Validation and Comparison of Water Quality Products in Baltic Lakes Using Sentinel-2 MSI and Sentinel-3 OLCI Data
Abstract
1. Introduction
2. Materials and Methods
2.1. In-Situ Data
- (1)
- Lake Razna is the second biggest lake in Latvia by area (57.6 km2) and the largest by water volume (0.46 km3) with a clear oligotrophic water [35]; where SD was measured at 3.2–6.6 m with median 5.5 m, the Chl-a was 1.4–10.9 mg m−3 with median 6.4 mg m−3, during 2018.
- (2)
- Lake Lubans is a shallow, eutrophic, and macrophyte-dominated lake, where the water level is artificially regulated, in a way that the surface area of the lake can fluctuate from 25 to 100 km2 [35]. Our measured SD varied from 0.4–1.2 m with median 0.9 m, and the Chl-a was 8.6–63.1 mg m−3 with median 16.8 mg m−3.
- (3)
- Lake Burtnieks is a shallow, eutrophic, and CDOM dominated northern Latvian lake with surface area 40.2 km2 [35], where the SD values are similar to Lake Lubans, 0.4–1.2 m with median 1 m, and the Chl-a was 6.7–117.1 mg m−3 with median 19.1 mg m−3.
- (4)
- Lake Võrtsjärv is a second largest (270 km2) lake in Estonia. It is a large, shallow, very turbid, and eutrophic lake [36]. The measured SD was 0.5–0.1 m with a median 0.6 m, and the Chl-a was 22.2–63.8 mg m−3 with median 33.1 mg m−3 in 2018.
- The spectrophotometric determination of Chl-a, where water sample aliquots were passed through 47 mm Whatman (Whatman plc., Maidstone, UK) glass microfiber filters with pore size 0.7 µm (GF/F), ethanol extracted, and then measured spectrophotometrically at 665 nm with a U-3010 laboratory spectrophotometer (Hitachi High-Technologies Corporation, Tokyo, Japan).
- Gravimetrically determined TSM, where pre-weighed and pre-combusted 47 mm Whatman GF/F glass microfiber filters were heated at 105 °C for 1 h.
- Determining the spectral absorption coefficients of CDOM using a U-3010 laboratory spectrophotometer (Hitachi High-Technologies Corporation) on samples prepared by successive filtrations through 47 mm Whatman GF/F filters and Nucleopore 0.2 µm filter paper.
2.2. Satellite Data
2.3. Classification of OWT
2.4. Statistical and Performance Measures Used in the Study
3. Results
3.1. In-Situ Water Quality Parameters
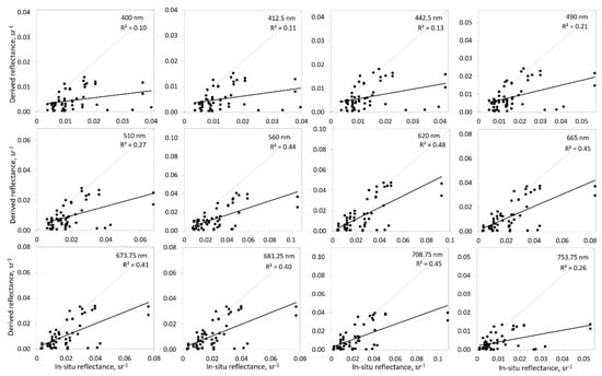
3.2. Reflectance Spectra
3.3. Optical Water Types (OWTs)
3.4. Chlorophyll-a (Chl-a)
3.5. Total Suspended Matter (TSM)
3.6. Colored Dissolved Organic Matter (CDOM)
3.7. Secchi Depth (SD)
4. Discussion
5. Conclusions
Author Contributions
Funding
Acknowledgments
Conflicts of Interest
Appendix A

Appendix B



References
- Williamson, C.E.; Saros, J.E.; Vincent, W.F.; Smol, J.P. Lakes and reservoirs as sentinels, integrators, and regulators of climate change. Limnol. Oceanogr. 2009, 54, 2273–2282. [Google Scholar] [CrossRef]
- Tranvik, L.J.; Downing, J.A.; Cotner, J.B.; Loiselle, S.A.; Striegl, R.G.; Ballatore, T.J.; Dillon, P.; Finlay, K.; Fortino, K.; Knoll, L.B.; et al. Lakes and impoundments as regulators of carbon cycling and climate. Limnol. Oceanogr. 2009, 54, 2298–2314. [Google Scholar] [CrossRef]
- The European Parliament; The Council of the European Union. WFD Directive 2000/60/EC of the European Parliament and of the Council of 23 October 2000 establishing a framework for Community action in the field of water policy. Off. J. Eur. Parliam. 2000, 372, 275–346. [Google Scholar]
- Ogashawara, I.; Mishra, D.R.; Gitelson, A.A. Remote Sensing of Inland Waters: Background and Current State-of-the-Art. In Bio-Optical Modeling and Remote Sensing of Inland Waters; Mishra, D.R., Ogashawara, I., Gitelson, A.A., Eds.; Elsevier Inc.: Amsterdam, The Netherlands, 2017; pp. 1–24. [Google Scholar]
- Codd, G.A. Cyanobacterial toxins, the perception of water quality, and the prioritization of eutrophication control. Ecol. Eng. 2000, 16, 5160. [Google Scholar] [CrossRef]
- Matthews, M.W. Bio-optical Modeling of Phytoplankton Chlorophyll-a. In Bio-Optical Modeling and Remote Sensing of Inland Waters; Mishra, D.R., Ogashawara, I., Gitelson, A.A., Eds.; Elsevier Inc.: Amsterdam, The Netherlands, 2017; pp. 157–188. [Google Scholar]
- Gustafsson, Ö.; Gschwend, P.M. Aquatic colloids: Concepts, definitions, and current challenges. Limnol. Oceanogr. 1997, 42, 519528. [Google Scholar] [CrossRef]
- Giardino, C.; Bresciani, M.; Braga, F.; Cazzaniga, I.; Keukelaere, L.; Knaeps, E.; Brando, V.E. Bio-optical Modeling of Total Suspended Solids. In Bio-Optical Modeling and Remote Sensing of Inland Waters; Mishra, D.R., Ogashawara, I., Gitelson, A.A., Eds.; Elsevier Inc.: Amsterdam, The Netherlands, 2017; pp. 129–156. [Google Scholar]
- Kutser, T.; Pierson, D.C.; Kallio, K.Y.; Reinart, A.; Sobek, S. Mapping lake CDOM by satellite remote sensing. Remote Sens. Environ. 2005, 94, 535–540. [Google Scholar] [CrossRef]
- Kutser, T.; Verpoorter, C.; Paavel, B.; Tranvik, L.J. Estimating lake carbon fractions from remote sensing data. Remote Sens. Environ. 2015, 157, 138–146. [Google Scholar] [CrossRef]
- Kutser, T.; Koponen, S.; Kallio, K.; Fincke, T.; Paavel, B. Bio-optical Modeling of Colored Dissolved Organic Matter. In Bio-Optical Modeling and Remote Sensing of Inland Waters; Mishra, D.R., Ogashawara, I., Gitelson, A.A., Eds.; Elsevier Inc.: Amsterdam, The Netherlands, 2017; pp. 101–128. [Google Scholar]
- Kutser, T.; Paavel, B.; Verpoorter, C.; Ligi, M.; Soomets, T.; Toming, K.; Casal, G. Remote Sensing of Black Lakes and Using 810 nm Reflectance Peak for Retrieving Water Quality Parameters of Optically Complex Waters. Remote Sens. 2016, 8, 497. [Google Scholar] [CrossRef]
- Wetzel, R.G. Limnology. Lake and River Ecosystems, 3rd ed.; Academic Press: San Diego, CA, USA, 2001. [Google Scholar]
- Arst, H.; Kutser, T. Data processing and Interpretation of the Radiance Factor Measurements. Polar Res. 1994, 13, 3–12. [Google Scholar] [CrossRef]
- Olmanson, L.G.; Bauer, M.E.; Brezonik, P.L. A 20-year Landsat water clarity census of Minnesota’s 10,000 lakes. Remote Sens. Environ. 2008, 112, 4086–4097. [Google Scholar] [CrossRef]
- Alikas, K.; Krazer, S. Improved retrieval of Secchi depth for optically-complex waters using remote sensing data. Ecol. Indic. 2017, 77, 218–227. [Google Scholar] [CrossRef]
- Copernicus. Available online: www.copernicus.eu (accessed on 11 October 2019).
- ESA Sentinel Online, Sentinel-2. Available online: sentinel.esa.int/web/sentinel/missions/sentinel-2 (accessed on 12 October 2019).
- ESA Sentinel Online, Sentinel-3. Available online: sentinel.esa.int/web/sentinel/missions/sentinel-3 (accessed on 12 October 2019).
- Globolakes. Global Observatory of Lake Responses to Environmental Change. Available online: www.globolakes.ac.uk (accessed on 25 November 2019).
- Verpoorter, C.; Kutser, T.; Seekell, D.; Tranvik, L. A Global Inventory of Lakes Based on High-Resolution Satellite Imagery. Geophys. Res. Let. 2014, 41, 6396–6402. [Google Scholar] [CrossRef]
- Dörnhöfer, K.; Oppelt, N. Remote sensing for lake research and monitoring-Recent advances. Ecol. Indic. 2016, 64, 105–122. [Google Scholar] [CrossRef]
- Schaeffer, B.A.; Schaeffer, K.G.; Keith, D.J.; Lunetta, R.S.; Conmy, R.; Gould, R.W. Barriers to adopting satellite remote sensing for water quality management. Int. J. Remote Sens. 2013, 34, 7534–7544. [Google Scholar] [CrossRef]
- Palmer, S.C.; Kutser, T.; Hunter, P.D. Remote sensing of inland waters: Challenges, progress and future directions. Remote Sens. Environ. 2015, 157, 1–8. [Google Scholar] [CrossRef]
- Le, C.; Li, Y.; Zha, Y.; Sun, D.; Huang, C.; Zhang, H. Remote estimation of chlorophyll a in optically complex waters based on optical classification. Remote Sens. Environ. 2011, 115, 725–737. [Google Scholar] [CrossRef]
- Shi, K.; Li, Y.; Zhang, Y.; Li, L.; Lv, H.; Song, K. Classification of inland waters based on bio-optical properties. J. Sel. Top. Appl. Earth Obs. Remote Sens. 2014, 7, 543–561. [Google Scholar]
- Shen, Q.; Li, J.; Zhang, F.; Sun, X.; Li, J.; Li, W.; Zhang, B. Classification of several optically complex waters in China using in situ remote sensing reflectance. Remote Sens. 2015, 7, 14731–14756. [Google Scholar] [CrossRef]
- Spyrakos, E.; O’Donnell, R.; Hunter, P.; Miller, C.; Scott, M.; Simis, S.; Neil, C.; Barbosa, C.; Binding, C.; Bradt, S.; et al. Optical types of inland and coastal waters. Limnol. Oceanogr. 2018, 63, 846–870. [Google Scholar] [CrossRef]
- Uudeberg, K.; Ansko, I.; Põru, G.; Ansper, A.; Reinart, A. Using Optical Water Types to Monitor Changes in Optically Complex Inland and Coastal Waters. Remote Sens. 2019, 11, 2297. [Google Scholar] [CrossRef]
- Copernicus Global Land Service. Available online: land.copernicus.eu/global/products/lwq (accessed on 25 November 2019).
- Toming, K.; Kutser, T.; Laas, A.; Sepp, M.; Paavel, B.; Nõges, T. First Experiences in Mapping Lake Water Quality Parameters with Sentinel-2 MSI Imagery. Remote Sens. 2016, 8, 640. [Google Scholar] [CrossRef]
- Ansper, A.; Alikas, K. Retrieval of Chlorophyll a from Sentinel-2 MSI Data for the European Union Water Framework Directive Reporting Purposes. Remote Sens. 2019, 11, 64. [Google Scholar] [CrossRef]
- Molkov, A.A.; Fedorov, S.V.; Pelevin, V.V.; Korchemkina, E.N. Regional Models for High-Resolution Retrieval of Chlorophyll a and TSM Concentrations in the Gorky Reservoir by Sentinel-2 Imagery. Remote Sens. 2019, 11, 1215. [Google Scholar] [CrossRef]
- Zeng, C.; Binding, C. The Effect of Mineral Sediments on Satellite Chlorophyll-a Retrievals from Line-Height Algorithms Using Red and Near-Infrared Bands. Remote Sens. 2019, 11, 2306. [Google Scholar] [CrossRef]
- Ezeri.lv. Available online: www.ezeri.lv (accessed on 5 February 2019).
- Mäemets, A. Eesti NSV Järved ja Nende Kaitse; Valgus: Tallinn, Estonia, 1977. [Google Scholar]
- European Commission; Joint Research Centre (European Commission). Manual for Monitoring European Lakes Using Remote Sensing Techniques; Lindell, T., Pierson, D., Premazzi, G., Zilioli, E., Eds.; Office for Official Publications of the European Communities: Luxembourg, 1999; pp. 29–69. [Google Scholar]
- Copernicus Open Access Hub. Available online: Scihub.copernicus.eu (accessed on 17 February 2018).
- Brockmann, C.; Doerffer, R.; Peters, M.; Kerstin, S.; Embacher, S.; Ruescas, A. Evolution of the C2RCC neural network for Sentinel 2 and 3 for the retrieval of ocean colour products in normal and extreme optically complex waters. Living Planet Symposium 2016, 740, 54. [Google Scholar]
- Zuhlke, M.; Fomferra, N.; Brockmann, C.; Peters, M.; Veci, L.; Malik, J.; Regner, P. SNAP (sentinel application platform) and the ESA sentinel 3 toolbox. Sentin.-3 Sci. Workshop 2015, 734. [Google Scholar]
- Copernicus Online Data Access. Available online: Coda.eumetsat.int (accessed on 17 February 2018).
- Ligi, M.; Kutser, T.; Kallio, K.; Attila, J.; Koponen, S.; Paavel, B.; Soomets, T.; Reinart, A. Testing the performance of empirical remote sensing algorithms in the Baltic Sea waters with modelled and in situ reflectance data. Oceanologia 2017, 59, 57–68. [Google Scholar] [CrossRef]
- Alikas, K.; Kratzer, S.; Reinart, A.; Kauer, T.; Paavel, B. Robust remote sensing algorithms to derive diffuse attenuation coefficient for lakes and coastal waters. Limnol. Oceanogr. Methods 2015, 13, 402–415. [Google Scholar] [CrossRef]
- Doerffer, R.; Schiller, H. The MERIS Case 2 water algorithm. Int. J. Remote Sens. 2007, 28, 517–535. [Google Scholar] [CrossRef]
- Gower, J.F.R.; Doerffer, R.; Borstad, G.A. Interpretation of the 685nm peak in water-leaving radiance spectra in terms of fluorescence, absorption and scattering, and its observation by MERIS. Int. J. Remote Sens. 1999, 20, 1771–1786. [Google Scholar] [CrossRef]
- Matthews, M.W.; Bernard, S.; Robertson, L. An algorithm for detecting trophic status (chlorophyll-a), cyanobacterial-dominance, surface scums and floating vegetation in inland and coastal waters. Remote Sens. Environ. 2012, 124, 637–652. [Google Scholar] [CrossRef]
- Ammenberg, P.; Flink, P.; Lindell, T.; Pierson, D.; Strombeck, N. Bio-optical modelling combined with remote sensing to assess water quality. Int. J. Remote Sens. 2002, 23, 1621–1638. [Google Scholar] [CrossRef]
- Koponen, S.; Attila, J.; Pulliainen, J.; Kallio, K.; Pyhälahti, T.; Lindfors, A.; Rasmus, K.; Hallikainen, M. A case study of airborne and satellite remote sensing of a spring bloom event in the Gulf of Finland. Cont. Shelf Res. 2007, 27, 228–244. [Google Scholar] [CrossRef]
- Kallio, K.; Kutser, T.; Hannonen, T.; Koponen, S.; Pulliainen, J.; Vepsäläinen, J.; Pyhälahti, T. Retrieval of water quality from airborne imaging spectrometry of various lake types in different seasons. Sci. Total Environ. 2001, 268, 59–77. [Google Scholar] [CrossRef]
- Zimba, P.V.; Gitelson, A. Remote estimation of chlorophyll concentration in hyper-eutrophic aquatic systems: Model tuning and accuracy optimization. Aquaculture 2006, 256, 272–286. [Google Scholar] [CrossRef]
- Gitelson, A.; Dall’Olmo, G.; Moses, W.; Rundquist, D.; Barrow, T.; Fisher, T.; Gurlin, D.; Holz, J. A simple semi-analytical model for remote estimation of chlorophyll-a in turbid waters: Validation. Rem. Sens. Environ. 2008, 112, 3582–3593. [Google Scholar] [CrossRef]
- Hunter, P.; Tyler, A.N.; Willby, N.J.; Gilvear, D.J. The spatial dynamics of vertical migration by Microcystis aeruginosa in a eutrophic shallow lake: A case study using high spatial resolution time-series airborne remote sensing. Limnol. Oceanogr. 2008, 53, 2391–2406. [Google Scholar] [CrossRef]
- Gitelson, A. The peak near 700 nm on radiance spectra of algae and water: Relationships of its magnitude and position with chlorophyll concentration. Int. J. Remote Sens. 1992, 13, 3367–3373. [Google Scholar] [CrossRef]
- Kallio, K.; Koponen, S.; Pulliainen, J. Feasibility of airborne imaging spectrometry for lake monitoring—A case study of spatial chlorophyll a distribution in two meso-eutrophic lakes. Int. J. Remote Sens. 2003, 24, 3771–3790. [Google Scholar] [CrossRef]
- Moses, W.J.; Gitelson, A.A.; Berdnikov, S.; Povaznyy, V. Estimation of chlorophyll-a concentration in case II waters using MODIS and MERIS data—successes and challenges. Environ. Res. Lett. 2009, 4, 045005. [Google Scholar] [CrossRef]
- Zhang, Y.; Ma, R.; Duan, H.; Loiselle, S.; Xu, J. A Spectral Decomposition Algorithm for Estimating Chlorophyll-a Concentrations in Lake Taihu, China. Remote Sens. 2014, 6, 5090–5106. [Google Scholar] [CrossRef]
- Ouillon, S.; Douillet, P.; Petrenko, A.; Neveux, J.; Dupouy, C.; Froidefond, J.-M.; Andréfouët, S.; Muñoz-Caravaca, A. Optical Algorithms at Satellite Wavelengths for Total Suspended Matter in Tropical Coastal Waters. Sensors 2008, 8, 4165–4185. [Google Scholar] [CrossRef] [PubMed]
- Härmä, P.; Vepsäläinen, J.; Hannonen, T.; Pyhälahti, T.; Kämäri, J.; Kallio, K.; Eloheimo, K.; Koponen, S. Detection of water quality using simulated satellite data and semi-empirical algorithms in Finland. Sci. Total Environ. 2001, 268, 107–121. [Google Scholar] [CrossRef]
- Kallio, K.; Attila, J.; Härmä, P.; Koponen, S.; Pulliainen, J.; Hyytiäinen, U.-M.; Pyhälahti, T. Landsat ETM+ images in the estimation of seasonal lake water quality in boreal river basins. Environ. Manag. 2008, 42, 511–522. [Google Scholar] [CrossRef] [PubMed]
- Arst, H.; Erm, A.; Herlevi, A.; Kutser, T.; Leppäranta, M.; Reinart, A.; Virta, J. Optical properties of boreal lake waters in Finland and Estonia. Boreal. Env. Res. 2008, 13, 133–158. [Google Scholar]
- Soomets, T.; Uudeberg, K.; Jakovels, D.; Zagars, M.; Reinart, A.; Brauns, A.; Kutser, T. Comparison of lake optical water types derived from Sentinel-2 and Sentinel-3. Remote Sens. 2019, 11, 2883. [Google Scholar] [CrossRef]
- Lins, R.C.; Martinez, J.-M.; da Motta Marques, D.; Cirilo, J.A.; Fragoso, C.R. Assessment of Chlorophyll-a Remote Sensing Algorithms in a Productive Tropical Estuarine-Lagoon System. Remote Sens. 2017, 9, 516. [Google Scholar] [CrossRef]
- Pereira-Sandoval, M.; Urrego, E.P.; Ruiz-Verdú, A.; Tenjo, C.; Delegido, J.; Soria-Perpinyà, X.; Vicente, E.; Soria, J.; Moreno, J. Calibration and validation of algorithms for the estimation of chlorophyll-a concentration and Secchi depth in inland waters with Sentinel-2. Limnetica 2019, 38, 471–487. [Google Scholar] [CrossRef]
- Toming, K.; Kutser, T.; Uiboupin, R.; Arikas, A.; Vahter, K.; Paavel, B. Mapping Water Quality Parameters with Sentinel-3 Ocean and Land Colour Instrument Imagery in the Baltic Sea. Remote Sens. 2017, 9, 1070. [Google Scholar] [CrossRef]
- Kutser, T. Quantitative detection of chlorophyll in cyanobacterial blooms by satellite remote sensing. Limnol. Oceanogr. 2004, 49, 2179–2189. [Google Scholar] [CrossRef]
- Kiefer, I.; Odermatt, D.; Anneville, O.; Wüest, A.; Bouffard, D. Application of remote sensing for the optimization of in-situ sampling for monitoring of phytoplankton abundance in a large lake. Sci. Total Environ. 2015, 527–528, 493–506. [Google Scholar] [CrossRef]
- Hansen, C.H.; Burian, S.J.; Dennison, P.E.; Williams, G.P. Spatiotemporal Variability of Lake Water Quality in the Context of Remote Sensing Models. Remote Sens. 2017, 9, 409. [Google Scholar] [CrossRef]









| Multispectral Instrument | Ocean and Land Color Instrument | ||||
|---|---|---|---|---|---|
| Algorithm | Water Quality Product | Reference | Algorithm | Water Quality Product | Reference |
| C2RCC 1 | Chl-a, TSM, CDOM, SD | [39] | C2RCC 1 | Chl-a, TSM, CDOM, SD | [39] |
| C2X 2 | Chl-a, TSM, CDOM, SD | [39] | NN 3 | Chl-a | [44] |
| MCI 4 | Chl-a | [45] | MCI 4 | Chl-a | [45] |
| MPH/CHL 5 | Chl-a | [46] | |||
| R705/R665 6 | Chl-a | [47,48] | R709/R674 | Chl-a | [49] |
| R740/R705-R740/R665 | Chl-a | [50] | (R665-R709)*R754 | Chl-a | [51] |
| Log(R705/R665) | Chl-a | [52] | R709-(R665+R754)/2 | Chl-a | [53] |
| R665/R705 | Chl-a | [48] | R665/R709 | Chl-a | [48] |
| R665/R740 | Chl-a | [48] | R674/R709 | Chl-a | [54] |
| R740/R665 | Chl-a | [55] | R620*R681/R412 | Chl-a | [56] |
| R620*R681/R510 | TSM, CDOM | [57] | R620*R681/R510 | TSM, CDOM | [57] |
| R783 – R740 + R865/2 | TSM | [12] | R779 - R754 + R865/2 | TSM | [12] |
| R705 | TSM | [47,48] | R709 | TSM | [49] |
| R705-R754 | TSM | [58] | R709-R754 | TSM | [58] |
| R665/R550 | CDOM | [47] | R665/R550 | CDOM | [47] |
| R665/R490 | CDOM | [48] | R665/R490 | CDOM | [48] |
| R560/R665 | CDOM | [59] | R560/R665 | CDOM | [59] |
| 0.4349*Kd490+0.3291 | KdPAR | [43] | 0.4349*Kd490+0.3291 | Kd(PAR) | [43] |
| 1.6941*KdPAR−0,677 | SD | [60] | 1.6941*KdPAR−0,677 | SD | [60] |
| Lake | n | Area km2 | D m | SD m | Chl-a mg m−3 | TSM mg L−1 | CDOM m−1 |
|---|---|---|---|---|---|---|---|
| Razna (LV) | 10 | 57.6 | 7 | 5.5 (3.4) | 6.35 (9.5) | 1.7 (4.8) | 1.6 (0.4) |
| Lubans (LV) | 16 | 25-100 | 1.6 | 0.9 (1.0) | 16.8 (58.3) | 10.5 (48.3) | 5.7 (3.9) |
| Burtnieks (LV) | 13 | 40.2 | 2.4 | 1 (0.8) | 19.1 (110.1) | 8 (23.9) | 9.5 (6.6) |
| Võrtsjärv (EE) | 10 | 270 | 2.7 | 0.6 (0.5) | 33.1 (41.7) | 13.5 (17.8) | 4.5 (3.5) |
| Total | 49 | 0.9 (6.27) | 18.9 (115.7) | 8.9 (52.1) | 5.5 (11.7) |
| OWT | Algorithm | Formula | R2 | RMSE |
|---|---|---|---|---|
| MSI | ||||
| Clear | TOA R740/R705-R740/R665 | y = −109.1x + 20.32 | 0.67 | 2.04 |
| Moderate | TOA R665/R705 | y = −105.3x + 140.6 | 0.72 | 6.15 |
| Turbid | TOA R665/R705 | y = 104.5x − 78.32 | 0.61 | 9.17 |
| Very Turbid | TOA R740/R705-R740/R665 | y = −368.5x + 39.1 | 0.73 | 14.33 |
| Brown | TOA R705/R665 | y = 293.5x − 263.4 | 0.90 | 14.26 |
| OLCI | ||||
| Clear | TOA R709/R674 | y = 44.75x − 32.78 | 0.34 | 4.74 |
| Moderate | TOA (R665-R709)*R754 | y = −21601x + 23.78 | 0.72 | 4.85 |
| Turbid | TOA R709-(R665+R754)/2 | y = 1552.3x + 21.03 | 0.43 | 13.92 |
| Very Turbid | TOA R665/R709 | y = −246.33x + 291.75 | 0.77 | 11.21 |
| Brown | TOA R665/R709 | y = −316.56x + 365.88 | 0.96 | 8.00 |
| OWT | Algorithm | Formula | R2 | RMSE |
|---|---|---|---|---|
| MSI | ||||
| Clear | TOA R705 | y = 46.19x + 0.15 | 0.60 | 0.34 |
| Moderate | C2RCC conc_tsm | y = −0.91x + 39.29 | 0.72 | 2.78 |
| Turbid | C2RCC R705 | y = 531x + 2.73 | 0.86 | 3.28 |
| Very Turbid | C2RCC conc_tsm | y = 0.41x + 0.05 | 0.85 | 4.64 |
| Brown | C2X R705 | y = 1144.9x − 2.28 | 0.87 | 3.41 |
| OLCI | ||||
| Clear | C2RCC R620*R681/R510 | y = 267.97x + 2.81 | 0.21 | 3.07 |
| Moderate | C2RCC R779 − R754 + R865/2 | y = −13814x + 17.65 | 0.36 | 4.19 |
| Turbid | TOA R620*R681/R510 | y = 496.38x − 6.07 | 0.66 | 6.07 |
| Very Turbid | TOA R779 − R754 + R865/2 | y = 771.07x + 3.35 | 0.94 | 3.55 |
| Brown | TOA R709 | y = 529.77x − 16.26 | 0.78 | 3.53 |
| OWT | Algorithm | Formula | R2 | RMSE |
|---|---|---|---|---|
| MSI | ||||
| Clear | C2RCC R665/R490 | y = 0.26x + 1.56 | 0.15 | 0.07 |
| Moderate | TOA R665/R490 | y = 81.28x2 − 80.38x + 23.91 | 0.91 | 0.10 |
| Turbid | C2X R665/R560 | y = 21.31x − 9.67 | 0.71 | 0.95 |
| Very Turbid | TOA R665/R490 | y = 148.99x2 − 203.38x + 73.33 | 0.73 | 1.28 |
| Brown | C2RCC R665/R490 | y = 6.43x2 − 19.19x + 20.27 | 1.00 | 0.001 |
| OLCI | ||||
| Clear | C2RCC R665/R550 | y = 7.035x + 0.34 | 0.70 | 1.50 |
| Moderate | C2RCC R665/R490 | y = 9.4e−0.67x | 0.55 | 0.23 |
| Turbid | TOA R620*R681/R510 | y = 1618.6x2 − 225.9x + 12.02 | 0.34 | 1.47 |
| Very Turbid | TOA R620*R681/R510 | y = 1.97x−0.4 | 0.64 | 1.04 |
| Brown | C2RCC R665/R490 | y = 8.83x2 − 29.82x + 33.17 | 0.51 | 1.41 |
| OWT | Algorithm | Formula | R2 | RMSE |
|---|---|---|---|---|
| MSI | ||||
| Clear | TOA Kd490 1 | y = 2.21x−1.42 | 0.63 | 0.71 |
| Moderate | C2X Kd489 | y = −0.18x + 1.44 | 0.97 | 0.03 |
| Turbid | TOA Kd490 1 | y = 0.7x−0.9 | 0.68 | 0.15 |
| Very Turbid | TOA Kd490 1 | y = 0.59x−1.56 | 0.78 | 0.14 |
| Brown | C2X Kd490 1 | y = 0.35x − 1.23 | 0.96 | 0.06 |
| OLCI | ||||
| Clear | C2RCC Kd490 1 | y = 0.37x2 − 2.7x + 5.63 | 0.48 | 1.70 |
| Moderate | C2RCC Kd490 1 | y = 2.98x2 − 8.32x + 6.48 | 0.80 | 0.40 |
| Turbid | C2RCC Kd489 | y = 0.17x2 − 1.54x + 4.07 | 0.67 | 0.65 |
| Very Turbid | TOA Kd490 1 | y = 0.5x−1.40 | 0.95 | 0.03 |
| Brown | TOA Kd490 1 | y = 0.54x−1.25 | 0.87 | 0.09 |
© 2020 by the authors. Licensee MDPI, Basel, Switzerland. This article is an open access article distributed under the terms and conditions of the Creative Commons Attribution (CC BY) license (http://creativecommons.org/licenses/by/4.0/).
Share and Cite
Soomets, T.; Uudeberg, K.; Jakovels, D.; Brauns, A.; Zagars, M.; Kutser, T. Validation and Comparison of Water Quality Products in Baltic Lakes Using Sentinel-2 MSI and Sentinel-3 OLCI Data. Sensors 2020, 20, 742. https://doi.org/10.3390/s20030742
Soomets T, Uudeberg K, Jakovels D, Brauns A, Zagars M, Kutser T. Validation and Comparison of Water Quality Products in Baltic Lakes Using Sentinel-2 MSI and Sentinel-3 OLCI Data. Sensors. 2020; 20(3):742. https://doi.org/10.3390/s20030742
Chicago/Turabian StyleSoomets, Tuuli, Kristi Uudeberg, Dainis Jakovels, Agris Brauns, Matiss Zagars, and Tiit Kutser. 2020. "Validation and Comparison of Water Quality Products in Baltic Lakes Using Sentinel-2 MSI and Sentinel-3 OLCI Data" Sensors 20, no. 3: 742. https://doi.org/10.3390/s20030742
APA StyleSoomets, T., Uudeberg, K., Jakovels, D., Brauns, A., Zagars, M., & Kutser, T. (2020). Validation and Comparison of Water Quality Products in Baltic Lakes Using Sentinel-2 MSI and Sentinel-3 OLCI Data. Sensors, 20(3), 742. https://doi.org/10.3390/s20030742

