CdTe X/γ-ray Detectors with Different Contact Materials
Abstract
1. Introduction
2. Semiconductor Samples
3. Capabilities of CdTe-Based X/γ-ray Detectors with MoOx Ohmic Contacts
3.1. Fabrication of CdTe-Based Detectors with MoOx Ohmic Contacts
3.1.1. Molybdenum Oxide as a Prospective Material for Ohmic Contact Formation
3.1.2. Schottky Contact Formation
3.2. Electrical Characteristics of CdTe-Based Detectors with MoOx Ohmic Contacts
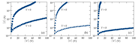
3.2.1. I-V Characteristics of the Heterostructures with MoOx Ohmic Contacts
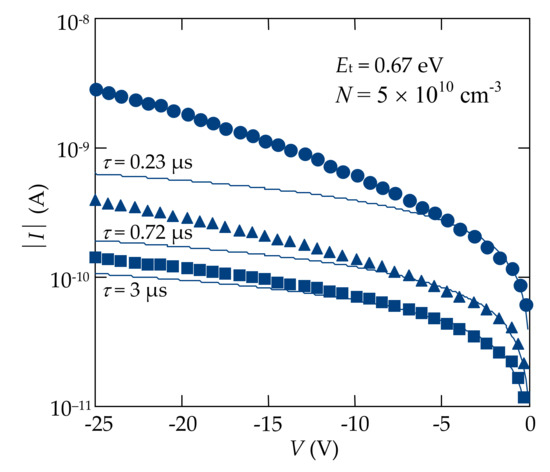
3.2.2. Features of the Heterostructures with MoOx Ohmic Contacts at Higher Bias
4. Capabilities of CdTe-Based X/γ-ray Detectors with an In Contact Treated by Laser Pulse Radiation
4.1. Laser-Assisted Formation of In/CdTe/Au Diode Structures
4.1.1. Techniques of CdTe Crystal Surface Processing and Electrical Contact Formation
4.1.2. Mechanisms of Laser Action on the In/CdTe Structure and p-n Junction Formation
4.2. Electrical Characteristics of In/CdTe/Au Diode Structures Fabricated by Laser Irradiation
5. Spectroscopic Characteristics of CdTe-Based X/γ-ray Detectors
6. Conclusions
Author Contributions
Funding
Institutional Review Board Statement
Informed Consent Statement
Acknowledgments
Conflicts of Interest
References
- Cooper, P.N. Introduction to Nuclear Radiation Detectors, Reissue ed.; Cambridge University Press: Cambridge, UK, 2011; pp. 1–152. [Google Scholar]
- Owens, A. Present detection systems. In Compound Semiconductor Radiation Detectors; Series in Sensors; CRC Press: New York, NY, USA; Taylor & Francis: New York, NY, USA, 2012; Chapter 6; pp. 287–368. [Google Scholar]
- Zanio, K. Cadmium Telluride. In Semiconductors and Semimetals; Academic Press: New York, NY, USA, 1978; Volume 13, p. 235. [Google Scholar]
- Zappettini, A. Cadmium telluride and cadmium zinc telluride (Chapter 8). In Single Crystals of Electronic Materials. Growth and Properties; Woodhead Publishing: Cambridge, UK, 2019; pp. 273–301. [Google Scholar]
- Hage-Ali, M.; Siffert, P. CdTe Nuclear Detectors and Applications. In Semiconductors for Room Temperature Nuclear Detector Applications; Schlesinger, T.E., James, R.B., Eds.; Academic Press: San Diego, CA, USA, 1995; Volume 43, pp. 291–334. [Google Scholar]
- Triboulet, R.; Siffert, P. CdTe and Related Compounds; Physics, Defects, Hetero- and Nano-Structures, Crystal Growth, Surfaces and Applications, Part. II: Crystal Growth, Surfaces and Applications, 1st ed.; Elsevier: Amsterdam, The Netherlands, 2010. [Google Scholar]
- Del Sordo, S.; Abbene, L.; Caroli, E.; Mancini, A.M.; Zappettini, A.; Ubertini, P. Progress in the development of CdTe and CdZnTe semiconductor radiation detectors for astrophysical and medical applications. Sensors 2009, 9, 3491–3526. [Google Scholar] [CrossRef]
- Takahashi, T.; Watanabe, S.; Ishikawa, S. High-resolution CdTe detectors and application to gamma-ray imaging. In Semiconductor Radiation Detection Systems; Taylor & Francis Group: New York, NY, USA, 2010; pp. 171–193. [Google Scholar]
- Shiraki, H.; Funaki, M.; Ando, Y.; Tachibana, A.; Kominami, S.; Ohno, R. THM growth and characterization of 100 mm diameter CdTe single crystals. IEEE Trans. Nucl. Sci. 2009, 56, 1717–1723. [Google Scholar] [CrossRef]
- Shiraki, H.; Funaki, M.; Ando, Y.; Kominami, S.; Amemiya, K.; Ohno, R. Improvement of the productivity in the THM growth of CdTe single crystal as nuclear radiation detector. IEEE Trans. Nucl. Sci. 2010, 57, 395–399. [Google Scholar] [CrossRef]
- Arkad’eva, E.N.; Matveev, O.A.; Ryvkin, S.M.; Rud’Yu, V. Possibility of using cadmium telluride for making n-p gamma detectors. Sov. Phys.–Tech. Phys. 1966, 11, 846–854. [Google Scholar]
- Toyama, H.; Nishihira, A.; Yamazato, M.; Higa, A.; Maehama, T.; Ohno, R.; Toguchi, M. Formation of aluminum Schottky contact on plasma-treated cadmium telluride surface. Jpn. J. Appl. Phys. 2004, 43, 6371–6375. [Google Scholar] [CrossRef]
- Principato, F.; Turturici, A.A.; Gallo, M.; Abbene, L. Polarization phenomena in Al/p-CdTe/Pt X-ray detectors. Nucl. Instrum. Methods Phys. Res. A 2013, 730, 141–145. [Google Scholar] [CrossRef]
- Vasylchenko, I.; Grill, R.; Betušiak, M.; Belas, E.; Praus, P.; Moravec, P.; Höschl, P. In and Al Schottky contacts comparison on p-type chlorine-doped CdTe. Sensors 2021, 21, 2783. [Google Scholar] [CrossRef] [PubMed]
- Kosyachenko, L.A.; Sklyarchuk, V.M.; Sklyarchuk, O.V.; Maslyanchuk, O.L. Band gap of CdTe and Cd0.9Zn0.1Te crystals. Semiconductors 2011, 45, 1273–1280. [Google Scholar] [CrossRef]
- Kosyachenko, L.A.; Aoki, T.; Maslyanchuk, O.L.; Melnychyk, S.V.; Sklyarchuk, V.M.; Sklyarchuk, O.V. Features of conduction mechanism of semi-insulating CdTe single crystals. Semiconductors 2010, 44, 699–704. [Google Scholar] [CrossRef]
- Kosyachenko, L.A.; Sklyarchuk, V.M.; Sklyarchuk, O.F.; Maslyanchuk, O.L.; Gnatyuk, V.A.; Aoki, T. Higher voltage Ni/CdTe Schottky diodes with low leakage current. IEEE Trans. Nucl. Sci. 2009, 56, 1827–1834. [Google Scholar] [CrossRef]
- Kosyachenko, L.A.; Aoki, T.; Lambropoulos, C.P.; Gnatyuk, V.A.; Sklyarchuk, V.M.; Maslyanchuk, O.L.; Grushko, E.V.; Sklyarchuk, O.F.; Koike, A. High energy resolution CdTe Schottky diode γ-ray detectors. IEEE Trans. Nucl. Sci. 2013, 60, 2845–2852. [Google Scholar] [CrossRef]
- Kosyachenko, L.A.; Aoki, T.; Lambropoulos, C.P.; Gnatyuk, V.A.; Melnychuk, S.V.; Sklyarchuk, V.M.; Grushko, E.V.; Maslyanchuk, O.L.; Sklyarchuk, O.F. Optimal width of barrier region in X/γ-ray Schottky diode detectors based on CdTe and CdZnTe. J. Appl. Phys. 2013, 113, 1–9. [Google Scholar] [CrossRef]
- Maslyanchuk, O.L.; Aoki, T.; Sklyarchuk, V.M.; Melnychuk, S.V.; Kosyachenko, L.A.; Grushko, E.V. High-efficiency cadmium telluride detectors of X γ-radiation. Ukr. J. Phys. 2014, 59, 17–33. [Google Scholar] [CrossRef]
- Maslyanchuk, O.; Kulchynsky, V.; Solovan, M.; Gnatyuk, V.; Potiriadis, C.; Kaissas, I.; Brus, V. Diodes based on semi-insulating CdTe crystals with Mo/MoOx contacts for X- and γ-ray detectors. Phys. Stat. Sol. C 2017, 14, 1–4. [Google Scholar]
- Maslyanchuk, O.L.; Solovan, M.M.; Brus, V.V.; Kulchynsky, V.V.; Maryanchuk, P.D.; Fodchuk, I.M.; Gnatyuk, V.A.; Aoki, T.; Potiriadis, C.; Kaissas, Y. Capabilities of CdTe-based detectors with MoOx contacts for detection of X/γ-ray radiation. IEEE Trans. Nucl. Sci. 2017, 64, 1168–1172. [Google Scholar] [CrossRef]
- Maslyanchuk, O.L.; Solovan, M.M.; Maistruk, E.V.; Brus, V.V.; Maryanchuk, P.D.; Gnatyuk, V.A.; Aoki, T. Prospects of In/CdTe X- and γ-ray detectors with MoO Ohmic contacts. Proc. SPIE 2018, 10612, 1–6. [Google Scholar]
- Maslyanchuk, O.; Solovan, M.; Brus, V.; Maryanchuk, P.; Maistruk, E.; Fodchuk, I.; Gnatyuk, V.; Aoki, T.; Lambropoulos, C.; Potiriadis, K. Performance comparison of X- and γ-ray CdTe detectors with MoOx, TiOx and TiN Schottky contacts. IEEE Trans. Nucl. Sci. 2018, 65, 1365–1370. [Google Scholar] [CrossRef]
- Brus, V.V.; Maslyanchuk, O.L.; Solovan, M.M.; Maryanchuk, P.D.; Fodchuk, I.M.; Gnatyuk, V.A.; Vakhnyak, N.D.; Melnychuk, S.V.; Aoki, T. Graphene/semi-insulating single crystal CdTe Schottky-type heterojunction X- and γ-ray radiation detectors. Sci. Rep. 2019, 9, 1065. [Google Scholar] [CrossRef]
- Maslyanchuk, O.; Solovan, M.; Brus, V.; Maryanchuk, P.; Maistruk, E.; Fodchuk, I.; Gnatyuk, V. Charge transport features of CdTe X- and γ-ray detectors with Ti and TiOx Schottky contacts. Nucl. Instrum. Methods Phys. Res. A 2021, 988, 1–8. [Google Scholar] [CrossRef]
- Lambropoulos, C.P.; Aoki, T.; Crocco, J.; Dieguez, E.; Disch, C.; Fauler, A.; Fiederle, M.; Hatzistratis, D.S.; Gnatyuk, V.A.; Karafasoulis, K.; et al. The COCAE detector: An instrument for localization-identification of radioactive sources. IEEE Trans. Nucl. Sci. 2011, 58, 2363–2370. [Google Scholar] [CrossRef]
- Gnatyuk, V.A.; Aoki, T.; Hatanaka, Y. Mechanisms of laser-induced defect formation and in doping in CdTe crystals. IEEE Trans. Nucl. Sci. 2004, 51, 2466–2471. [Google Scholar] [CrossRef]
- Aoki, T.; Ishida, Y.; Sakashita, D.; Gnatyuk, V.A.; Nakamura, A.; Tomita, Y.; Hatanaka, Y.; Temmyo, J. Development of energy discriminated CdTe imaging detector for hard x-ray. Proc. SPIE 2004, 5540, 196–205. [Google Scholar]
- Aoki, T.; Gnatyuk, V.A.; Nakamura, A.; Tomita, Y.; Hatanaka, Y.; Temmyo, J. Study of a CdTe high-energy radiation imaging device fabrication by excimer laser processing. Phys. Stat. Sol. C 2004, 1, 1050–1053. [Google Scholar] [CrossRef]
- Gnatyuk, V.A.; Aoki, T.; Hatanaka, Y.; Vlasenko, O.I. Defect formation in CdTe during laser-induced doping and application to the manufacturing nuclear radiation detectors. Phys. Stat. Sol. C 2006, 3, 1221–1224. [Google Scholar] [CrossRef]
- Gnatyuk, V.A.; Aoki, T.; Vlasenko, O.I.; Levytskyi, S.N.; Dauletmuratov, B.K.; Lambropoulos, C.P. Modification of the surface state and doping of CdTe and CdZnTe crystals by pulsed laser irradiation. Appl. Surf. Sci. 2009, 255, 9813–9816. [Google Scholar] [CrossRef]
- Aoki, T.; Gnatyuk, V.A.; Kosyachenko, L.A.; Maslyanchuk, O.L.; Grushko, E.V. Transport properties of CdTe X/γ-ray detectors with p-n junction. IEEE Trans. Nucl. Sci. 2011, 58, 354–358. [Google Scholar] [CrossRef]
- Gnatyuk, V.A.; Aoki, T.; Grushko, E.V.; Kosyachenko, L.A.; Vlasenko, O.I. High resolution CdTe X- and gamma-ray detectors with a laser-formed p-n junction. Proc. SPIE 2011, 8142, 81420B-1–7. [Google Scholar]
- Paudel, N.R.; Xiao, C.; Yan, Y. CdS/CdTe thin-film solar cells with Cu-free transition metal oxide/Au back contacts. Prog. Photovolt Res. Appl. 2015, 23, 437–442. [Google Scholar] [CrossRef]
- Lin, H.; Irfan, I.; Xia, W.; Wu, H.N.; Gao, Y.; Tang, C.W. MoOx back contact for CdS/CdTe thin film solar cells: Preparation, device characteristics, and stability. Sol. Energy Mater. Sol. Cells 2012, 99, 349. [Google Scholar] [CrossRef]
- Irfan, I.; Turinske, A.J.; Bao, Z.; Gao, Y. Work function recovery of air exposed molybdenum oxide thin films. Appl. Phys. Lett. 2012, 101, 1–4. [Google Scholar] [CrossRef]
- Zhu, J.; Yang, Y.; Gao, Y.; Qin, D.; Wu, H.; Hou, L.; Huang, W. Enhancement of open-circuit voltage and the fill factor in CdTe nanocrystal solar cells by using interface materials. Nanotechnology 2014, 25, 1–6. [Google Scholar] [CrossRef] [PubMed]
- Xue, H.; Wu, R.; Xie, Y.; Tan, Q.; Qin, D.; Wu, H.; Huang, W. Recent progress on solution-processed CdTe nanocrystals solar cells. Appl. Sci. 2016, 6, 197. [Google Scholar] [CrossRef]
- Liu, H.; Tian, Y.; Zhang, Y.; Gao, K.; Lu, K.; Wu, R.; Qin, D.; Wu, H.; Peng, Z.; Hou, L.; et al. Solution processed CdTe/CdSe nanocrystal solar cells with more than 5.5% efficiency by using an inverted device structure. J. Mater. Chem. C 2015, 3, 4227–4234. [Google Scholar] [CrossRef]
- Sah, C.-T.; Noyce, R.N.; Shokley, W. Carrier generation and recombination in p-n junctions and p-n junction characteristics. Proc. IRE 1957, 45, 1228–1243. [Google Scholar] [CrossRef]
- Kosyachenko, L.A.; Maslyanchuk, O.L.; Gnatyuk, V.A.; Lambropoulos, C.; Rarenko, I.M.; Sklyarchuk, V.M.; Sklyarchuk, O.F.; Zakharuk, Z.I. Charge collection properties of a CdTe Schottky diode for x- and γ-rays detectors. Semicond. Sci. Technol. 2008, 23, 1–8. [Google Scholar] [CrossRef]
- Kosyachenko, L.A.; Maslyanchuk, O.L.; Sklyarchuk, V.M. Special features of charge transport in Schottky diodes based on semi-insulating CdTe. Semiconductors 2005, 39, 722–729. [Google Scholar] [CrossRef]
- Yu, J.; Xu, L.; Zhang, B.; Zha, G.; Jie, W. On the current transport mechanism in metal–semiconductor–metal structured CdZnTe radiation detectors. Nucl. Instrum. Methods Phys. Res. A 2020, 957, 163445. [Google Scholar] [CrossRef]
- Kosyachenko, L.A.; Sklyarchuk, V.M.; Sklyarchuk, O.F.; Gnatyuk, V.A. Features of generation-recombination processes in CdTe-based Schottky diodes. Semicond. Sci. Technol. 2007, 22, 911–918. [Google Scholar] [CrossRef]
- Kosyachenko, L.A.; Maslyanchuk, O.L. Efficiency spectrum of a CdTe X- and γ-ray detector with a Schottky diode. Phys. Stat. Sol. C. 2005, 2, 1194–1199. [Google Scholar] [CrossRef]
- Sze, S.M.; Ng, K.K. Physics of Semiconductor Devices, 3rd ed.; John Wiley & Sons: Hoboken, NJ, USA, 2007. [Google Scholar]
- Lampert, M.A.; Mark, P. Current Injection in Solids; Academic Press: New York, NY, USA; London, UK, 1970. [Google Scholar]
- Zoul, A.; Klier, E. Space charge limited currents in high resistivity CdTe crystals. Czech. J. Phys. B 1977, 27, 789–796. [Google Scholar] [CrossRef]
- Frenkel, J. The theory of electric breakdown of dielectrics and electronic semiconductors. Tech. Phys. USSR 1938, 5, 685–695. [Google Scholar]
- Frenkel, J. On pre-breakdown phenomena in insulators and electronic semi-conductors. Phys. Rev. 1938, 54, 647–648. [Google Scholar] [CrossRef]
- Kosyachenko, L.A.; Yatskiv, R.; Yurtsenyuk, N.S.; Maslyanchuk, O.L.; Grym, J. Graphite/CdMnTe Schottky diodes and their electrical characteristics. Semicond. Sci. Technol. 2013, 29, 1–10. [Google Scholar] [CrossRef]
- Reese, M.O.; Perkins, C.L.; Burst, J.M.; Farrell, S.; Barnes, T.M.; Johnston, S.W.; Kuciauskas, D.; Gessert, T.A.; Metzger, W.K. Intrinsic surface passivation of CdTe. J. Appl. Phys. 2015, 118, 1–12. [Google Scholar] [CrossRef]
- Gnatyuk, D.V.; Poperenko, L.V.; Yurgelevych, I.V.; Dacenko, O.I.; Aoki, T. Characterization of functional layers of CdTe crystals subjected to different surface treatments. IEEE Trans. Nucl. Sci. 2015, 62, 428–432. [Google Scholar] [CrossRef]
- Gnatyuk, V.A.; Levytskyi, S.N.; Vlasenko, O.I.; Aoki, T. Laser-induced doping of CdTe crystals in different environments. Adv. Mater. Res. 2011, 222, 32–35. [Google Scholar] [CrossRef]
- Veleshchuk, V.P.; Baidullaeva, A.; Vlasenko, A.I.; Gnatyuk, V.A.; Dauletmuratov, B.K.; Levitskii, S.N.; Lyashenko, O.V.; Aoki, T. Mass transfer of indium in the In-CdTe structure under nanosecond laser irradiation. Phys. Solid State 2010, 52, 469–476. [Google Scholar] [CrossRef]
- Gnatyuk, V.A.; Vlasenko, A.I.; Mozol’, P.O.; Gorodnychenko, O.S. Role of laser-induced stress and shock waves in modification of the photoconductivity of CdxHg1−xTe films. Semicond. Sci. Technol. 1998, 13, 1298–1303. [Google Scholar] [CrossRef]
- Fochuk, P.; Panchuk, O.; Feychuk, P.; Shcherbak, L.; Savitskyi, A.; Parfenyuk, O.; Ilashchuk, M.; Hage-Ali, M.; Siffert, P. Indium dopant behaviour in CdTe single crystals. Nucl. Instrum. Methods Phys. Res. A 2001, 458, 104–112. [Google Scholar] [CrossRef]
- Liaw, I.-R.; Chol, K.-S.; Chang, S.-L. X-ray double-crystal diffraction studies of CdTe/GaAs heteroepitaxjal layers. J. Cryst. Growth 1990, 100, 508–514. [Google Scholar] [CrossRef]












| X/γ-ray Source | Anode/CdTe/Cathode | Bias Voltage (V) | FWHM (%) |
|---|---|---|---|
| 241Am (59.5 keV) | Mo-MoOx/p-CdTe/MoOx-Mo | −80 | 6 |
| Ti-TiOx/p-CdTe/MoOx-Mo | −100 | >20 | |
| Ti-TiN/p-CdTe/MoOx-Mo | −80 | 11 | |
| In/p-CdTe/MoOx-Mo | −100 | >25 | |
| 137Cs (662 keV) | Mo-MoOx/p-CdTe/MoOx-Mo | −100 | 7.9 |
| Ti-TiOx/p-CdTe/MoOx-Mo | −100 | 9 | |
| Ti-TiN/p-CdTe/MoOx-Mo | −100 | 10.1 | |
| In/p-CdTe/MoOx-Mo | −120 | 5.1 |
| X-ray Source | Bias Voltage (V) | ||
| −200 | −250 | −300 | |
| FWHM (%) | |||
| 241Am (59.5 keV) | 7.5 | 9.04 | 14.72 |
| 57Co (122 keV) | 4.79 | 5.62 | 6.19 |
| 137Cs (662 keV) | 1.6 | 2.1 | 2.7 |
Publisher’s Note: MDPI stays neutral with regard to jurisdictional claims in published maps and institutional affiliations. |
© 2021 by the authors. Licensee MDPI, Basel, Switzerland. This article is an open access article distributed under the terms and conditions of the Creative Commons Attribution (CC BY) license (https://creativecommons.org/licenses/by/4.0/).
Share and Cite
Gnatyuk, V.; Maslyanchuk, O.; Solovan, M.; Brus, V.; Aoki, T. CdTe X/γ-ray Detectors with Different Contact Materials. Sensors 2021, 21, 3518. https://doi.org/10.3390/s21103518
Gnatyuk V, Maslyanchuk O, Solovan M, Brus V, Aoki T. CdTe X/γ-ray Detectors with Different Contact Materials. Sensors. 2021; 21(10):3518. https://doi.org/10.3390/s21103518
Chicago/Turabian StyleGnatyuk, Volodymyr, Olena Maslyanchuk, Mykhailo Solovan, Viktor Brus, and Toru Aoki. 2021. "CdTe X/γ-ray Detectors with Different Contact Materials" Sensors 21, no. 10: 3518. https://doi.org/10.3390/s21103518
APA StyleGnatyuk, V., Maslyanchuk, O., Solovan, M., Brus, V., & Aoki, T. (2021). CdTe X/γ-ray Detectors with Different Contact Materials. Sensors, 21(10), 3518. https://doi.org/10.3390/s21103518

