Physical Demands of U10 Players in a 7-a-Side Soccer Tournament Depending on the Playing Position and Level of Opponents in Consecutive Matches Using Global Positioning Systems (GPS)
Abstract
1. Introduction
2. Materials and Methods
2.1. Experimental Approach to the Problem
2.2. Sample
2.3. Equipment
2.4. Procedures
2.5. Data Processing
2.6. Statistical Analysis
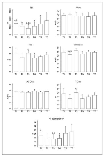
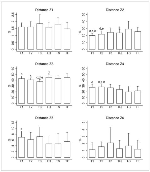
3. Results
4. Discussion
5. Conclusions
Author Contributions
Funding
Acknowledgments
Conflicts of Interest
References
- Bloomfield, J.; Polman, R.; O’Donoghue, P. Physical demands of different positions in FA Premier League soccer. J. Sports Sci. Med. 2007, 6, 63. [Google Scholar] [PubMed]
- Carling, C.; Bloomfield, J.; Nelsen, L.; Reilly, T. The role of motion analysis in elite soccer. Sports Med. 2008, 38, 839–862. [Google Scholar] [CrossRef] [PubMed]
- Rebelo, A.; Brito, J.; Maia, J.; Coelho-e-Silva, M.J.; Figueiredo, A.J.; Bangsbo, J.; Malina, R.; Seabra, A. Anthropometric characteristics, physical fitness and technical performance of under-19 soccer players by competitive level and field position. Int. J. Sports Med. 2013, 34, 312–317. [Google Scholar] [CrossRef] [PubMed]
- Rampinini, E.; Impellizzeri, F.M.; Castagna, C.; Abt, G.; Chamari, K.; Sassi, A.; Marcora, S.M. Factors influencing physiological responses to small-sided soccer games. J. Sports Sci. 2007, 25, 659–666. [Google Scholar] [CrossRef] [PubMed]
- Coratella, G.; Beato, M.; Schena, F. Correlation between quadriceps and hamstrings inter-limb strength asymmetry with change of direction and sprint in U21 elite soccer-players. Hum. Mov. Sci. 2018, 59, 81–87. [Google Scholar] [CrossRef] [PubMed]
- Barbero-Alvarez, J.C.; Barbero-Alvarez, V.; Vera, J.G. Activity profile in young soccer player during match play. Apunts Phys. Educ. Sports 2007, 90, 33–41. [Google Scholar]
- Bradley, P.S.; Di Mascio, M.; Peart, D.; Olsen, P.; Sheldon, B. High intensity activity profiles of elite soccer players at different performance levels. J. Strength Cond. Res. 2010, 24, 2343–2351. [Google Scholar] [CrossRef] [PubMed]
- Di Salvo, V.; Baron, R.; Gonzalez-Haro, C.; Gormasz, C.; Pigozzi, F.; Bachl, N. Sprinting analysis of elite soccer players during European Champions League and UEFA Cup matches. J. Sports Sci. 2010, 28, 1489–1494. [Google Scholar] [CrossRef]
- Reilly, T.; Williams, T.; Nevill, A.M.; Franks, A. A multidisciplinary approach to talent dentification in soccer. J. Sports Sci. 2000, 18, 695–702. [Google Scholar] [CrossRef]
- Pacheco, R. Teaching and Training in Football 7. A Game to Start in Soccer 11; Paidotribo: Barcelona, Spain, 2004. [Google Scholar]
- Casamichana, D.; Castellano, J.; Castagna, C. Comparing the physical demands of friendly matches and smallsided games in semiprofessional soccer players. J. Strength Cond. Res. 2012, 26, 837–843. [Google Scholar] [CrossRef]
- Buchheit, M.; Allen, A.; Poon, T.K.; Modonutti, M.; Gregson, W.; Di Salvo, V. Integrating different tracking systems in football: Multiple camera semi-automatic system, local position measurement and GPS technologies. J. Sports Sci. 2014, 32, 1844–1857. [Google Scholar] [CrossRef] [PubMed]
- Varley, M.C.; Gabbett, T.; Aughey, R.J. Activity profiles of professional soccer, rugby league and Australian football match play. J. Sports Sci. 2014, 32, 1858–1866. [Google Scholar] [CrossRef] [PubMed]
- Suarez-Arrones, L.; Torreño, N.; Requena, B.; Saez De Villarreal, E.; Casamichana, D.; Barbero-Alvarez, J.C.; Munguia-Izquierdo, D. Match-play activity profile in professional soccer players during official games and the relationship between external and internal load. J. Sports Med. Phys. Fit. 2015, 55, 1417–1422. [Google Scholar]
- Buchheit, M.; Mendez-Villanueva, A.; Simpson, B.M.; Bourdon, P.C. Match running performance and fitness in youth soccer. Int. J. Sports Med. 2010, 31, 818–825. [Google Scholar] [CrossRef] [PubMed]
- Goto, H.; Morris, J.G.; Nevill, M.E. Motion analysis of U11 to U16 elite English premier league academy players. J. Sports Sci. 2015, 33, 1248–1258. [Google Scholar] [CrossRef]
- Saward, C.; Morris, J.G.; Nevill, M.E.; Nevill, A.M.; Sunderland, C. Longitudinal development of match-running performance in elite male youth soccer players. Scand. J. Med. Sci. Sports 2015, 26, 933–942. [Google Scholar] [CrossRef]
- Randers, M.B.; Mujika, I.; Hewitt, A.; Santisteban, J.; Bischoff, R.; Solano, R.; Zubillaga, A.; Peltola, E.; Krustrup, P.; Mohr, M. Application of four different football match analysis systems: A comparative study. J. Sports Sci. 2010, 28, 171–182. [Google Scholar] [CrossRef]
- Thorpe, R.; Sunderland, C. Muscle damage, endocrine, and immune marker response to a soccer match. J. Strength Cond. Res. 2012, 26, 2783–2790. [Google Scholar] [CrossRef]
- Ekstrand, J.; Waldén, M.; Hägglund, M. A congested football calendar and the wellbeing of players: Correlation between match exposure of European footballers before the World Cup 2002 and their injuries and performances during that World Cup. Br. J. Sports Med. 2004, 38, 493–497. [Google Scholar] [CrossRef]
- Bastida-Castillo, A.; Gómez-Carmona, C.D.; De La Cruz Sánchez, E.; Pino-Ortega, J. Comparing accuracy between global positioning systems and ultra-wideband-based position tracking systems used for tactical analyses in soccer. Eur. J. Sport Sci. 2019, 19, 1157–1165. [Google Scholar] [CrossRef]
- Castillo, D.; Raya-González, J.; Manuel Clemente, F.; Yanci, J. The influence of youth soccer players’ sprint performance on the different sided games’ external load using GPS devices. Res. Sports Med. 2020, 28, 194–205. [Google Scholar] [CrossRef] [PubMed]
- Darbellay, J.; Malatesta, D.; Meylan, C.M.P. Monitoring matches and small-sided games in elite young soccer players. Int. J. Sports Med. 2020, 41, 832–838. [Google Scholar] [PubMed]
- López-Fernández, J.; Sánchez-Sánchez, J.; García-Unanue, J.; Felipe, J.L.; Colino, E.; Gallardo, L. Physiological and physical responses according to the game surface in a soccer simulation protocol. Int. J. Sport Physiol. 2018, 13, 612–619. [Google Scholar] [CrossRef] [PubMed]
- Scott, M.T.; Scott, T.J.; Kelly, V.G. The validity and reliability of global positioning systems in team sport: A brief review. J. Strength Cond. Res. 2016, 30, 1470–1490. [Google Scholar] [CrossRef] [PubMed]
- Rawstorn, J.C.; Maddison, R.; Ali, A.; Foskett, A.; Gant, N. Rapid directional change degrades GPS distance measurement validity during intermittent intensity running. PLoS ONE 2014, 9, e93693. [Google Scholar] [CrossRef]
- Ubago-Guisado, E.; Gómez-Cabello, A.; Sánchez-Sánchez, J.; García-Unanue, J.; Gallardo, L. Influence of different sports on bone mass in growing girls. J. Sports Sci. 2015, 33, 1710–1718. [Google Scholar] [CrossRef]
- Sanchez-Sanchez, J.; Sanchez, M.; Hernandez, D.; Ramirez-Campillo, R.; Martínez, C.; Nakamura, F.Y. Fatigue in U12 soccer-7 players during repeated 1-day tournament games: A pilot study. J. Strength Cond. Res. 2019, 33, 3092–3097. [Google Scholar] [CrossRef]
- Goto, H.; Morris, J.G.; Nevill, M.E. Match analysis of U9 and U10 English premier league academy soccer players using a global positioning system: Relevance for talent identification and development. J. Strength Cond. Res. 2015, 29, 954–963. [Google Scholar] [CrossRef]
- Osgnach, C.; Poser, S.; Bernardini, R.; Rinaldo, R.; Di Prampero, P.E. Energy cost and metabolic power in elite soccer: A new match analysis approach. Med. Sci. Sports Exerc. 2010, 42, 170–178. [Google Scholar] [CrossRef]
- Johnston, R.J.; Watsford, M.L.; Kelly, S.J.; Pine, M.J.; Spurrs, R.W. Validity and interunit reliability of 10 Hz and 15 Hz GPS units for assessing athlete movement demands. J. Strength Cond. Res. 2014, 28, 1649–1655. [Google Scholar] [CrossRef]
- Buchheit, M.; Al Haddad, H.; Simpson, B.M.; Palazzi, D.; Bourdon, P.C.; Di Salvo, V.; Mendez-Villanueva, A. Monitoring accelerations with GPS in football: Time to slow down? Int. J. Sports Physiol. Perform. 2014, 9, 442. [Google Scholar] [CrossRef] [PubMed]
- Carling, C.; Dupont, G. Are declines in physical performance associated with a reduction in skill-related performance during professional soccer match-play? J. Sports Sci. 2011, 29, 63–71. [Google Scholar] [CrossRef] [PubMed]
- Rampinini, E.; Impellizzeri, F.M.; Castagna, C.; Coutts, A.J.; Wisloff, U. Technical performance during soccer matches of the Italian Serie A league: Effect of fatigue and competitive level. J. Sci. Med. Sport 2009, 12, 227–233. [Google Scholar] [CrossRef]
- Weston, M.; Batterham, A.M.; Castagna, C.; Portas, M.D.; Barnes, C.; Harley, J.; Lovell, R. Reduction in physical match performance at the start of the second half in elite soccer. Int. J. Sports Physiol. Perform. 2011, 6, 174–182. [Google Scholar] [CrossRef] [PubMed]
- Kołodziejczyk, M.; Chmura, P.; Milanovic, L.; Konefał, M.; Chmura, J.; Rokita, A.; Andrzejewski, M. How three consecutive matches with extra time effect on physical performance? A case study at the 2018 football men’s World Cup. Biol. Sport 2021, 38, 65–70. [Google Scholar]
- Chmura, P.; Andrzejewski, M.; Konefał, M.; Mroczek, D.; Rokita, A.; Chmura, J. Analysis of motor activities of professional soccer players during the 2014 World Cup in Brazil. J. Hum. Kinet. 2017, 56, 187–195. [Google Scholar] [CrossRef]
- Abbott, W.; Brickley, G.; Smeeton, N.J. Positional differences in GPS outputs and perceived exertion during soccer training games and competition. J. Strength Cond. Res. 2018, 32, 3222–3231. [Google Scholar] [CrossRef]
- Bradley, P.S.; Noakes, T.D. Match running performance fluctuations in elite soccer: Indicative of fatigue, pacing or situational influences? J. Sports Sci. 2013, 31, 1627–1638. [Google Scholar] [CrossRef]
- Ramírez-Campillo, R.; Gallardo, F.; Henriquez-Olguín, C.; Meylan, C.M.; Martínez, C.; Álvarez, C.; Caniuqueo, A.; Cadore, E.L.; Izquierdo, M. Effect of vertical, horizontal, and combined plyometric training on explosive, balance, and endurance performance of young soccer players. J. Strength Cond. Res. 2015, 29, 1784–1795. [Google Scholar] [CrossRef]
- Bradley, P.S.; Sheldon, W.; Wooster, B.; Olsen, P.; Boanas, P.; Krustrup, P. High-intensity running in English FA Premier League soccer matches. J Sports Sci. 2009, 27, 159–168. [Google Scholar] [CrossRef]
- Robineau, J.; Jouaux, T.; Lacroix, M.; Babault, N. Neuromuscular fatigue induced by a 90-minute soccer game modeling. J. Strength Cond. Res. 2012, 26, 555–562. [Google Scholar] [CrossRef] [PubMed]
- Beneke, R.; Hutler, M.; Jung, M.; Leithauser, R.M. Modelling the blood lactate kinetics at maximal short-term exercise conditions in children, adolescents, and adults. J. Appl. Physiol. 2005, 99, 499–504. [Google Scholar] [CrossRef] [PubMed]
- Ratel, S.; Duche, P.; Williams, C.A. Muscle fatigue during high-intensity exercise in children. Sports Med. 2006, 36, 1031–1065. [Google Scholar] [CrossRef] [PubMed]
- Aughey, R.J. Applications of GPS technologies to field sports. Int. J. Sports Physiol. Perform. 2011, 6, 295–310. [Google Scholar] [CrossRef] [PubMed]
- Mohr, M.; Krustrup, P.; Bangsbo, J. Match performance of high-standard soccer players with special reference to development of fatigue. J. Sports Sci. 2003, 21, 519–528. [Google Scholar] [CrossRef]
- Mohr, M.; Krustrup, P.; Bangsbo, J. Fatigue in soccer: A brief review. J. Sports Sci. 2005, 23, 593–599. [Google Scholar] [CrossRef]
- Buchheit, M.; Mendez-Villanueva, A.; Simpson, B.M.; Bourdon, P.C. Repeated-sprint sequences during youth soccer matches. Int. J. Sports Med. 2010, 31, 709–716. [Google Scholar] [CrossRef]
- Zafeiridis, A.; Dalamitros, A.; Dipla, K.; Manou, V.; Galanis, N.; Kellis, S. Recovery during high-intensity intermittent anaerobic exercise in boys, teens, and men. Med. Sci. Sports Exerc. 2005, 37, 505–512. [Google Scholar] [CrossRef]
- Aquino, R.; Vieira, L.H.P.; Carling, C.; Martins, G.H.; Alves, I.S.; Puggina, E.F. Effects of competitive standard, team formation and playing position on match running performance of Brazilian professional soccer players. Int. J. Perform. Anal. Sport 2017, 17, 695–705. [Google Scholar] [CrossRef]



| Defenders | Midfielders | Forwards | |||||||
|---|---|---|---|---|---|---|---|---|---|
| TD (m) | 1515.78 | ± | 800.94 b | 2683.13 | ± | 854.69 c | 1294.94 | ± | 783.26 |
| Distance Z1 (%) | 1.50 | ± | 0.29 | 1.56 | ± | 0.36 | 1.85 | ± | 0.54 |
| Distance Z2 (%) | 30.12 | ± | 6.08 b | 18.87 | ± | 1.82 c | 25.25 | ± | 6.90 |
| Distance Z3 (%) | 43.60 | ± | 4.38 | 39.42 | ± | 3.99 c | 43.98 | ± | 5.69 |
| Distance Z4 (%) | 18.89 | ± | 6.29 b | 30.34 | ± | 2.67 c | 23.14 | ± | 7.28 |
| Distance Z5 (%) | 4.77 | ± | 2.31 b | 7.42 | ± | 2.54 c | 4.98 | ± | 3.19 |
| Distance Z6 (%) | 1.12 | ± | 0.91 b | 2.39 | ± | 1.61 c | 0.80 | ± | 0.92 |
| VMAX (km·h−1) | 18.57 | ± | 3.39 | 20.85 | ± | 1.80 c | 17.44 | ± | 3.19 |
| IACC (s) | 2.66 | ± | 0.89 | 2.84 | ± | 0.45 | 2.45 | ± | 0.63 |
| VMaxACC (km·h−1) | 14.51 | ± | 2.04 | 14.60 | ± | 1.26 c | 13.10 | ± | 1.53 |
| ACCMAX (m·s−2) | 2.71 | ± | 0.11 b | 2.88 | ± | 0.15 | 2.75 | ± | 0.18 |
| TDACC (m) | 9.44 | ± | 4.70 | 10.22 | ± | 2.18 | 7.91 | ± | 2.98 |
| HI acceleration (n) | 3.91 | ± | 2.12 b | 12.89 | ± | 5.07 c | 3.69 | ± | 2.56 |
Publisher’s Note: MDPI stays neutral with regard to jurisdictional claims in published maps and institutional affiliations. |
© 2020 by the authors. Licensee MDPI, Basel, Switzerland. This article is an open access article distributed under the terms and conditions of the Creative Commons Attribution (CC BY) license (http://creativecommons.org/licenses/by/4.0/).
Share and Cite
Hernandez-Martin, A.; Sanchez-Sanchez, J.; Felipe, J.L.; Manzano-Carrasco, S.; Majano, C.; Gallardo, L.; Garcia-Unanue, J. Physical Demands of U10 Players in a 7-a-Side Soccer Tournament Depending on the Playing Position and Level of Opponents in Consecutive Matches Using Global Positioning Systems (GPS). Sensors 2020, 20, 6968. https://doi.org/10.3390/s20236968
Hernandez-Martin A, Sanchez-Sanchez J, Felipe JL, Manzano-Carrasco S, Majano C, Gallardo L, Garcia-Unanue J. Physical Demands of U10 Players in a 7-a-Side Soccer Tournament Depending on the Playing Position and Level of Opponents in Consecutive Matches Using Global Positioning Systems (GPS). Sensors. 2020; 20(23):6968. https://doi.org/10.3390/s20236968
Chicago/Turabian StyleHernandez-Martin, Antonio, Javier Sanchez-Sanchez, Jose Luis Felipe, Samuel Manzano-Carrasco, Carlos Majano, Leonor Gallardo, and Jorge Garcia-Unanue. 2020. "Physical Demands of U10 Players in a 7-a-Side Soccer Tournament Depending on the Playing Position and Level of Opponents in Consecutive Matches Using Global Positioning Systems (GPS)" Sensors 20, no. 23: 6968. https://doi.org/10.3390/s20236968
APA StyleHernandez-Martin, A., Sanchez-Sanchez, J., Felipe, J. L., Manzano-Carrasco, S., Majano, C., Gallardo, L., & Garcia-Unanue, J. (2020). Physical Demands of U10 Players in a 7-a-Side Soccer Tournament Depending on the Playing Position and Level of Opponents in Consecutive Matches Using Global Positioning Systems (GPS). Sensors, 20(23), 6968. https://doi.org/10.3390/s20236968

