Single Image Dehazing Algorithm Analysis with Hyperspectral Images in the Visible Range
Abstract
:1. Introduction
2. Methods
2.1. Dehazing Algorithms
2.1.1. The Dark Channel Prior (DCP) Method
2.1.2. The Tarel Method
2.1.3. The Meng Method
2.1.4. The DehazeNet Method
2.1.5. The Berman Method
2.2. Spectral Image Database
2.3. Image Quality Metrics
2.3.1. e Descriptor
2.3.2. r Descriptor
2.3.3. σ Descriptor
2.3.4. Laplacian Descriptor (LAP)
2.3.5. Gray Mean Gradient (GMG)
2.3.6. Standard Deviation (Std)
2.3.7. Information Entropy
2.3.8. Mean Square Error (MSE)
2.3.9. Peak Signal to Noise Ratio (PSNR)
2.3.10. Structural Similarity Index Measure (SSIM)
2.3.11. Natural Image Quality Evaluator (NIQE)
2.4. Subjective Evaluation
3. Results
3.1. Evaluation Through Image Quality Metrics
3.1.1. Influence of the Spectral Band on Hazy and Dehazed Images
3.1.2. Influence of the Haze Level on Dehazed Images
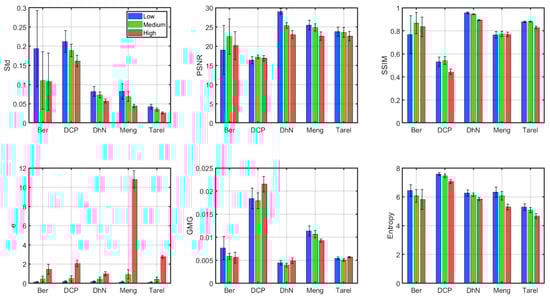
3.1.3. Comparison between the Algorithms Tested
3.2. Subjective Evaluation
4. Conclusions
Author Contributions
Funding
Acknowledgments
Conflicts of Interest
References
- Heierle, V.M.; Casado, M.T.; González, A.B.; Zoilo, H.J.; Tapia, J.M.; Aguilar, A.A.; Clemente, J.M.D.L. Evaluation framework for multiband image enhancement and blending algorithms in enhanced flight vision systems. In Proceedings of the 2018 14th International Conference on Signal-Image Technology & Internet-Based Systems (SITIS), Las Palmas de Gran Canaria, Spain, 26–29 November 2018. [Google Scholar]
- Wang, W.; Yuan, X. Recent advances in image dehazing. IEEE/CAA J. Autom. Sin. 2017, 4, 410–436. [Google Scholar]
- Halmaoui, H.; Cord, A.; Hautiere, N. Contrast restoration of road images taken in foggy weather. In Proceedings of the 2011 IEEE International Conference on Computer Vision Workshops (ICCV Workshops), Barcelona, Spain, 6–13 November 2011. [Google Scholar]
- Jia, Z.; Wang, H.; Caballero, R.E.; Xiong, Z.; Zhao, J.; Finn, A. A two-step approach to see-through bad weather for surveillance video quality enhancement. Mach. Vis. Appl. 2012, 23, 1059–1082. [Google Scholar]
- Negru, M.; Nedevschi, S.; Peter, R.I. Exponential Contrast Restoration in Fog Conditions for Driving Assistance. IEEE Trans. Intell. Transp. Syst. 2015, 16, 2257–2268. [Google Scholar]
- Makarau, A.; Richter, R.; Muller, R.; Reinartz, P. Haze Detection and Removal in Remotely Sensed Multispectral Imagery. IEEE Trans. Geosci. Remote. Sens. 2014, 52, 5895–5905. [Google Scholar]
- Hautière, N.; Tarel, J.-P.; Lavenant, J.; Aubert, D. Automatic fog detection and estimation of visibility distance through use of an onboard camera. Mach. Vis. Appl. 2006, 17, 8–20. [Google Scholar]
- Xu, Z.; Liu, X.; Ji, N. Fog Removal from Color Images using Contrast Limited Adaptive Histogram Equalization. In 2009 2nd International Congress on Image and Signal Processing; IEEE: Piscataway, NJ, USA, 2009. [Google Scholar]
- Stark, J. Adaptive image contrast enhancement using generalizations of histogram equalization. IEEE Trans. Image Process. 2000, 9, 889–896. [Google Scholar]
- Joshi, K.R.; Kamathe, R.S. Quantification of retinex in enhancement of weather degraded images. In Proceedings of the 2008 International Conference on Audio, Language and Image Processing, Shanghai, China, 7–9 July 2008. [Google Scholar]
- Ancuti, C.O. Single Image Dehazing by Multi-Scale Fusion. IEEE Trans. Image Process. 2013, 22, 3271–3282. [Google Scholar]
- Dong, T.; Zhao, G.; Wu, J.; Ye, Y.; Ying, S. Efficient Traffic Video Dehazing Using Adaptive Dark Channel Prior and Spatial-Temporal Correlations. Sensors 2019, 19, 1593. [Google Scholar]
- Narasimhan, S.G.; Nayar, S.K. Contrast restoration of weather degraded images. IEEE Trans. Pattern Anal. Mach. Intell. 2003, 25, 713–724. [Google Scholar]
- Fattal, R. Single Image Dehazing. ACM Trans. Graph. 2008, 27, 1–9. [Google Scholar]
- Li, Y.; You, S.; Brown, M.S.; Tan, R.T. Haze visibility enhancement: A Survey and quantitative benchmarking. Comput. Vis. Image Underst. 2017, 165, 1–16. [Google Scholar]
- El Khoury, J.; Le Moan, S.; Thomas, J.-B.; Mansouri, A. Color and sharpness assessment of single image dehazing. Multimed. Tools Appl. 2017, 77, 15409–15430. [Google Scholar]
- El Khoury, J.; Thomas, J.-B.; Mansouri, A. A Spectral Hazy Image Database. In International Conference on Image and Signal Processing; Springer: Berlin/Heidelberg, Germany, 2020. [Google Scholar]
- El Khoury, J.; Thomas, J.-B.; Mansouri, A. A Database with Reference for Image Dehazing Evaluation. J. Imaging Sci. Technol. 2018, 62, 105031–1050313. [Google Scholar]
- McCartney, E.J. Optics of the Atmosphere: Scattering by Molecules and Particles; John Wiley and Sons: New York, NY, USA, 1976; p. 421. [Google Scholar]
- Liu, X.; Hardeberg, J.Y. Fog removal algorithms: Survey and perceptual evaluation. In Proceedings of the European Workshop on Visual Information Processing (EUVIP), Paris, France, 10–12 June 2013. [Google Scholar]
- Ma, K.; Liu, W.; Wang, Z. Perceptual evaluation of single image dehazing algorithms. In Proceedings of the 2015 IEEE International Conference on Image Processing (ICIP), Quebec City, QC, Canada, 27–30 September 2015. [Google Scholar]
- Gomes, A.E.; Linhares, J.M.; Nascimento, S.M.C. Near perfect visual compensation for atmospheric color distortions. Color Res. Appl. 2020, 45, 837–845. [Google Scholar]
- Berman, D.; Treibitz, T.; Avidan, S. Non-local image dehazing. In Proceedings of the IEEE Conference on Computer Vision and Pattern Recognition, Las Vegas, NV, USA, 27–30 June 2016. [Google Scholar]
- Narasimhan, S.G.; Nayar, S.K. Chromatic framework for vision in bad weather. In Proceedings of the IEEE Conference on Computer Vision and Pattern Recognition. CVPR 2000 (Cat. No. PR00662), Hilton Head Island, SC, USA, 15 June 2000. [Google Scholar]
- He, K.; Sun, J.; Tang, X. Single image haze removal using dark channel prior. In IEEE Transactions on Pattern Analysis and Machine Intelligence; IEEE: Piscataway, NJ, USA, 2010; Volume 33, pp. 2341–2353. [Google Scholar]
- Tarel, J.-P.; Hautiere, N. Fast visibility restoration from a single color or gray level image. In Proceedings of the 2009 IEEE 12th International Conference on Computer Vision, Kyoto, Japan, 29 September–2 October 2009. [Google Scholar]
- Meng, G.; Wang, Y.; Duan, J.; Xiang, S.; Pan, C. Efficient image dehazing with boundary constraint and contextual regularization. In Proceedings of the 2013 IEEE International Conference on Computer Vision, Sydney, Australia, 8 April 2013. [Google Scholar]
- Cai, B.; Xu, X.; Jia, K.; Qing, C.; Tao, D. DehazeNet: An End-to-End System for Single Image Haze Removal. IEEE Trans. Image Process. 2016, 25, 5187–5198. [Google Scholar]
- Hautiere, N.; Tarel, J.-P.; Aubert, D.; Dumont, E. Blind contrast enhancement assessment by gradient ratioing at visible edges. Image Anal. Stereol. 2008, 27, 87–95. [Google Scholar]
- Luzón-González, R.; Nieves, J.L.; Romero, J. Recovering of weather degraded images based on RGB response ratio constancy. Appl. Opt. 2015, 54, B222–B231. [Google Scholar]
- Dong, W.-D.; Chen, Y.-T.; Xu, Z.-H.; Feng, H.; Li, Q. Image stabilization with support vector machine. J. Zhejiang Univ. Sci. C 2011, 12, 478–485. [Google Scholar]
- Zhang, M.; Ren, J. Driving and image enhancement for CCD sensing image system. In Proceedings of the 2010 3rd International Conference on Computer Science and Information Technology, Chengdu, China, 9–11 July 2010. [Google Scholar]
- Wang, Z.; Bovik, A.C.; Sheikh, H.R.; Simoncelli, E.P. Image quality assessment: From error visibility to structural similarity. IEEE Trans. Image Process. 2004, 13, 600–612. [Google Scholar]
- Mittal, A.; Soundararajan, R.; Bovik, A.C. Making a “Completely Blind” Image Quality Analyzer. IEEE Signal Process. Lett. 2013, 20, 209–212. [Google Scholar]
- Khoury, J. Model and Quality Assessment of Single Image Dehazing; University of Bourgogne: Dijon, France, 2016. [Google Scholar]
- Sheikh, H.R.; Sabir, M.F.; Bovik, A.C. A Statistical Evaluation of Recent Full Reference Image Quality Assessment Algorithms. IEEE Trans. Image Process. 2006, 15, 3440–3451. [Google Scholar] [PubMed]
- Press, W.H.; Teukolsky, S.A.; Vetterling, W.T.; Flannery, B.P. Numerical Recipes in C; Cambridge University Press: Cambridge, UK, 1988. [Google Scholar]












| Metric | Reference | Design Strategy | Selected for Section 3.1 |
|---|---|---|---|
| e | Reduced | New edges | Yes |
| r | Reduced | New edges | No |
| σ | Full | Lost pixels | No |
| LAP | Non | Derivatives | No |
| GMG | Non | Derivatives | Yes |
| Std | Non | Contrast | Yes |
| MSE | Full | Similarity | No |
| PSNR | Full | Similarity | Yes |
| Entropy | Non | Information | Yes |
| SSIM | Full | Perceptual based | Yes |
| NIQE | Non | Perceptual based | No |
Publisher’s Note: MDPI stays neutral with regard to jurisdictional claims in published maps and institutional affiliations. |
© 2020 by the authors. Licensee MDPI, Basel, Switzerland. This article is an open access article distributed under the terms and conditions of the Creative Commons Attribution (CC BY) license (http://creativecommons.org/licenses/by/4.0/).
Share and Cite
Martínez-Domingo, M.Á.; Valero, E.M.; Nieves, J.L.; Molina-Fuentes, P.J.; Romero, J.; Hernández-Andrés, J. Single Image Dehazing Algorithm Analysis with Hyperspectral Images in the Visible Range. Sensors 2020, 20, 6690. https://doi.org/10.3390/s20226690
Martínez-Domingo MÁ, Valero EM, Nieves JL, Molina-Fuentes PJ, Romero J, Hernández-Andrés J. Single Image Dehazing Algorithm Analysis with Hyperspectral Images in the Visible Range. Sensors. 2020; 20(22):6690. https://doi.org/10.3390/s20226690
Chicago/Turabian StyleMartínez-Domingo, Miguel Ángel, Eva M. Valero, Juan L. Nieves, Pedro Jesús Molina-Fuentes, Javier Romero, and Javier Hernández-Andrés. 2020. "Single Image Dehazing Algorithm Analysis with Hyperspectral Images in the Visible Range" Sensors 20, no. 22: 6690. https://doi.org/10.3390/s20226690
APA StyleMartínez-Domingo, M. Á., Valero, E. M., Nieves, J. L., Molina-Fuentes, P. J., Romero, J., & Hernández-Andrés, J. (2020). Single Image Dehazing Algorithm Analysis with Hyperspectral Images in the Visible Range. Sensors, 20(22), 6690. https://doi.org/10.3390/s20226690

