A Hybrid SAR/ISAR Approach for Refocusing Maritime Moving Targets with the GF-3 SAR Satellite
Abstract
1. Introduction
- We use the DCT algorithm in the IROPE method to improve the SNR of the data and render the subsequent estimation more accurate, which also makes the data more consistent with the model of the ROPE method.
 - We avoid the averaging of phase vectors with different linear components and maximize the accuracy of the phase compensation by using the circular shift of the prominent point in each range bin to zero frequency to rationalize the initialization of the Doppler center.
 - Moreover, better estimates are obtained through iteration. Multiple iterative algorithms improve the SNR, which further improves the accuracy of the Doppler circular shift and the estimation of phase error.
 - The proposed method focuses the blurred images well and exhibits the superiority of robustness, reduced sidelobes, and suitability for various phase errors, which does not require time-consuming parameter adjustment procedures to achieve improved performance and allows a long coherent processing interval.
 
2. Moving Signal Model
2.1. SAR Signal Model
2.1.1. Analysis of Moving Echo Characteristics
2.1.2. Analysis of Moving Target Response
2.2. ISAR Signal Model
3. Improved Rank-One Phase Estimation Algorithm
3.1. Problems of the Rank-One Phase Estimation Algorithm
3.2. Principle of IROPE
| Algorithm 1: The IROPE algorithm for phase compensation | 
| Input: The range-aligned echo , , , number of iterations l, threshold value T | 
| 1: I. Preliminary Phase Compensation | 
| 2: for | 
| 3: | 
| 4: end | 
| 5: IV. Iteration | 
| 6: for (Image entropy is further applied to control the iteration process) | 
| 7: II. Two-step Convergence | 
| 8: III. Circular Shifting | 
| 9: while > T | 
| 10: for | 
| 11: Update calculated by Equation (19) | 
| 12: end | 
| 13: for | 
| 14: Update calculated by Equation (19) | 
| 15: end | 
| 16: | 
| 17: end while | 
| 18: | 
| 19: | 
| 20: end | 
| Output: Compensated range-Doppler echo , phase error | 
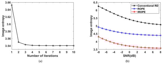
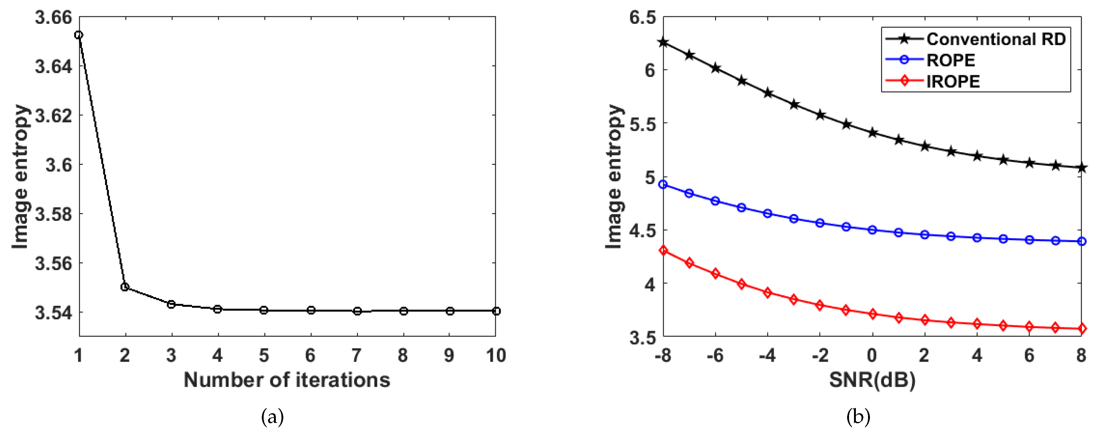
3.3. Performance of IROPE
3.4. The Whole Process of the Refocusing Method
4. Experiments and Performance Comparisons
4.1. Results of Spotlight Simulation
4.1.1. Ship Target with Velocity and Acceleration
4.1.2. Ship target with Translation and Rotation
4.2. Spaceborne SAR Data Experiments
4.2.1. Real Data Corrupted by Phase Error
4.2.2. Intrinsically Corrupted Real Data
5. Discussion
6. Conclusions
Author Contributions
Funding
Acknowledgments
Conflicts of Interest
References
- Moreira, A.; Prats-Iraola, P.; Younis, M.; Krieger, G.; Papathanassiou, K.P. A Tutorial on Synthetic Aperture Radar. IEEE Geosc. Rem. Sen. M. 2013, 1, 6–43. [Google Scholar] [CrossRef]
 - Rong, J.; Wang, Y.; Han, T. Iterative Optimization-Based ISAR Imaging With Sparse Aperture and Its Application in Interferometric ISAR Imaging. IEEE Sens. J. 2019, 19, 8681–8693. [Google Scholar] [CrossRef]
 - Noviello, C.; Fornaro, G.; Martorella, M.; Reale, D. IS. In Proceedings of the Geoscience and Remote Sens. Symposium (IGARSS), Quebec City, QC, Canada, 13–18 July 2014; pp. 926–929. [Google Scholar] [CrossRef]
 - Jiang, Y.; Wang, H. Hybrid SAR/ISAR imaging of ship targets based on parameter estimation. Remote Sens. Lett. 2017, 8, 657–666. [Google Scholar] [CrossRef]
 - Martorella, M.; Giusti, E.; Berizzi, F.; Bacci, A.; Mese, E.D. ISAR based techniques for refocusing non-cooperative targets in SAR images. IET Radar Sonar Navig. 2012, 6, 332–340. [Google Scholar] [CrossRef]
 - Chen, V.C.; Liu, B. Hybrid SAR/ISAR for distributed ISAR imaging of moving targets. In Proceedings of the 2015 IEEE Radar Conference (RadarCon), Arlington, VA, USA, 10–15 May 2015; pp. 658–663. [Google Scholar]
 - Sun, H.; Zhou, L.; Ma, J.; Liu, X. The hybrid SAR-ISAR imaging algorithm applied to SAR moving target imaging. In Proceedings of the 2012 9th International Conference on Fuzzy Systems and Knowledge Discovery, Sichuan, China, 29–31 May 2012; pp. 1985–1988. [Google Scholar] [CrossRef]
 - Kim, J.; Hwang, I.; Jo, H.; Kim, G.; Yoo, J.S.; Yu, J. Phase error compensation in fourier domain for fast autofocus of spotlight SAR. In Proceedings of the 2017 USNC-URSI Radio Science Meeting (Joint with AP-S Symposium), San Diego, CA, USA, 9–14 July 2017; pp. 31–32. [Google Scholar] [CrossRef]
 - Brown, W.M.; Palermo, C.J. Effects of Phase Errors on Resolution. IEEE Trans. Mil. Electron. 2007, 9, 4–9. [Google Scholar] [CrossRef]
 - Calloway, T.M.; Donohoe, G.W. Subaperture autofocus for synthetic aperture radar. IEEE Trans. Aerosp. Electron. Syst. 1994, 30, 617–621. [Google Scholar] [CrossRef]
 - Samczynski, P.; Kulpa, K. The use of the Coherent MapDrift technique for SAR image focusing on the sea surface. In Proceedings of the 2010 IEEE Radar Conference, Washington, DC, USA, 10–14 May 2010; pp. 816–820. [Google Scholar]
 - Koo, V.C.; Chan, Y.K.; Chuah, H.T. Multiple Phase Difference Method for Real-Time SAR Autofocus. J. Electromagn. Waves Appl. 2006, 20, 375–388. [Google Scholar] [CrossRef]
 - Pan, Z.; Fan, H.; Zhang, Z. Nonuniformly-Rotating Ship Refocusing in SAR Imagery Based on the Bilinear Extended Fractional Fourier Transform. Sensors 2020, 20, 550. [Google Scholar] [CrossRef]
 - Chen, Y.; Li, G.; Zhang, Q.; Sun, J. Refocusing of Moving Targets in SAR Images via Parametric Sparse Representation. Remote Sens. 2017, 9, 795. [Google Scholar] [CrossRef]
 - Wang, Y.; Jiang, Y. Inverse Synthetic Aperture Radar Imaging of Maneuvering Target Based on the Product Generalized Cubic Phase Function. IEEE Geosci. Remote Sens. Lett. 2011, 8, 958–962. [Google Scholar] [CrossRef]
 - Wan, J.; Zhou, Y.; Zhang, L.; Chen, Z.; Yu, H. Efficient Algorithm for SAR Refocusing of Ground Fast-Maneuvering Targets. Remote Sens. 2019, 11, 2214. [Google Scholar] [CrossRef]
 - Tang, X.; Zhang, X.; Shi, J.; Wei, S.; Tian, B. Ground Moving Target 2-D Velocity Estimation and Refocusing for Multichannel Maneuvering SAR with Fixed Acceleration. Sensors 2019, 19, 3695. [Google Scholar] [CrossRef] [PubMed]
 - Giusti, E.; Wei, Q.; Bacci, A.; Tomei, S.; Martorella, M. Super resolution ISAR imaging via Compressing Sensing. In Proceedings of the EUSAR 2014; 10th European Conference on Synthetic Aperture Radar, Berlin, Germany, 3–5 June 2014; pp. 1–4. [Google Scholar]
 - Zhao, L.; Wang, L.; Bi, G.; Yang, L. An Autofocus Technique for High-Resolution Inverse Synthetic Aperture Radar Imagery. IEEE Trans. Geosci. Remote Sens. 2014, 52, 6392–6403. [Google Scholar] [CrossRef]
 - Liu, Y.; Quan, Y.; Li, J.; Zhang, L.; Xing, M. SAR imaging of multiple ships based on compressed sensing. In Proceedings of the 2009 2nd Asian-Pacific Conference on Synthetic Aperture Radar, Xian, China, 26–30 October 2009; pp. 112–115. [Google Scholar] [CrossRef]
 - Zhang, Y.; Xing, M.; Ye, P. Joint Rotation Parameters Estimation and High Resolution Imaging for Maneuvering Targets. In Proceedings of the EUSAR 2018, 12th European Conference on Synthetic Aperture Radar, Aachen, Germany, 4–7 June 2018; pp. 1–3. [Google Scholar]
 - Jing, Y.; Li, Y. Moving target parameter estimation algorithm using contrast optimization. In Proceedings of the International Bhurban Conference on Applied Sciences and Technology, Islamabad, Pakistan, 12–16 January 2016. [Google Scholar]
 - Xi, L.; Guosui, L.; Ni, J. Autofocusing of ISAR images based on entropy minimization. IEEE Trans. Aerosp. Electron. Syst. 1999, 35, 1240–1252. [Google Scholar] [CrossRef]
 - Huang, X.; Ji, K.; Leng, X.; Dong, G.; Xing, X. Refocusing Moving Ship Targets in SAR Images Based on Fast Minimum Entropy Phase Compensation. Sensors 2019, 19, 1154. [Google Scholar] [CrossRef] [PubMed]
 - Hui, Y.; Wenying, W.; Long, Z.; Wanming, L.; Xin, N.; Pin, L. Improved weighted least-squares phase unwrapping method for interferometric SAR processing. J. Eng. 2019, 2019, 6471–6474. [Google Scholar] [CrossRef]
 - Morrison, R.L.; Do, M.N.; Munson, D.C. SAR image autofocus by sharpness optimization: A theoretical study. IEEE Trans. Image Process. 2007, 16, 2309–2321. [Google Scholar] [CrossRef]
 - Sommer, A.; Ostermann, J. Backprojection Subimage Autofocus of Moving Ships for Synthetic Aperture Radar. IEEE Trans. Geosci. Remote Sens. 2019, 57, 8383–8393. [Google Scholar] [CrossRef]
 - Ye, C.M.; Jia, X.; Peng, Y.N.; Wang, X.T. Improved Doppler centroid tracking for ISAR based on target extraction. In Proceedings of the 2008 IEEE Radar Conference, Rome, Italy, 26–30 May 2008. [Google Scholar]
 - Wahl, D.E.; Eichel, P.; Ghiglia, D.; Jakowatz, C. Phase gradient autofocus-a robust tool for high resolution SAR phase correction. IEEE Trans. Aerosp. Electron. Syst. 1994, 30, 827–835. [Google Scholar] [CrossRef]
 - Dyson, F.; Garwin, R.; Horowitz, P.; Katz, J.; Muller, R.; Press, W.; Weinberger, P. Recovery of SAR Images with One Dimension of Unknown Phases, Report No. JSR-91-175, DTIC AD-B164; The MITRE Corporation Jason Program Office: McLean, VA, USA, 1992.
 - Snarski, C.A. Rank one phase error estimation for range-Doppler imaging. IEEE Trans. Aerosp. Electron. Syst. 1996, 32, 676–688. [Google Scholar] [CrossRef]
 - Ji-Ming, Q.; Xu, H.Y.; Liang, X.D.; Li, Y.L. An Improved Phase Gradient Autofocus Algorithm Used in Real-time Processing. J. Radars 2015, 4, 600–607. [Google Scholar]
 - Gao, Y.; Xing, M.; Zhang, Z.; Guo, L. ISAR Imaging and Cross-Range Scaling for Maneuvering Targets by Using the NCS-NLS Algorithm. IEEE Sens. J. 2019, 19, 4889–4897. [Google Scholar] [CrossRef]
 - Han, B.; Ding, C.; Zhong, L.; Liu, J.; Qiu, X.; Hu, Y.; Lei, B. The GF-3 SAR Data Processor. Sensors 2018, 18, 835. [Google Scholar] [CrossRef]
 - Sun, J.; Yu, W.; Deng, Y. The SAR Payload Design and Performance for the GF-3 Mission. Sensors 2017, 17, 2419. [Google Scholar] [CrossRef] [PubMed]
 - Zheng, M.; Yan, H.; Zhang, L.; Yu, W.; Deng, Y.; Wang, R. Research on Strong Clutter Suppression for Gaofen-3 Dual-Channel SAR/GMTI. Sensors 2018, 18, 978. [Google Scholar] [CrossRef] [PubMed]
 - Quegan, S.; Carrara, W.G.; Goodman, R.S.; Majewski, R.M. Spotlight Synthetic Aperture Radar: Signal Processing Algorithms; Artech House: Boston, MA, USA; London, UK, 1995; 554p, ISBN 0-89006-634-5. [Google Scholar]
 - Cumming, I.G.; Wong, F.H. Digital Processing of Synthetic Aperture Radar Data: Algorithms and Implementation. Available online: https://pdfs.semanticscholar.org/23eb/33af4f0495edff01402ec8eb019e80717897.pdf (accessed on 20 March 2020).
 - Zheng, J.; Liu, H.; Liu, Z.; Liu, Q.H. ISAR Imaging of Ship Targets Based on an Integrated Cubic Phase Bilinear Autocorrelation Function. Sensors 2017, 17, 498. [Google Scholar] [CrossRef] [PubMed]
 - Xing, M.D.; Zheng, B.; Ming, Z.Y. Range Alignment Using Global Optimization Criterion in ISAR Imaging. Acta Electron. Sin. 2001, 29, 1807–1811. [Google Scholar]
 - Vehmas, R.; Jylha, J.; Vaila, M.; Vihonen, J.; Visa, A. Data-Driven Motion Compensation Techniques for Noncooperative ISAR Imaging. IEEE Trans. Aerosp. Electron. Syst. 2018, 54, 295–314. [Google Scholar] [CrossRef]
 - Rong, J.; Wang, Y.; Han, T. Interferometric ISAR Imaging of Maneuvering Targets With Arbitrary Three-Antenna Configuration. IEEE Trans. Geosci. Remote Sens. 2020, 58, 1102–1119. [Google Scholar] [CrossRef]
 - Zheng, J.; Su, T.; Zhang, L.; Zhu, W.; Liu, Q.H. ISAR Imaging of Targets With Complex Motion Based on the Chirp Rate Quadratic Chirp Rate Distribution. IEEE Trans. Geosci. Remote Sens. 2014, 52, 7276–7289. [Google Scholar] [CrossRef]
 - Martorella, M.; Berizzi, F.; Haywood, B. Contrast maximization based technique for 2-D ISAR autofocusing. IEE P-Radar Son. Nav. 2005, 152, 253–262. [Google Scholar] [CrossRef]
 - Wu, W.; Hu, P.; Xu, S.; Chen, Z.; Chen, J. Image registration for InISAR based on joint translational motion compensation. IET Radar Sonar Navig. 2017, 11, 1597–1603. [Google Scholar] [CrossRef]
 - Hajduch, G.; Le Caillec, J.; Garello, R. Airborne high-resolution ISAR imaging of ship targets at sea. IEEE Trans. Aerosp. Electron. Syst. 2004, 40, 378–384. [Google Scholar] [CrossRef]
 















| Parameter | Value | 
|---|---|
| Mode | Spotlight | 
| Radar Center Frequency (GHz) | 5.4 | 
| Wavelength (m) | 0.0555 | 
| Bandwidth (MHz) | 50 | 
| Azimuth Resolution (m) | 1.5 | 
| Range Resolution (m) | 2.6562 | 
| PRF (Hz) | 3125 | 
| Upsampled PRF (Hz) | 9950.2398 | 
| Upsampled Doppler Bandwidth (Hz) | 6188.7356 | 
| Slant-Range (m) | 1,067,731.2395 | 
| Synthetic Aperture Time (s) | 2.3342 | 
| SAR Velocity (m/s) | 7500 | 
| squint angle () | 0 | 
| Parameter | Value | 
|---|---|
| Mode | Spotlight | 
| Radar Center Frequency (GHz) | 5.400012 | 
| Bandwidth (MHz) | 240.000000 | 
| Azimuth Resolution (m) | 1 | 
| Range Resolution (m) | 0.6 | 
| PRF (Hz) | 3125.164062 | 
| Synthetic Aperture Time (s) | 8.58 | 
| Satellite Velocity (m/s) | 7570.962970 | 
| IQEMs | Corrupted image | MD | ROPE | IROPE | 
|---|---|---|---|---|
| Contrast increase | −4.08 | −3.86 | −0.47 | −0.09 | 
| Entropy reduction | −1.69 | −1.58 | −0.21 | 0.08 | 
| IP increase | −20.01 | −16.82 | −2.58 | 0.77 | 
| Ship | Ship1 | Ship2 | Ship3 | ||||||
|---|---|---|---|---|---|---|---|---|---|
| IQEMs | MD | ROPE | IROPE | MD | ROPE | IROPE | MD | ROPE | IROPE | 
| Contrast increase | 0.42 | 0.23 | 0.49 | 0.01 | 0.01 | 0.02 | 0.23 | −0.12 | 0.93 | 
| Entropy reduction | 0.40 | 0.25 | 0.47 | 0.16 | 0.15 | 0.24 | 0.20 | −0.02 | 0.47 | 
| IP increase | 6.08 | 5.21 | 6.78 | 3.05 | 2.60 | 4.82 | 4.18 | 1.53 | 4.69 | 
| Works | Schemes | Application | Phase Error Estimation | Accuracy | 
|---|---|---|---|---|
| MD | Sub-aperture correlation | Limited | Unsatisfactory | Unsatisfactory | 
| ROPE | Two-step convergence | Limited | Unsatisfactory | Unsatisfactory | 
| IROPE | Preprocessing+ Circular Shifting +Two-step convergence+Iteration  | Wide | Good | Good | 
© 2020 by the authors. Licensee MDPI, Basel, Switzerland. This article is an open access article distributed under the terms and conditions of the Creative Commons Attribution (CC BY) license (http://creativecommons.org/licenses/by/4.0/).
Share and Cite
Yan, Z.; Zhang, Y.; Zhang, H. A Hybrid SAR/ISAR Approach for Refocusing Maritime Moving Targets with the GF-3 SAR Satellite. Sensors 2020, 20, 2037. https://doi.org/10.3390/s20072037
Yan Z, Zhang Y, Zhang H. A Hybrid SAR/ISAR Approach for Refocusing Maritime Moving Targets with the GF-3 SAR Satellite. Sensors. 2020; 20(7):2037. https://doi.org/10.3390/s20072037
Chicago/Turabian StyleYan, Zhishuo, Yi Zhang, and Heng Zhang. 2020. "A Hybrid SAR/ISAR Approach for Refocusing Maritime Moving Targets with the GF-3 SAR Satellite" Sensors 20, no. 7: 2037. https://doi.org/10.3390/s20072037
APA StyleYan, Z., Zhang, Y., & Zhang, H. (2020). A Hybrid SAR/ISAR Approach for Refocusing Maritime Moving Targets with the GF-3 SAR Satellite. Sensors, 20(7), 2037. https://doi.org/10.3390/s20072037
        
