Effect of Deep-Level Defects on the Performance of CdZnTe Photon Counting Detectors
Abstract
1. Introduction
2. Experimental Section
3. Results and Discussion
3.1. X-ray Photon Counting Performance
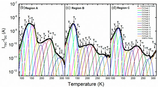
3.2. Deep-Level Defect Characteristics
4. Conclusions
Author Contributions
Funding
Acknowledgments
Conflicts of Interest
References
- Schlesinger, T.; Toney, J.; Yoon, H.; Lee, E.; Brunett, B.; Franks, L.; James, R. Cadmium zinc telluride and its use as a nuclear radiation detector material. Mater. Sci. Eng. R Rep. 2001, 32, 103–189. [Google Scholar] [CrossRef]
- James, R.; Brunett, B.; Heffelfinger, J.; Van Scyoc, J.; Lund, J.; Doty, F.; Lingren, C.; Olsen, R.; Cross, E.; Hermon, H. Material properties of large-volume cadmium zinc telluride crystals and their relationship to nuclear detector performance. J. Electron. Mater. 1998, 27, 788–799. [Google Scholar] [CrossRef]
- Fiederle, M.; Feltgen, T.; Meinhardt, J.; Rogalla, M.; Benz, K. State of the art of (Cd, Zn) Te as gamma detector. J. Cryst. Growth 1999, 197, 635–640. [Google Scholar] [CrossRef]
- Del Sordo, S.; Abbene, L.; Caroli, E.; Mancini, A.M.; Zappettini, A.; Ubertini, P. Progress in the development of CdTe and CdZnTe semiconductor radiation detectors for astrophysical and medical applications. Sensors 2009, 9, 3491–3526. [Google Scholar] [CrossRef]
- Shikhaliev, P.M. Energy-resolved computed tomography: First experimental results. Phys. Med. Biol. 2008, 53, 5595. [Google Scholar] [CrossRef]
- Schlomka, J.; Roessl, E.; Dorscheid, R.; Dill, S.; Martens, G.; Istel, T.; Bäumer, C.; Herrmann, C.; Steadman, R.; Zeitler, G. Experimental feasibility of multi-energy photon-counting K-edge imaging in pre-clinical computed tomography. Phys. Med. Biol. 2008, 53, 4031. [Google Scholar] [CrossRef]
- Cajipe, V.B.; Calderwood, R.F.; Clajus, M.; Hayakawa, S.; Jayaraman, R.; Tumer, T.; Grattan, B.; Yossifor, O. Multi-Energy X-ray Imaging with Linear CZT Pixel Arrays and Integrated Electronics. In Proceedings of the IEEE Symposium Conference Record Nuclear Science 2004, Rome, Italy, 16–22 October 2004; pp. 4548–4551. [Google Scholar]
- Strassburg, M.; Schroeter, C.; Hackenschmied, P. CdTe/CZT under high flux irradiation. J. Instrum. 2011, 6, C01055. [Google Scholar] [CrossRef]
- Overdick, M.; Baumer, C.; Engel, K.J.; Fink, J.; Herrmann, C.; Kruger, H.; Simon, M.; Steadman, R.; Zeitler, G. Status of direct conversion detectors for medical imaging with X-rays. IEEE Trans. Nucl. Sci. 2009, 56, 1800–1809. [Google Scholar] [CrossRef]
- Prokesch, M.; Soldner, S.A.; Sundaram, A.G.; Reed, M.D.; Li, H.; Eger, J.F.; Reiber, J.L.; Shanor, C.L.; Wray, C.L.; Emerick, A.J. CdZnTe Detectors Operating at X-ray Fluxes of 100 Million /(mm 2 sec). IEEE Trans. Nucl. Sci. 2016, 63, 1854–1859. [Google Scholar] [CrossRef]
- Thomas, B.; Veale, M.; Wilson, M.; Seller, P.; Schneider, A.; Iniewski, K. Characterisation of Redlen high-flux CdZnTe. J. Instrum. 2017, 12, C12045. [Google Scholar] [CrossRef]
- Pekárek, J.; Dědič, V.; Franc, J.; Belas, E.; Rejhon, M.; Moravec, P.; Touš, J.; Voltr, J. Infrared LED Enhanced Spectroscopic CdZnTe Detector Working under High Fluxes of X-rays. Sensors 2016, 16, 1591. [Google Scholar] [CrossRef] [PubMed]
- Zázvorka, J.; Pekárek, J.; Grill, R.; Belas, E.; Ridzoňová, K.; Pipek, J.; Franc, J. Inhomogeneous resistivity and its effect on CdZnTe-based radiation detectors operating at high radiation fluxes. J. Phys. D Appl. Phys. 2019, 52, 325109. [Google Scholar] [CrossRef]
- Bale, D.S.; Soldner, S.A.; Szeles, C. A mechanism for dynamic lateral polarization in CdZnTe under high flux x-ray irradiation. Appl. Phys. Lett. 2008, 92, 082101. [Google Scholar] [CrossRef]
- Bale, D.S.; Szeles, C. Nature of polarization in wide-bandgap semiconductor detectors under high-flux irradiation: Application to semi-insulating Cd1−xZnx Te. Phys. Rev. B 2008, 77, 035205. [Google Scholar] [CrossRef]
- Szeles, C.; Soldner, S.A.; Vydrin, S.; Graves, J.; Bale, D.S. Ultra high flux 2-D CdZnTe monolithic detector arrays for x-ray imaging applications. IEEE Trans. Nucl. Sci. 2007, 54, 1350–1358. [Google Scholar] [CrossRef]
- Li, Y.; Zha, G.; Guo, Y.; Xi, S.; Xu, L.; Jie, W. Investigation on X-Ray Photocurrent Response of CdZnTe Photon Counting Detectors. Sensors 2020, 20, 383. [Google Scholar] [CrossRef]
- Rejhon, M.; Franc, J.; Dědič, V.; Kunc, J.; Grill, R. Analysis of trapping and de-trapping in CdZnTe detectors by Pockels effect. J. Phys. D Appl. Phys. 2016, 49, 375101. [Google Scholar] [CrossRef]
- Franc, J.; Dědič, V.; Zázvorka, J.; Hakl, M.; Grill, R.; Sellin, P. Flux-dependent electric field changes in semi-insulating CdZnTe. J. Phys. D Appl. Phys. 2013, 46, 235306. [Google Scholar] [CrossRef]
- Dědič, V.; Rejhon, M.; Franc, J.; Musiienko, A.; Grill, R. Space charge oscillations in semi-insulating CdZnTe. Appl. Phys. Lett. 2017, 111, 102104. [Google Scholar] [CrossRef]
- Cavallini, A.; Fraboni, B.; Dusi, W.; Zanarini, M.; Siffert, P. Deep levels and compensation in γ-irradiated CdZnTe. Appl. Phys. Lett. 2000, 77, 3212–3214. [Google Scholar] [CrossRef]
- Zha, G.; Yang, J.; Xu, L.; Feng, T.; Wang, N.; Jie, W. The effects of deep level traps on the electrical properties of semi-insulating CdZnTe. J. Appl. Phys. 2014, 115, 043715. [Google Scholar] [CrossRef]
- Yang, F.; Jie, W.; Zha, G.; Xi, S.; Wang, M.; Wang, T. The Effect of Indium Doping on Deep Level Defects and Electrical Properties of CdZnTe. J. Electron. Mater. 2020, 49, 1243–1248. [Google Scholar] [CrossRef]
- Horodyský, P.; Franc, J.; Grill, R.; Hlídek, P.; Moravec, P.; Bok, J.; Höschl, P. Mapping of zinc content in Cd1−xZnxTe by optical methods. J. Electron. Mater. 2006, 35, 1491–1494. [Google Scholar] [CrossRef]
- Hildebrandt, S.; Uniewski, H.; Schreiber, J.; Leipner, H. Localization of Y luminescence at glide dislocations in cadmium telluride. J. Phys. III 1997, 7, 1505–1514. [Google Scholar] [CrossRef]
- Jain, S. Photoluminescence Study of Cadmium Zinc Telluride. Master’s Thesis, Eberly College of Arts and Sciences, Morgantown, WV, USA, 2001. [Google Scholar]
- Gul, R.; Roy, U.; James, R. An analysis of point defects induced by In, Al, Ni, and Sn dopants in Bridgman-grown CdZnTe detectors and their influence on trapping of charge carriers. J. Appl. Phys. 2017, 121, 115701. [Google Scholar] [CrossRef]
- Pavlović, M.; Desnica, U.V.; Gladić, J. Complete set of deep traps in semi-insulating GaAs. J. Appl. Phys. 2000, 88, 4563–4570. [Google Scholar] [CrossRef]
- Pavlović, M.; Jakšić, M.; Zorc, H.; Medunić, Z. Identification of deep trap levels from thermally stimulated current spectra of semi-insulating CdZnTe detector material. J. Appl. Phys. 2008, 104, 023525. [Google Scholar] [CrossRef]
- Hofmann, D.; Omling, P.; Grimmeiss, H.; Meyer, B.; Benz, K.; Sinerius, D. Identification of the chlorine A center in CdTe. Phys. Rev. B 1992, 45, 6247. [Google Scholar] [CrossRef]
- Szeles, C.; Shan, Y.; Lynn, K.; Moodenbaugh, A.; Eissler, E. Trapping properties of cadmium vacancies in Cd1−xZnxTe. Phys. Rev. B 1997, 55, 6945. [Google Scholar] [CrossRef]
- Soundararajan, R.; Lynn, K.G. Effects of excess tellurium and growth parameters on the band gap defect levels in CdxZn1−xTe. J. Appl. Phys. 2012, 112, 073111. [Google Scholar] [CrossRef]
- Castaldini, A.; Cavallini, A.; Fraboni, B.; Fernandez, P.; Piqueras, J. Deep energy levels in CdTe and CdZnTe. J. Appl. Phys. 1998, 83, 2121–2126. [Google Scholar] [CrossRef]
- Wei, S.-H.; Zhang, S. Chemical trends of defect formation and doping limit in II-VI semiconductors: The case of CdTe. Phys. Rev. B 2002, 66, 155211. [Google Scholar] [CrossRef]
- Soundararajan, R.; Lynn, K.G.; Awadallah, S.; Szeles, C.; Wei, S.-H. Study of defect levels in CdTe using thermoelectric effect spectroscopy. J. Electron. Mater. 2006, 35, 1333–1340. [Google Scholar] [CrossRef]
- Larsen, T.; Vorotto, C.; Stevenson, D. Electrical Transport and Photoelectronic Properties of ZnTe: Al Crystals. J. Appl. Phys. 1972, 43, 172–182. [Google Scholar] [CrossRef]
- Cavallini, A.; Fraboni, B.; Chirco, P.; Morigi, M.; Zanarini, M.; Auricchio, N.; Caroli, E.; Dusi, W.; Fougeres, P.; Hage-Ali, M. Electronic properties of traps induced by γ-irradiation in CdTe and CdZnTe detectors. Nucl. Instrum. Methods Phys. Res. Sect. A Accel. Spectrometers Detect. Assoc. Equip. 2000, 448, 558–566. [Google Scholar] [CrossRef]








| Trap | Ea/eV | Region A | Region B | Region C | Origins | |||
|---|---|---|---|---|---|---|---|---|
| σ/cm2 | NT /cm−3 | σ/cm2 | NT /cm−3 | σ/cm2 | NT /cm−3 | Possible Defect Type | ||
| T1 | 0.106~0.107 | 7.00 × 10−21 | 8.20 × 1013 | 2.00 × 10−21 | 3.22 × 1014 ↑ | 2.00 × 10−21 | 6.40 × 1014↑ | A center [29,30,31] | 
| T2 | 0.154~0.159 | 3.75 × 10−19 | 1.23 × 1015 | 2.50 × 10−20 | 3.28 × 1015→ | 6.40 × 10−20 | 1.38 × 1015→ | Dislocation [32] related | 
| T3 | 0.174~0.179 | 6.40 × 10−20 | 3.03 × 1015 | 1.20 × 10−20 | 8.00 × 1015→ | 2.80 × 10−20 | 3.50 × 1015→ | OTe−Vcd−/2− [34] | 
| T4 | 0.23~0.235 | 1.02 × 10−18 | 6.20 × 1015 | 4.10 × 10−19 | 1.10 × 1015↓ | 1.02 × 10−18 | 8.50 × 1014↓ | Vcd−/2− [35] | 
| T5 | 0.261~0.265 | 2.14 × 10−18 | 5.84 × 1015 | 3.14 × 10−18 | 1.00 × 1014↓ | 5.14 × 10−18 | 2.50 × 1014↓ | Zn related [36] | 
| T6 | 0.294~0.299 | 3.90 × 10−18 | 3.19 × 1015 | 5.90 × 10−18 | 9.50 × 1013↓ | 5.90 × 10−18 | 7.00 × 1013↓ | Neutron radiation [37] related | 
| T7 | 0.32~0.325 | 1.89 × 10−18 | 3.20 × 1014 | 2.89 × 10−18 | 1.55 × 1014↓ | 2.89 × 10−18 | 8.00 × 1013↓ | TeCd complex [33] | 
| T8 | 0.39~0.392 | 1.43 × 10−17 | 2.85 × 1014 | 2.60 × 10−17 | 1.80 × 1014↓ | 1.93 × 10−17 | 9.00 × 1013↓ | Vcd [29] | 
| T9 | 0.398~0.402 | 1.79 × 10−18 | 4.70 × 1014 | 3.95 × 10−18 | 2.50 × 1014→ | 2.79 × 10−18 | 2.00 × 1014→ | Tecd0/+ [29] | 
| T10 | 0.45~0.452 | 2.00 × 10−18 | 6.90 × 1014 | 6.92 × 10−18 | 2.00 × 1014↓ | 4.00 × 10−18 | 8.50 × 1013↓ | Vcd2− [31] | 
| T11 | 0.5~0.52 | 6.50 × 10−18 | 3.00 × 1014 | 1.50 × 10−17 | 7.80 × 1013↓ | 8.50 × 10−18 | 5.80 × 1013↓ | Cl related [29] | 
| T12 | 0.57~0.59 | 4.40 × 10−17 | 6.00 × 1013 | 5.40 × 10−17 | 4.50 × 1013↓ | 4.90 × 10−17 | 8.50 × 1012↓ | Tecd++ [34] | 
| T13 | 0.618~0.622 | 3.16 × 10−17 | 4.20 × 1013 | 1.80 × 10−17 | 4.70 × 1013→ | 3.16 × 10−17 | 3.20 × 1013→ | Cdi++ [33] | 
| T14 | 0.638~0.642 | 2.50 × 10−17 | 3.20 × 1013 | 6.00 × 10−18 | 7.00 × 1013↑ | 8.50 × 10−18 | 3.00 × 1014↑ | Tei [34] | 
© 2020 by the authors. Licensee MDPI, Basel, Switzerland. This article is an open access article distributed under the terms and conditions of the Creative Commons Attribution (CC BY) license (http://creativecommons.org/licenses/by/4.0/).
Share and Cite
Li, Y.; Zha, G.; Wei, D.; Yang, F.; Dong, J.; Xi, S.; Xu, L.; Jie, W. Effect of Deep-Level Defects on the Performance of CdZnTe Photon Counting Detectors. Sensors 2020, 20, 2032. https://doi.org/10.3390/s20072032
Li Y, Zha G, Wei D, Yang F, Dong J, Xi S, Xu L, Jie W. Effect of Deep-Level Defects on the Performance of CdZnTe Photon Counting Detectors. Sensors. 2020; 20(7):2032. https://doi.org/10.3390/s20072032
Chicago/Turabian StyleLi, Yingrui, Gangqiang Zha, Dengke Wei, Fan Yang, Jiangpeng Dong, Shouzhi Xi, Lingyan Xu, and Wanqi Jie. 2020. "Effect of Deep-Level Defects on the Performance of CdZnTe Photon Counting Detectors" Sensors 20, no. 7: 2032. https://doi.org/10.3390/s20072032
APA StyleLi, Y., Zha, G., Wei, D., Yang, F., Dong, J., Xi, S., Xu, L., & Jie, W. (2020). Effect of Deep-Level Defects on the Performance of CdZnTe Photon Counting Detectors. Sensors, 20(7), 2032. https://doi.org/10.3390/s20072032
 
        

 
       