Bristol, UK, 2016.
- Vasiliev, V.V.; Morozov, E.V. Advanced Mechanics of Composite Materials, 2nd ed.; Elsevier: Oxford, UK, 2007; Volume 53. [Google Scholar]
- Ray, B.C. Temperature effect during humid ageing on interfaces of glass and carbon fibers reinforced epoxy composites. J. Colloid Interface Sci. 2006, 298, 111–117. [Google Scholar] [CrossRef] [PubMed]
- Dao, B.; Hodgkin, J.; Krstina, J.; Mardel, J.; Tian, W. Accelerated aging versus realistic aging in aerospace composite materials. V. The effects of hot/wet aging in a structural epoxy composite. J. Appl. Polym. Sci. 2010, 115, 901–910. [Google Scholar] [CrossRef]
- Selzer, R.; Friedrich, K. Mechanical properties and failure behaviour of carbon fibre-reinforced polymer composites under the influence of moisture. Compos. Part A Appl. Sci. Manuf. 1997, 28, 595–604. [Google Scholar] [CrossRef]
- Vanlandingham, M.R.; Eduljee, R.F.; Gillespie, J.W. Moisture Diffusion in Epoxy Systems. J. Appl. Polym. Sci. 1998, 71, 787–798. [Google Scholar] [CrossRef]
- Li, Y.; Cordovez, M.; Karbhari, V.M. Dielectric and mechanical characterization of processing and moisture uptake effects in E-glass/epoxy composites. Compos. Part B Eng. 2003, 34, 383–390. [Google Scholar] [CrossRef]
- Xie, M.; Adams, D.F. Study of three- and four-point shear testing of unidirectional composite materials. Composites 1995, 26, 653–659. [Google Scholar] [CrossRef]
- Adams, D.F.; Busse, J.M. Suggested Modifications of the Short Beam Shear Test Method. In Proceedings of the 49th International SAMPE Symposium and Exhibition, Society for the Advancement of Material and Process Engineering, Long Beach, CA, USA, 16–20 May 2004. [Google Scholar]



















| Duration | Amplitude | ||
|---|---|---|---|
| Low (35–40 dB) | Medium (40–80 dB) | Large (80–100 dB) | |
| Low (<1000 µs) | Class 0 (Onset matrix microcrack) | Class 1 (Propagation of matrix microcrack) | - |
| Medium (between 1000 and 10,000 µs) | - | Class 2 (Interfacial adhesion failure) | Class 3 (Fibre breakage) |
| Large (˃10,000 µs) | - | - | Class 4 (Propagation of macrocrack associated to delamination) |
| Specimen Condition | Number of Specimens |
|---|---|
| Control (dry) | 5 |
| 3-day immersion | 5 |
| 9-day immersion | 5 |
| 24-day immersion | 5 |
| 43-day immersion | 5 |
Publisher’s Note: MDPI stays neutral with regard to jurisdictional claims in published maps and institutional affiliations. |
© 2021 by the authors. Licensee MDPI, Basel, Switzerland. This article is an open access article distributed under the terms and conditions of the Creative Commons Attribution (CC BY) license (https://creativecommons.org/licenses/by/4.0/).
Share and Cite
Almudaihesh, F.; Grigg, S.; Holford, K.; Pullin, R.; Eaton, M. An Assessment of the Effect of Progressive Water Absorption on the Interlaminar Strength of Unidirectional Carbon/Epoxy Composites Using Acoustic Emission. Sensors 2021, 21, 4351. https://doi.org/10.3390/s21134351
Almudaihesh F, Grigg S, Holford K, Pullin R, Eaton M. An Assessment of the Effect of Progressive Water Absorption on the Interlaminar Strength of Unidirectional Carbon/Epoxy Composites Using Acoustic Emission. Sensors. 2021; 21(13):4351. https://doi.org/10.3390/s21134351
Chicago/Turabian StyleAlmudaihesh, Faisel, Stephen Grigg, Karen Holford, Rhys Pullin, and Mark Eaton. 2021. "An Assessment of the Effect of Progressive Water Absorption on the Interlaminar Strength of Unidirectional Carbon/Epoxy Composites Using Acoustic Emission" Sensors 21, no. 13: 4351. https://doi.org/10.3390/s21134351
APA StyleAlmudaihesh, F., Grigg, S., Holford, K., Pullin, R., & Eaton, M. (2021). An Assessment of the Effect of Progressive Water Absorption on the Interlaminar Strength of Unidirectional Carbon/Epoxy Composites Using Acoustic Emission. Sensors, 21(13), 4351. https://doi.org/10.3390/s21134351

