Global Positioning System Analysis of Physical Demands in Elite Women’s Beach Handball Players in an Official Spanish Championship
Abstract
1. Introduction
2. Materials and Methods
2.1. Experimental Approach to the Problem
2.2. Subjects
2.3. Procedures
2.3.1. Movement Patterns
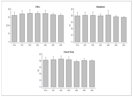
2.3.2. Muscular Strength
2.4. Statistical Analysis
3. Results
| First Set | Second Set | |||||
| Activity Profile | ||||||
| Total Distance (m) | 471.39 | ± | 103.68 | 426.47 | ± | 112.85 * |
| Distance Zone 1 (m) | 0.66 | ± | 0.57 | 0.51 | ± | 0.41 |
| Distance Zone 2 (m) | 251.37 | ± | 69.81 | 232.84 | ± | 61.65 |
| Distance Zone 3 (m) | 66.79 | ± | 17.95 | 56.83 | ± | 21.63 * |
| Distance Zone 4 (m) | 140.42 | ± | 33.27 | 121.27 | ± | 43.82 * |
| Distance Zone 5 (m) | 12.05 | ± | 11.10 | 14.89 | ± | 14.28 |
| VMEAN (km·h−1) | 2.54 | ± | 0.56 | 2.33 | ± | 0.50 * |
| VMAX (km·h−1) | 14.63 | ± | 1.71 | 14.91 | ± | 2.30 |
| Heart Rate | ||||||
| HRMEAN (b.p.m.) | 168.92 | ± | 14.48 | 171.22 | ± | 16.33 |
| HRMAX (b.p.m.) | 190.30 | ± | 10.24 | 191.84 | ± | 12.77 |
| HR Zone 1 (%) | 4.08 | ± | 9.19 | 2.52 | ± | 6.67 |
| HR Zone 2 (%) | 8.74 | ± | 12.48 | 9.13 | ± | 16.01 |
| HR Zone 3 (%) | 18.24 | ± | 14.28 | 17.03 | ± | 15.60 |
| HR Zone 4 (%) | 35.16 | ± | 18.84 | 31.04 | ± | 17.02 |
| HR Zone 5 (%) | 17.41 | ± | 14.04 | 21.54 | ± | 15.60 |
| HR Zone 6 (%) | 16.37 | ± | 23.57 | 18.74 | ± | 23.07 |
4. Discussion
5. Conclusions
Author Contributions
Funding
Institutional Review Board Statement
Informed Consent Statement
Data Availability Statement
Acknowledgments
Conflicts of Interest
References
- Montagni, S.; Cardinale, M. Beachandball (one copy in the Federazione Italiana Giuoco Handball). 1998; Unpublished work. [Google Scholar]
- Morillo, J.P. Balonmano Playa; Wanceulen Editorial: Sevilla, Spain, 2009; pp. 17–21. [Google Scholar]
- Reigal, R.E.; Diz, J.A.V.; Morillo, J.P.; Hernández-Mendo, A.; Morales-Sánchez, V. Psychological profile, competitive anxiety, moods and self-efficacy in beach handball players. Int. J. Environ. Res. Public Health 2019, 17, 241. [Google Scholar] [CrossRef] [PubMed]
- Vázquez-Diz, J.A.; Morillo-Baro, J.P.; Reigal, R.E.; Morales-Sánchez, V.; Hernández-Mendo, A. Contextual factors and decision-making in the behaviour of finalization in the positional attack in beach handball: Differences by gender through polar coordinates analysis. Front. Psychol. 2019, 10, 1386. [Google Scholar] [CrossRef] [PubMed]
- Vázquez-Diz, J.A.; Morillo-Baro, J.P.; Reigal, R.E.; Morales-Sánchez, V.; Hernández-Mendo, A. Mixed methods in decision-making analysis through polar coordinate technique: Differences by gender on beach handball specialist. Front. Psychol. 2019, 10, 1627. [Google Scholar] [CrossRef] [PubMed]
- Pueo, B.; Espina-Agullo, J.J.; Sellés-Pérez, S.; Penichet-Tomas, A. Optimal body composition and anthropometric profile of world-class beach handball players by playing positions. Sustainability 2020, 12, 6789. [Google Scholar] [CrossRef]
- Lemos, L.F.; Oliveira, V.C.; Duncan, M.J.; Ortega, J.P.; Martins, C.M.; Ramirez-Campillo, R.; Sanchez, J.S.; Nevill, A.M.; Nakamura, F.Y. Physical fitness profile in elite beach handball players of different age categories. J. Sports Med. Phys. Fit. 2020, 60, 1536–1543. [Google Scholar] [CrossRef]
- Pueo, B.; Jimenez-Olmedo, J.M.; Penichet-Tomas, A.; Becerra, M.O.; Agullo, J.J.E. Analysis of time-motion and heart rate in elite male and female beach handball. J. Sports Sci. Med. 2017, 16, 450–458. [Google Scholar]
- Zapardiel, J.C.; Asín-Izquierdo, I. Conditional analysis of elite beach handball according to specific playing position through assessment with GPS. Int. J. Perform. Anal. Sport 2020, 20, 118–132. [Google Scholar] [CrossRef]
- Navarro, A.; Morillo, J.P.; Reigal, R.E.; Hernández-Mendo, A. Polar coordinate analysis in the study of positional attacks in beach handball. Int. J. Perform. Anal. Sport 2018, 18, 151–167. [Google Scholar] [CrossRef]
- Lara, D.; Sánchez-Sáez, J.A.; Morillo, J.P.; Sánchez, J.M. Beach handball game cycle. Rev. Int. Deportes Colect. 2018, 34, 89–100. [Google Scholar]
- International Handball Federation. Rules of the Game. Available online: https://www.ihf.info (accessed on 10 October 2020).
- Morillo-Baro, J.P.; Reigal, R.E.; Hernández-Mendo, A. Análisis del ataque posicional de balonmano playa masculino y femenino mediante coordenadas polares. Rev. Int. Cienc. Deporte 2015, 11, 226–244. [Google Scholar] [CrossRef]
- Gabbett, T.J.; Nassis, G.P.; Oetter, E.; Pretorius, J.; Johnston, N.; Medina, D.; Rodas, G.; Myslinski, T.; Howells, D.; Beard, A.; et al. The athlete monitoring cycle: A practical guide to interpreting and applying training monitoring data. Br. J. Sports Med. 2017, 51, 1451–1452. [Google Scholar] [CrossRef] [PubMed]
- Impellizzeri, F.M.; Marcora, S.M.; Coutts, A.J. Internal and external training load: 15 years on. Int. J. Sports Physiol. Perform. 2019, 14, 270–273. [Google Scholar] [CrossRef] [PubMed]
- Aughey, R.J. Applications of GPS technologies to field sports. Int. J. Sports Physiol. Perform. 2011, 6, 295–310. [Google Scholar] [CrossRef]
- Castellano, J.; Casamichana, D. Deporte con dispositivos de posicionamiento global (GPS): Aplicaciones y limitaciones. Rev. Psicol. Deport. 2014, 23, 355–364. [Google Scholar]
- Cummins, C.; Orr, R.; O’Connor, H.; West, C. Global Positioning Systems (GPS) and microtechnology sensors in team sports: A systematic review. Sports Med. 2013, 43, 1025–1042. [Google Scholar] [CrossRef]
- McGuinness, A.; Malone, S.; Hughes, B.; Reilly, D.K.C.T.; Passmore, D. Physical activity and physiological profiles of elite international female field hockey players across the quarters of competitive match play. J. Strength Cond. Res. 2019, 33, 2513–2522. [Google Scholar] [CrossRef]
- McGuinness, A.; Malone, S.; Petrakos, G.; Reilly, D.K.C.T. Physical and physiological demands of elite international female field hockey players during competitive match play. J. Strength Cond. Res. 2019, 33, 3105–3113. [Google Scholar] [CrossRef]
- Vescovi, J.D. Sprint profile of professional female soccer players during competitive matches: Female Athletes in Motion (FAiM) study. J. Sports Sci. 2012, 30, 1259–1265. [Google Scholar] [CrossRef]
- Vescovi, J. Motion characteristics of youth women soccer matches: Female Athletes in Motion (FAiM) study. Int. J. Sports Med. 2013, 35, 110–117. [Google Scholar] [CrossRef]
- Young, D.; O’Grady, M.; Coratella, G. The match-play running performance of elite Camogie players across halves of play. Sport Sci. Health 2020, 1–9. [Google Scholar] [CrossRef]
- Buchheit, M.; Mendez-Villanueva, A.; Simpson, B.M.; Bourdon, P.C. Repeated-sprint sequences during youth soccer matches. Int. J. Sports Med. 2010, 31, 709–716. [Google Scholar] [CrossRef] [PubMed]
- Vanrenterghem, J.; Nedergaard, N.J.; Robinson, M.A.; Drust, B. Training load monitoring in team sports: A novel framework separating physiological and biomechanical load-adaptation pathways. Sports Med. 2017, 47, 2135–2142. [Google Scholar] [CrossRef] [PubMed]
- Jiménez-Reyes, P.; González-Badillo, J.J. Monitoring training load through the CMJ in sprints and jump events for optimizing performance in athletics. Cult. Cienc. Deporte 2011, 6, 207–217. [Google Scholar] [CrossRef]
- Krenn, P.J.; Titze, S.; Oja, P.; Jones, A.; Ogilvie, D. Use of global positioning systems to study physical activity and the environment: A systematic review. Am. J. Prev. Med. 2011, 41, 508–515. [Google Scholar] [CrossRef]
- Sánchez, L.; Pérez, C. Tecnología GPS al servicio del deporte. Arch. Med. Deporte 2006, 23, 143–152. [Google Scholar]
- Gray, A.J.; Jenkins, D.; Andrews, M.H.; Taaffe, D.R.; Glover, M.L. Validity and reliability of GPS for measuring distance travelled in field-based team sports. J. Sports Sci. 2010, 28, 1319–1325. [Google Scholar] [CrossRef]
- Varley, M.C.; Fairweather, I.H.; Aughey, R.J. Validity and reliability of GPS for measuring instantaneous velocity during acceleration, deceleration, and constant motion. J. Sports Sci. 2012, 30, 121–127. [Google Scholar] [CrossRef]
- Casamichana, D.; Castellano, J.; Calleja-Gonzalez, J.; San Román, J.; Castagna, C. Relationship between indicators of training load in soccer players. J. Strength Cond. Res. 2013, 27, 369–374. [Google Scholar] [CrossRef]
- Casamichana, D.; Castellano, J. Demandas físicas en jugadores semiprofesionales de fútbol: ¿Se entrena igual que se compite? Cult. Cienc. Deporte 2011, 6, 121–127. [Google Scholar] [CrossRef]
- Sánchez-Sánchez, J.; Unanue, J.F.G.; Jiménez-Reyes, P.; Gallardo, A.; Burillo, P.; Felipe, J.L.; Gallardo, L. Influence of the mechanical properties of third-generation artificial turf systems on soccer players’ physiological and physical performance and their perceptions. PLoS ONE 2014, 9, e111368. [Google Scholar] [CrossRef] [PubMed]
- Ashman, B.; Bauer, F.H.; Parker, J.; Donaldson, J. GPS operations in high earth orbit: Recent experiences and future opportunities. In Proceedings of the 15th International Conference on Space Operations (SpaceOps 2018), Marseille, France, 28 May–1 June 2018; p. 2568. [Google Scholar]
- Parkinson, B.W.; Enge, P.; Axelrad, P.; Spilker, J.J., Jr. Global Positioning System: Theory and Applications, 3rd ed.; American Institute of Aeronautics and Astronautics, Inc.: Washington, DC, USA, 1996; Volume II, pp. 244–271. [Google Scholar]
- Spilker, J.J., Jr.; Axelrad, P.; Parkinson, B.W.; Enge, P. Global Positioning System: Theory and Applications, 3rd ed.; American Institute of Aeronautics and Astronautics, Inc.: Washington, DC, USA, 1996; Volume I, pp. 36–161. [Google Scholar]
- Rahemi, N.; Mosavi, M.; Abedi, A.A.; Mirzakuchaki, S. Accurate solution of navigation equations in GPS receivers for very high velocities using pseudorange measurements. Adv. Aerosp. Eng. 2014, 2014, 435891. [Google Scholar] [CrossRef]
- Fursov, V.A.; Kotov, A.P.; Goshin, Y.V. Solution of overdetermined systems of equations using the conforming subsystem selection. J. Phys. Conf. Ser. 2019, 1368, 052009. [Google Scholar] [CrossRef]
- Edgecomb, S.; Norton, K. Comparison of global positioning and computer-based tracking systems for measuring player movement distance during Australian Football. J. Sci. Med. Sport 2006, 9, 25–32. [Google Scholar] [CrossRef] [PubMed]
- Schutz, Y.; Herren, R. Assessment of speed of human locomotion using a differential satellite global positioning system. Med. Sci. Sports Exerc. 2000, 32, 642–646. [Google Scholar] [CrossRef]
- Felipe, J.L.; Garcia-Unanue, J.; Viejo-Romero, D.; Navandar, A.; Sánchez-Sánchez, J. Validation of a video-based performance analysis system (Mediacoach®) to analyze the physical demands during matches in laLiga. Sensors 2019, 19, 4113. [Google Scholar] [CrossRef]
- Tanaka, H.; Monahan, K.D.; Seals, D.R. Age-predicted maximal heart rate revisited. J. Am. Coll. Cardiol. 2001, 37, 153–156. [Google Scholar] [CrossRef]
- Ruiz, J.R.; Castro-Piñero, J.; España-Romero, V.; Artero, E.G.; Ortega, F.B.; Cuenca, M.M.; Jiménez-Pavón, D.; Chillón, P.; Girela-Rejón, M.J.; Mora, J.; et al. Field-based fitness assessment in young people: The ALPHA health-related fitness test battery for children and adolescents. Br. J. Sports Med. 2010, 45, 518–524. [Google Scholar] [CrossRef]
- Rico-González, M.; Arcos, A.L.; Rojas-Valverde, D.; Clemente, F.M.; Pino-Ortega, J. A survey to assess the quality of the data obtained by radio-frequency technologies and microelectromechanical systems to measure external workload and collective behavior variables in team sports. Sensors 2020, 20, 2271. [Google Scholar] [CrossRef]
- Gutiérrez-Vargas, R.; Gutiérrez-Vargas, J.C.; Ugalde-Ramírez, J.A.; Rojas-Valverde, D. Kinematics and thermal sex-related responses during an official beach handball game in Costa Rica: A pilot study. Arch. Med. Deporte 2019, 36, 13–18. [Google Scholar]
- Pinnington, H.C.; Dawson, B. The energy cost of running on grass compared to soft dry beach sand. J. Sci. Med. Sport 2001, 4, 416–430. [Google Scholar] [CrossRef]
- Beato, M.; Coratella, G.; Schena, F.; Hulton, A.T. Evaluation of the external and internal workload in female futsal players. Biol. Sport 2017, 3, 227–231. [Google Scholar] [CrossRef] [PubMed]
- Serrano, C.; Felipe, J.L.; Garcia-Unanue, J.; Ibañez, E.; Hernando, E.; Gallardo, L.; Sánchez-Sánchez, J. Local Positioning System Analysis of Physical Demands during Official Matches in the Spanish Futsal League. Sensors 2020, 20, 4860. [Google Scholar] [CrossRef] [PubMed]
- Scanlan, A.T.; Dascombe, B.J.; Reaburn, P.; Dalbo, V.J. The physiological and activity demands experienced by Australian female basketball players during competition. J. Sci. Med. Sport 2012, 15, 341–347. [Google Scholar] [CrossRef] [PubMed]
- Portillo, J.; González-Ravé, J.M.; Juárez, D.; Santos-García, D.J.; Suarez-Arrones, L.; Newton, R.U. Comparison of running characteristics and heart rate response of international and national female rugby sevens players during competitive matches. J. Strength Cond. Res. 2014, 28, 2281–2289. [Google Scholar] [CrossRef] [PubMed]
- Suarez-Arrones, L.; Nuñez, F.J.; Portillo, J.; Mendez-Villanueva, A. Match running performance and exercise intensity in elite female rugby sevens. J. Strength Cond. Res. 2012, 26, 1858–1862. [Google Scholar] [CrossRef] [PubMed]
- Liu, H.; Zhao, G.; Gómez, A.M.; Molinuevo, S.J.; Giménez, J.V.; Kang, H. Time-motion analysis on Chinese male field hockey players. Int. J. Perform. Anal. Sport 2013, 13, 340–352. [Google Scholar] [CrossRef][Green Version]
- White, A.D.; Macfarlane, N. Time-on-pitch or full-game gps analysis procedures for elite field hockey? Int. J. Sports Physiol. Perform. 2013, 8, 549–555. [Google Scholar] [CrossRef][Green Version]
- Barbero, J.C.; Granda-Vera, J.; Calleja-González, J.; del Coso, J. Physical and physiological demands of elite team handball players. Int. J. Perform. Anal. Sport 2014, 14, 921–933. [Google Scholar] [CrossRef]
- Lara Cobos, D. Analysis of heart rate in female beach handball players. Apunts Med. Esport 2011, 46, 131–136. [Google Scholar] [CrossRef]
- Edwards, T.; Spiteri, T.; Piggott, B.; Bonhotal, J.; Haff, G.G.; Joyce, C. Monitoring and managing fatigue in basketball. Sports 2018, 6, 19. [Google Scholar] [CrossRef]
- Nevado-Garrosa, F.; Suarez-Arrones, L. Comparison of physical demands in small sided games and competition in football players under 13. Cult. Cienc. Deporte 2015, 10, 235–243. [Google Scholar] [CrossRef]
- Legg, J.; Pyne, D.B.; Semple, S.; Ball, N. Variability of jump kinetics related to training load in elite female basketball. Sports 2017, 5, 85. [Google Scholar] [CrossRef]
- Johnston, R.D.; Gabbett, T.; Jenkins, D.G.; Hulin, B.T. Influence of physical qualities on post-match fatigue in rugby league players. J. Sci. Med. Sport 2015, 18, 209–213. [Google Scholar] [CrossRef]
- Hader, K.; Rumpf, M.C.; Hertzog, M.; Kilduff, L.P.; Girard, O.; Silva, J.R. Monitoring the athlete match response: Can external load variables predict post-match acute and residual fatigue in soccer? A systematic review with meta-analysis. Sports Med. Open 2019, 5, 48. [Google Scholar] [CrossRef]
- Thorlund, J.B.; Michalsik, L.B.; Madsen, K.; Aagaard, P. Acute fatigue-induced changes in muscle mechanical properties and neuromuscular activity in elite handball players following a handball match. Scand. J. Med. Sci. Sports 2007, 18, 462–472. [Google Scholar] [CrossRef]
- Scarfone, R.; Ammendolia, A. Match analysis of an elite beach soccer team. J. Sports Med. Phys. Fit. 2016, 57, 953–959. [Google Scholar]
- Impellizzeri, F.M.; Rampinini, E.; Castagna, C.; Martino, F.; Fiorini, S.; Wisloff, U. Effect of plyometric training on sand versus grass on muscle soreness and jumping and sprinting ability in soccer players. Br. J. Sports Med. 2007, 42, 42–46. [Google Scholar] [CrossRef]




Publisher’s Note: MDPI stays neutral with regard to jurisdictional claims in published maps and institutional affiliations. |
© 2021 by the authors. Licensee MDPI, Basel, Switzerland. This article is an open access article distributed under the terms and conditions of the Creative Commons Attribution (CC BY) license (http://creativecommons.org/licenses/by/4.0/).
Share and Cite
Sánchez-Sáez, J.A.; Sánchez-Sánchez, J.; Martínez-Rodríguez, A.; Felipe, J.L.; García-Unanue, J.; Lara-Cobos, D. Global Positioning System Analysis of Physical Demands in Elite Women’s Beach Handball Players in an Official Spanish Championship. Sensors 2021, 21, 850. https://doi.org/10.3390/s21030850
Sánchez-Sáez JA, Sánchez-Sánchez J, Martínez-Rodríguez A, Felipe JL, García-Unanue J, Lara-Cobos D. Global Positioning System Analysis of Physical Demands in Elite Women’s Beach Handball Players in an Official Spanish Championship. Sensors. 2021; 21(3):850. https://doi.org/10.3390/s21030850
Chicago/Turabian StyleSánchez-Sáez, Juan Antonio, Javier Sánchez-Sánchez, Alejandro Martínez-Rodríguez, José Luis Felipe, Jorge García-Unanue, and Daniel Lara-Cobos. 2021. "Global Positioning System Analysis of Physical Demands in Elite Women’s Beach Handball Players in an Official Spanish Championship" Sensors 21, no. 3: 850. https://doi.org/10.3390/s21030850
APA StyleSánchez-Sáez, J. A., Sánchez-Sánchez, J., Martínez-Rodríguez, A., Felipe, J. L., García-Unanue, J., & Lara-Cobos, D. (2021). Global Positioning System Analysis of Physical Demands in Elite Women’s Beach Handball Players in an Official Spanish Championship. Sensors, 21(3), 850. https://doi.org/10.3390/s21030850
