GNSS-ISE: Instruction Set Extension for GNSS Baseband Processing
Abstract
1. Introduction
2. Instruction Set Extensions
3. GNSS-ISE Development Method
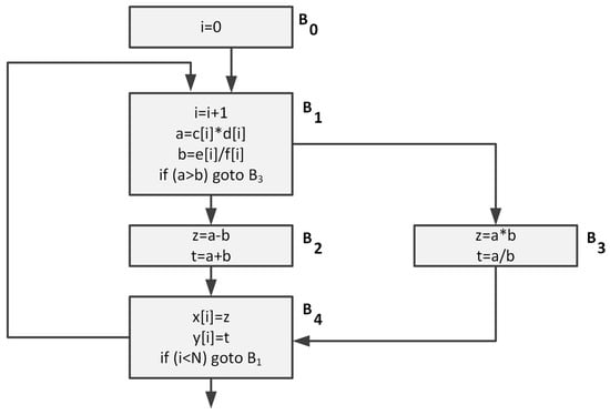
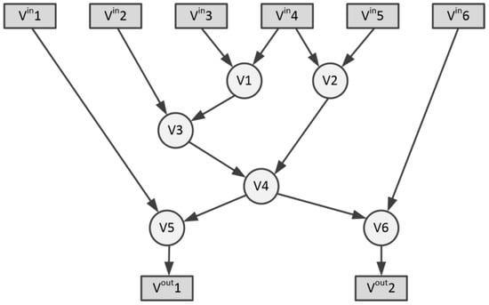
3.1. Separation of Operations
3.2. Prevention of Operations Merging
3.3. Merging of Operations
3.4. Identification of Register Window
3.5. Developed Method Algorithm
| Algorithm 1. GNSS-ISE development algorithm. | ||
| 1: | Input: , simplified application CFG graph | |
| 2: | forindo | |
| 3: | for in do | |
| 4: | while do | ▷ S1. Separation of Operations |
| 5: | Separate from | |
| 6: | Add to set | |
| 7: | end while | |
| 8: | if then | ▷ S2. Prevention of Operations Merging |
| 9: | Add to set | |
| 10: | end if | |
| 11: | end for | |
| 12: | for ; in do | ▷ S3. Merging of Operations |
| 13: | if then | |
| 14: | Merge operations | |
| 15: | end if | |
| 16: | end for | |
| 17: | for in do | ▷ S4. Identification of Register Windows |
| 18: | Identify register windows | |
| 19: | end for | |
| 20: | Generate and evaluate instruction templates | |
| 21: | end for | |
4. GNSS-ISE Instructions
4.1. Carrier/Code Removal and Accumulation
4.2. PLL/FLL/DLL Filter
4.3. Carrier Discriminator
4.4. Code Discriminator
4.5. Code Generation
4.6. Supplementary Instructions
4.7. Special Instructions
4.8. Instructions Summary
5. GNSS-ISE Synthesis Results
6. ASIC Hardware Results
7. Conclusions
Author Contributions
Funding
Acknowledgments
Conflicts of Interest
References
- Fernandez-Prades, C.; Presti, L.L.; Falletti, E. Satellite radiolocalization from GPS to GNSS and beyond: Novel technologies and applications for civil mass market. Proc. IEEE 2011, 99, 1882–1904. [Google Scholar] [CrossRef]
- GNSS Market Report, Issue 5, Publications Office of the European Union, Copyright©European GNSS Agency. 2017. Available online: https://www.gsa.europa.eu/system/files/reports/gnss_mr_2017.pdf (accessed on 14 November 2019).
- Kadoyama, T.; Suzuki, N.; Sasho, N.; Iizuka, I.; Nagase, I.; Usukubo, H.; Katakura, M. A complete single-chip GPS receiver with 1.6-V 24-mW radio in 0.18-µm CMOS. IEEE J. Solid State Circuits 2004, 39, 562–568. [Google Scholar] [CrossRef]
- Sahu, D.; Das, Q.; Darwhekar, Y.; Ganesan, S.; Rajendran, G.; Kumar, R.; Chandrashekar, B.G.; Gosh, A.; Gaurav, A.; Krishnaswamy, T.; et al. A 90 nm CMOS single-chip GPS receiver with 5 dBm out-of-band IIP3 and 2.0 dB NF. In Proceedings of the IEEE International Digest of Technical Papers. Solid-State Circuits Conference, San Francisco, CA, USA, 10 February 2005; pp. 308–309. [Google Scholar]
- Gramegna, G.; Mattos, P.G.; Losi, M.; Das, S.; Franciotta, M.; Bellantone, N.G.; Vaiana, M.; Mandara, V.; Paparo, M. A 56-mVienna, AustriaW 23-mm2 single-chip 180-nm CMOS GPS receiver with 27.2-mW 4.1-mm2 radio. IEEE J. Solid State Circuits 2006, 41, 540–551. [Google Scholar] [CrossRef]
- Wei, J.-M.; Chen, C.-N.; Chen, K.-T.; Kuo, C.-F.; Ong, B.-H.; Lu, C.-H.; Liu, C.-C.; Chiou, H.-C.; Yeh, H.-C.; Shieh, J.-H.; et al. A 110 nm RFCMOS GPS SOC with 34 Mw–165 dBm tracking sensitivity. In Proceedings of the IEEE International Digest of Technical Papers, Solid-State Circuits Conference, San Francisco, CA, USA, 8–12 February 2009; pp. 254–255. [Google Scholar] [CrossRef]
- Moon, H.; Lee, S.; Heo, S.-C.; Yu, H.; Yu, J.; Chang, J.-S.; Choi, S.-I.; Park, B.-H. A 23 mW fully integrated GPS receiver with robust interferer rejection in 65 nm CMOS. In Proceedings of the IEEE International Digest of Technical Papers, Solid-State Circuits Conference, San Francisco, CA, USA, 7–11 February 2010; pp. 68–69. [Google Scholar] [CrossRef]
- Wu, C.-H.; Tsai, W.-C.; Tan, C.-G.; Chen, C.-N.; Li, K.-I.; Hsu, J.-L.; Lo, C.-L.; Chen, H.-H.; Su, S.-Y.; Chen, K.-T.; et al. A GPS/Galileo SoC with adaptive in-band blocker cancellation in 65 nm CMOS. In Proceedings of the 2011 IEEE International Solid-State Circuits Conference, San Francisco, CA, USA, 20–24 February 2011; pp. 462–464. [Google Scholar]
- Tan, C.G.; Song, F.; Yi, C.T.; Kong, M.; Song, D.-C.; Yong, C.-H.; Shu, W.; Hua You, Z.; Lin, Y.-H.; Shanaa, O. A universal GNSS (GPS/Galileo/Glonass/Beidou) SoC with a 0.25 mm2 radio in 40 nm CMOS. In Proceedings of the IEEE International Digest of Technical Papers, Solid-State Circuits Conference, San Francisco, CA, USA, 17–21 February 2013; pp. 334–335. [Google Scholar] [CrossRef]
- Skournetou, D.; Lohan, E.-S. Ionospheric delay corrections in multi-frequency receivers: Are three frequencies better than two? In Proceedings of the 2011 International Conference on Localization and GNSS (ICL-GNSS), Tampere, Finland, 29–30 June 2011; pp. 181–186. [Google Scholar]
- Rugamer, A.; Urquijo, S.; Eppel, M.; Milosiu, H.; Görner, J.; Rohmer, G. An integrated overlay architecture based multi-GNSS front-end. In Proceedings of the 2012 IEEE/ION Position, Location and Navigation Symposium, Myrtle Beach, SC, USA, 23–26 April 2012; pp. 50–59. [Google Scholar]
- Zhang, Z.; Li, W. A multi-constellation GNSS RF front-end with an integer-N PLL for compass and GPS applications. In Proceedings of the 2013 IEEE International Conference on Communications (ICC), Budapest, Hungary, 9–13 June 2013; pp. 4493–4497. [Google Scholar]
- Cheng, C.-W.; Chen, Y.-J.E. A 90-nm CMOS multi-standard GNSS receiver front-end. In Proceedings of the 2014 IEEE 14th Topical Meeting on Silicon Monolithic Integrated Circuits in RF Systems, Newport Beach, CA, USA, 19–23 January 2014; pp. 53–55. [Google Scholar]
- Rosello, J.; Silvestrin, P.; Weigand, R.; D’Addio, S.; Rodriguez, A.G.; Risueno, G.L. Next generation of ESA’s GNSS receivers for Earth Observation satellites. In Proceedings of the 2012 6th ESA Workshop on Satellite Navigation Technologies (Navitec 2012) & European Workshop on GNSS Signals and Signal Processing, Noordwijk, The Netherlands, 5–7 December 2012; pp. 1–8. [Google Scholar]
- Garzia, F.; Kohler, S.; Urquijo, S.; Neumaier, P.; Driesen, J.; Haas, S.; Leineweber, T.; Zhang, T.; Krause, S.; Henkel, F.; et al. NAPA: A fully integrated multi-constellation two-frequency single-chip GNSS receiver. In Proceedings of the 2014 IEEE/ION Position, Location and Navigation Symposium (PLANS 2014), Monterey, CA, USA, 5–8 May 2014; pp. 1075–1083. [Google Scholar]
- Kovar, P.; Kačmařík, P.; Vejrazka, F. Low complex interoperable GNSS signal processor and its performance. In Proceedings of the IEEE/ION Position, Location and Navigation Symposium, Indian Wells, CA, USA, 4–6 May 2010; pp. 947–951. [Google Scholar]
- Wang, B.-S.; Iv, S.-W.; Yang, D.-K.; Zhang, Q.-S.; Lv, S.-W. A new solution to GNSS receiver baseband signal processing SOC platform based on OpenRISC processor. In Proceedings of the 2011 7th International Conference on Wireless Communications, Networking and Mobile Computing, Wuhan, China, 23–25 September 2011; pp. 1–4. [Google Scholar]
- Julien, O. Design of GALILEO L1F Receiver Tracking Loops. Ph.D. Thesis, The University of Calgary, Calgary, AB, Canada, 2005. [Google Scholar]
- Julien, O.; Macabiau, C.; Issler, J.-L.; Ries, L. 1-Bit processing of composite BOC (CBOC) signals and extension to time-multiplexed BOC (TMBOC) signals. In Proceedings of the 2007 National Technical Meeting of the Institute of Navigation, San Diego, CA, USA, 22–24 January 2007; pp. 227–239. [Google Scholar]
- Kappen, G.; Noll, T. Application specific instruction processor based implementation of a GNSS receiver on an FPGA. In Proceedings of the Design Automation & Test in Europe Conference, Munich, Germany, 6–10 March 2006; pp. 58–63. [Google Scholar]
- Kappen, G.; El Bahri, S.; Priebe, O.; Noll, T.G. Evaluation of a tightly coupled ASIP/Co-Processor architecture used in GNSS receivers. In Proceedings of the 2007 IEEE International Conference on Application-Specific Systems, Architectures and Processors (ASAP), Montreal, QC, Canada, 9–11 July 2007; pp. 296–301. [Google Scholar]
- Bridonneau, H.A. SPARC Instruction Set Extension for GNSS SW Receivers on LEON2FT Processor. Bachelor’s Thesis, School of Industrial & ICT Engineering, Public University of Navarre, Pamplona, Spain, 2014. [Google Scholar]
- Atasu, K. Hardware/Software Partitioning for Custom Instruction Processors. Ph.D. Thesis, Department of Computer Engineering, Bogazici University, Istanbul, Turkey, 2007. [Google Scholar]
- Alippi, C.; Fornaciari, W.; Pozzi, L.; Sami, M. A DAG-based design approach for reconfigurable VLIW processors. In Proceedings of the 1999 Design, Automation and Test in Europe, Munich, Germany, 9–12 March 1999; pp. 778–779. [Google Scholar]
- Atasu, K.; Pozzi, L.; Ienne, P. Automatic application-specific instruction-set extensions under microarchitectural constraints. In Proceedings of the 40th conference on Design automation (DAC ’03), Anaheim, CA, USA, 2–6 June 2003; pp. 256–261. [Google Scholar]
- Atasu, K.; Dündar, G.; Ozturan, C. An integer linear programming approach for identifying instruction-set extensions. In Proceedings of the 3rd IEEE/ACM/IFIP international conference, Jersey City, NJ, USA, 19–21 September 2005; pp. 172–177. [Google Scholar]
- Pozzi, L.; Ienne, P. Exploiting pipelining to relax register-file port constraints of instruction-set extensions. In Proceedings of the 2005 international conference on Compilers, Architectures and Synthesis for Embedded Systems, San Francisco, CA, USA, 24–27 September 2005; pp. 2–10. [Google Scholar]
- Jayaseelan, R.; Liu, H.; Mitra, T. Exploiting forwarding to improve data bandwidth of instruction-set extensions. In Proceedings of the 43rd annual conference on Design automation (DAC ’06), San Francisco, CA, USA, 24–28 July 2006; pp. 43–48. [Google Scholar]
- Gonzalez, R. Xtensa: A configurable and extensible processor. IEEE Micro 2000, 20, 60–70. [Google Scholar] [CrossRef]
- Guthaus, M.R.; Ringenberg, J.S.; Ernst, D.; Austin, T.M.; Mudge, T.; Brown, R.B. MiBench: A free, commercially representative embedded benchmark suite. In Proceedings of the Fourth Annual IEEE International Workshop on Workload Characterization WWC-4 (Cat No 01EX538), Austin, TX, USA, 2 December 2001; pp. 3–14. [Google Scholar]
- Lee, C.; Potkonjak, M.; Mangione-Smith, W.H. MediaBench: A tool for evaluating and synthesizing multimedia and communications systems. In Proceedings of the 30th Annual International Symposium on Microarchitecture, Research Triangle Park, NC, USA, 3 December 1997; pp. 330–335. [Google Scholar]
- Doweck, J. Inside Intel® Core™ Microarchitecture. In Proceedings of the IEEE Hot Chips Symposium, Stanford, CA, USA, 20–22 August 2006. [Google Scholar] [CrossRef]
- Biswas, P.; Dutt, N.D.; Pozzi, L.; Ienne, P. Introduction of Architecturally Visible Storage in Instruction Set Extensions. IEEE Trans. Comput. Des. Integr. Circuits Syst. 2007, 26, 435–446. [Google Scholar] [CrossRef]
- Biswas, P.; Dutt, N.; Ienne, P.; Pozzi, L. Automatic Identification of Application-Specific Functional Units with Architecturally Visible Storage. In Proceedings of the Design Automation & Test in Europe Conference, Munich, Germany, 6–10 March 2006; pp. 1–6. [Google Scholar]
- Fine, P.; Wilson, W. Tracking algorithm for GPS offset carrier signals. In Proceedings of the 1999 National Technical Meeting of The Institute of Navigation, San Diego, CA, USA, 25–27 January 1999; pp. 671–676. [Google Scholar]
- Kaplan, E.D.; Hegarty, C. Understanding GPS: Principles and Applications, 2nd ed.; Artech House: Boston, MA, USA, 2006. [Google Scholar]
- Musso, M.; Cattoni, A.F.; Regazzoni, C.S. A new fine tracking algorithm for binary offset carrier modulated signals. In Proceedings of the 19th International Technical Meeting of the Satellite Division of the Institute of Navigation, Fort Worth, TX, USA, 26–29 September 2006; pp. 834–840. [Google Scholar]
- SPARC International Inc. The SPARC Architecture Manual Version 8; Prentice-Hall: Upper Saddle River, NJ, USA, 1992. [Google Scholar]
- Marcinek, K. Uniwersalna Architektura Procesora dla Systemów Nawigacji Satelitarnej GNSS (Universal Processor Architecture for GNSS Navigation Systems). Ph.D. Thesis, Faculty of Electronics and Information Technology, Warsaw University of Technology, Warsaw, Poland, 10 May 2016. [Google Scholar]
- NaviSoC Project. Available online: http://navisoc.com/ (accessed on 14 November 2019).
- ChipCraft Sp. z o.o., CC100-C Processor Core Template 1.1. 2018. Available online: http://chipcraft-ic.com/download/CC100-C_template.pdf (accessed on 14 November 2019).


















| Instructions Group | Mnemonic |
|---|---|
| Channel Manipulation Instructions | gnss.chann.set gnss.chann.get gnss.chann.incr |
| Carrier Instructions | gnss.carr.freq gnss.carr.disc gnss.carr.set gnss.carr.rem |
| Accumulation Instructions | gnss.accu.add gnss.accu.get |
| Phase Lock Loop Instructions | gnss.pll.disc gnss.pll.costas gnss.pll.flt.rst gnss.pll.flt.coef gnss.pll.flt |
| Delayed Lock Loop Instructions | gnss.dll.disc gnss.dll.flt.rst gnss.dll.flt.coef gnss.dll.flt |
| Spreading Sequence Instructions | gnss.pcode.addr.set gnss.pcode.wr gnss.pcode.len gnss.scode.addr.set gnss.scode.wr gnss.scode.len gnss.code.get gnss.code.nco.freq gnss.code.epl.freq gnss.code.disc gnss.code.rng |
| Special Instructions | gnss.free.accu.wr gnss.free.accu.rd gnss.free.update.wr gnss.free.update.rd gnss.track.step |
| Parameter | Values | ||
|---|---|---|---|
| [14] | [15] | This Work | |
| Process | 180 nm | 65 nm | 110 nm |
| ASIC size | n/a | 4.5 × 5.0 mm | 5.7 × 6.0 mm |
| Power | n/a | 12.7 mW/channel | 5 mW/channel |
| Tracking channels | 36 | 40 | 32 |
| Processor cores | 1 | 1 | 3 |
| Application processor | no | no | yes |
| Processor frequency | 90 MHz | 150 MHz | 80 MHz |
| GNSS frequency | up to 50 MHz | up to 75 MHz | up to 65 MHz |
| FFT module | 128 points | 16k points | 2 × 256 points |
| RF front-end | no | yes | yes |
| Embedded flash | no | no | 768 KiB |
| Internal SRAM | no | 1 MiB | 512 KiB |
| Target market | space | research only | low-cost consumer |
© 2020 by the authors. Licensee MDPI, Basel, Switzerland. This article is an open access article distributed under the terms and conditions of the Creative Commons Attribution (CC BY) license (http://creativecommons.org/licenses/by/4.0/).
Share and Cite
Marcinek, K.; Pleskacz, W.A. GNSS-ISE: Instruction Set Extension for GNSS Baseband Processing. Sensors 2020, 20, 465. https://doi.org/10.3390/s20020465
Marcinek K, Pleskacz WA. GNSS-ISE: Instruction Set Extension for GNSS Baseband Processing. Sensors. 2020; 20(2):465. https://doi.org/10.3390/s20020465
Chicago/Turabian StyleMarcinek, Krzysztof, and Witold A. Pleskacz. 2020. "GNSS-ISE: Instruction Set Extension for GNSS Baseband Processing" Sensors 20, no. 2: 465. https://doi.org/10.3390/s20020465
APA StyleMarcinek, K., & Pleskacz, W. A. (2020). GNSS-ISE: Instruction Set Extension for GNSS Baseband Processing. Sensors, 20(2), 465. https://doi.org/10.3390/s20020465

