Comparison of AlN vs. SIO2/LiNbO3 Membranes as Sensitive Elements for the SAW-Based Acceleration Measurement: Overcoming the Anisotropy Effects
Abstract
1. Introduction
2. Sensitive Element Design
3. Computer Simulation
3.1. Sensitive Element Attachment Method
3.2. Frequency Characteristic
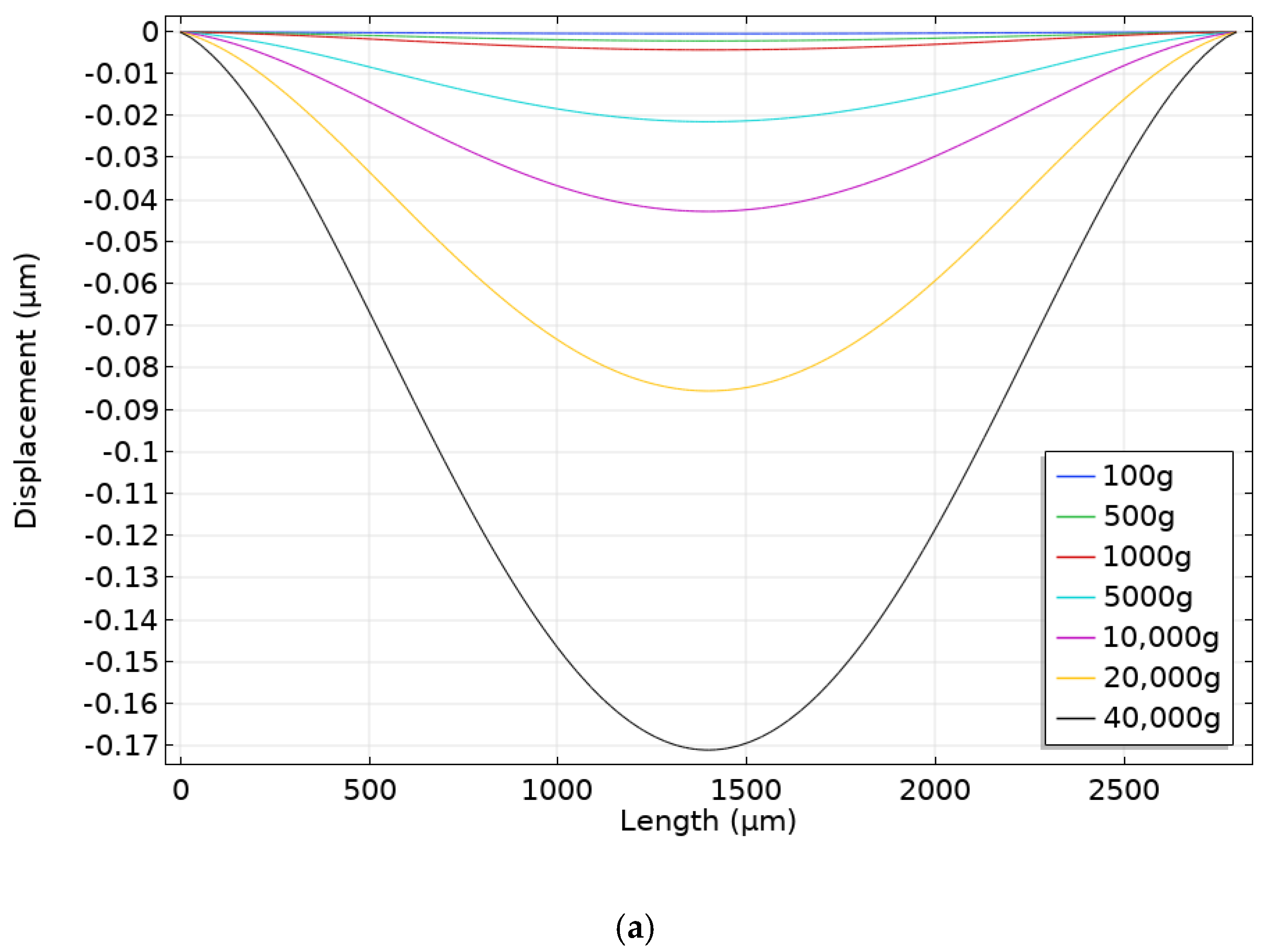
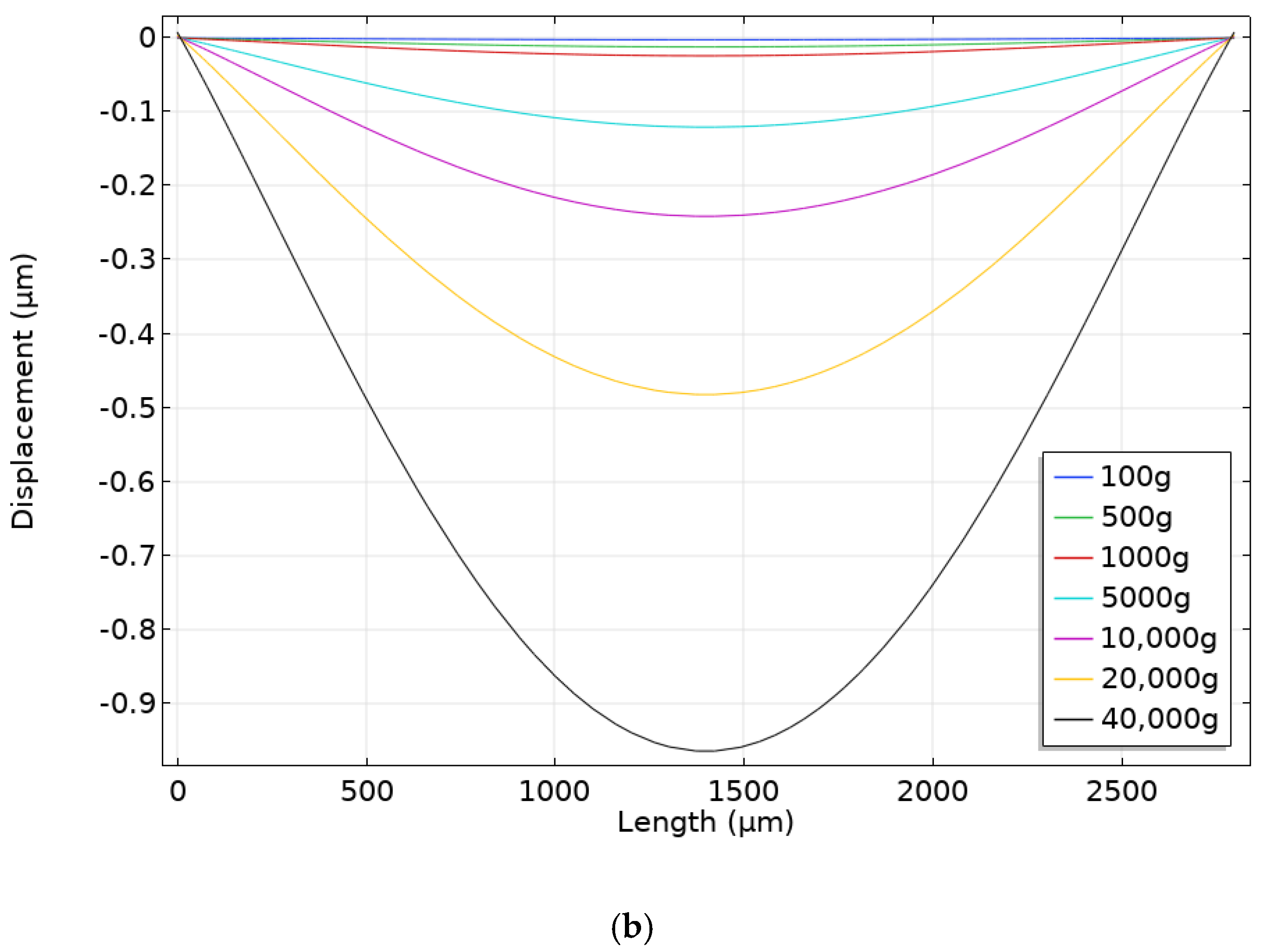
3.3. External Influences on the SE
3.4. Placing the Inertial Mass on the Console
3.5. Overall Design Recommendations
- (i)
- The console should be fixed by its attachment to the housing at 50 µm distance from its center using silicone adhesive;
- (ii)
- The SAWs should be located at 1090 µm from the console center;
- (iii)
- The SE sensitivity to the acceleration is approximately 65 Hz/g for the SiO2, 87 Hz/g for the LiNbO3, and 43 Hz/g for the AlN for the accelerations up to 40,000 g.
- (iv)
- The console should be preferentially manufactured from the lithium niobate YX128°-cut as it exhibits more pronounced frequency variations under similar accelerations being applied;
- (v)
- The temperature sensitivity when is approximately ~43 Hz/°C for the SiO2, ~107 Hz/°C for the LiNbO3, ~77 Hz/°C for the AlN at least within the studied range between −40 °C to 60 °C.
- (vi)
- The use of aluminum nitride as a SE-material is limited due to its lower temperature stability especially when pronounced temperature variations are expected;
- (vii)
- To further enhance the sensitivity, it is advised to place the IM in the center of the console, although one should take into account that the presence of IM will reduce the range of measurements.
4. Conclusions
Author Contributions
Funding
Conflicts of Interest
References
- Morgan, D.; Paige, E.G.S. Propagation effects and materials. In Surface Acoustic Wave Filters, 2nd ed.; Morgan, D., Paige, E.G.S., Eds.; Academic Press: Oxford, UK, 2007; pp. 87–113. [Google Scholar]
- Mujahid, A.; Dickert, F.L. Surface Acoustic Wave (SAW) for Chemical Sensing Applications of Recognition Layers. Sensors 2017, 17, 2716. [Google Scholar] [CrossRef] [PubMed]
- Devkota, J.; Ohodnicki, P.R.; Greve, D.W. SAW Sensors for Chemical Vapors and Gases. Sensors 2017, 17, 801. [Google Scholar] [CrossRef] [PubMed]
- Nikolaou, I.; Hallil, H.; Deligeorgis, G.; Conedera, V.; Garcia, H.; Dejous, C.; Rebiere, D. Novel SAW gas sensor based on graphene. In Proceedings of the 30th Symposium on Microelectronics Technology and Devices (SBMicro), Salvador, Brazil, 31 August–4 September 2015; pp. 1–4. [Google Scholar]
- Muller, A.; Konstantinidis, G.; Stefanescu, A.; Giangu, I.; Stavrinidis, A.; Pasteanu, M.; Stavrinidis, G.; Dinescu, A. Pressure and temperature determination with micromachined GAN/SI SAW based resonators operating in the GHZ frequency range. In Proceedings of the 19th International Conference on Solid-State Sensors, Actuators and Microsystems (TRANSDUCERS), Kaohsiung, Taiwan, 18–22 June 2017; pp. 1073–1076. [Google Scholar]
- Silva, D.; Mendes, C.J.; Pereira, A.B.; Gegot, F.; Alves, L.N. Measuring Torque and Temperature in a Rotating Shaft Using Commercial SAW Sensors. Sensors 2017, 17, 1547. [Google Scholar] [CrossRef] [PubMed]
- Li, T.; Hu, H.; Xu, G.; Zhu, K.; Fang, L. Pressure and temperature microsensor based on surface acoustic wave. In Electronics Letters; Institution of Engineering and Technology: London, UK, 2009; Volume 45, pp. 337–338. [Google Scholar]
- Yu, F.; Chen, F.; Hou, S.; Wang, H.; Wang, Y.; Tian, S.; Jiang, C.; Li, Y.; Cheng, X.; Zhao, O. High temperature piezoelectric single crystals: Recent developments. In Proceedings of the Symposium on Piezoelectricity, Acoustic Waves and Device Applications (SPAWDA), Xi’an, China, 21–24 October 2016; pp. 1–7. [Google Scholar]
- Hayashi, J.; Suzuki, M.; Yonai, T.; Yamaya, K.; Kakio, S.; Kishida, K.; Asakawa, S.; Kuwae, H.; Mizuno, J. Longitudinal Leaky Surface Acoustic Wave with Low Attenuation on LiTaO3 Thin Plate Bonded to Quartz Substrate. In Proceedings of the IEEE International Ultrasonics Symposium (IUS), Kobe, Japan, 22–25 October 2018; pp. 1–4. [Google Scholar]
- Kogai, T.; Yatsuda, H.; Kondoh, J. Rayleigh SAW-Assisted SH-SAW Immunosensor on X-Cut 148-Y LiTaO3. IEEE Trans. Ultrason. Ferroelectr. Freq. Control 2017, 64, 1375–1381. [Google Scholar] [CrossRef] [PubMed]
- Cai, F.; Li, H.; Ke, Y.; Tian, Y.; Luo, W.; He, S.; Hu, B. Sensitivity analysis of langasite surface acoustic wave pressure sensors. In Proceedings of the 2017 Symposium on Piezoelectricity, Acoustic Waves and Device Applications (SPAWDA), Chengdu, China, 27–30 October 2017; pp. 77–80. [Google Scholar]
- Shevchenko, S.Y.; Khivrich, M.A.; Markelov, M.A. Ring-Shaped Sensitive Element Design for Acceleration Measurements: Overcoming the Limitations of Angular-Shaped Sensors. Electronics 2019, 8, 141. [Google Scholar] [CrossRef]
- Lukyanov, D.; Shevchenko, S.; Kukaev, A.; Filippova, E.; Safronov, D. Micromechanical accelerometers based on surface acoustic waves. In Proceedings of the NORCHIP 2014—32nd NORCHIP Conference: The Nordic Microelectronics Event, Tampere, Finland, 7–28 October 2014; pp. 1–4. [Google Scholar]
- Lukyanov, D.; Shevchenko, S.; Kukaev, A.; Filippova, E.; Safronov, D. Microaccelerometer based on surface acoustic waves. In Proceedings of the 2014 Symposium on Piezoelectricity, Acoustic Waves and Device Applications, Beijing, China, 30 October–2 November 2014; pp. 18–21. [Google Scholar]
- Shevchenko, S.; Kukaev, A.; Khivrich, M.; Lukyanov, D. Surface-acoustic-wave sensor design for acceleration measurement. Sensors 2018, 18, 2301. [Google Scholar] [CrossRef] [PubMed]
- Biryukov, S.V.; Schmidt, H.; Sotnikov, A.V.; Weihnacht, M.; Chemekova, T.Y.; Makarov, Y.N. Ring waveguid resonator on surface acoustic waves: First experiments. J. Appl. Phys. 2009, 106, 126103. [Google Scholar] [CrossRef]
- Biryukov, S.V.; Schmidt, H.; Weihnacht, M. Single-mode ring waveguide resonator on SAW. In Proceedings of the Single-Mode Ring Waveguide Resonator on SAW, San Diego, CA, USA, 11–14 October 2010; pp. 2099–2102. [Google Scholar] [CrossRef]


















| Parameter | ST-Cut SiO2 | YX-128°-Cut LiNbO3 | AlN | Silicone Adhesive |
|---|---|---|---|---|
| Wave velocity, vp [m/s] | 3158 | 3961 | 5705 | - |
| Density, ρ [kg/m3] | 2650 | 4640 | 3300 | 1700 |
| Elastic modulus, E [Pa] | 76.5 × 109 | 170 × 109 | 310 × 109 | 25 × 106 |
| Poisson’s ratio, v | 0.08 | 0.25 | 0.24 | 0.48 |
| Tensile strength, F [Pa] | 48 × 106 | 110 × 106 | 250 × 106 | - |
| Thermal Expansion, α [K−1] | 13.37 × 10−6 | 14.8 × 10−6 | 5.6 × 10−6 | 275 × 10−6 |
| Thermal Conductivity, λ [W/m·K] | 6.5 | 4.6 | 170 | 1.375 |
| Specific Heat, c [J/kg·K] | 744 | 630 | 780 | 1175 |
| Acceleration, g | SiO2 | LiNbO3 | AlN |
|---|---|---|---|
| 50 | 0.0013059 | 0.0013131 | 0.0004800 |
| 1000 | 0.0261190 | 0.0262620 | 0.0094005 |
| 40,000 | 0.9847500 | 1.0505000 | 0.3880200 |
| Temperature, °C | SiO2 | LiNbO3 | AlN |
|---|---|---|---|
| −40 | −0.061019 | −0.078018 | −0.027821 |
| −20 | −0.040874 | −0.052467 | −0.018502 |
| 0 | −0.020364 | −0.027518 | −0.009658 |
| +20 | 0 | 0 | 0 |
| +40 | 0.020326 | 0.027506 | 0.009543 |
| +60 | 0.040852 | 0.052125 | 0.018602 |
| Temperature, °C | 50 g | 500 g | 5000 g | 40,000 g |
|---|---|---|---|---|
| −40 | −0.062 | −0.072 | −0.180 | −1.024 |
| −10 | −0.031 | −0.042 | −0.150 | −0.994 |
| +10 | −0.011 | −0.022 | −0.130 | −0.975 |
| +40 | 0.021 | 0.032 | 0.140 | 0.985 |
| +60 | 0.042 | 0.052 | 0.160 | 1.004 |
© 2020 by the authors. Licensee MDPI, Basel, Switzerland. This article is an open access article distributed under the terms and conditions of the Creative Commons Attribution (CC BY) license (http://creativecommons.org/licenses/by/4.0/).
Share and Cite
Yu. Shevchenko, S.; A. Mikhailenko, D.; Markelov, O.A. Comparison of AlN vs. SIO2/LiNbO3 Membranes as Sensitive Elements for the SAW-Based Acceleration Measurement: Overcoming the Anisotropy Effects. Sensors 2020, 20, 464. https://doi.org/10.3390/s20020464
Yu. Shevchenko S, A. Mikhailenko D, Markelov OA. Comparison of AlN vs. SIO2/LiNbO3 Membranes as Sensitive Elements for the SAW-Based Acceleration Measurement: Overcoming the Anisotropy Effects. Sensors. 2020; 20(2):464. https://doi.org/10.3390/s20020464
Chicago/Turabian StyleYu. Shevchenko, Sergey, Denis A. Mikhailenko, and Oleg A. Markelov. 2020. "Comparison of AlN vs. SIO2/LiNbO3 Membranes as Sensitive Elements for the SAW-Based Acceleration Measurement: Overcoming the Anisotropy Effects" Sensors 20, no. 2: 464. https://doi.org/10.3390/s20020464
APA StyleYu. Shevchenko, S., A. Mikhailenko, D., & Markelov, O. A. (2020). Comparison of AlN vs. SIO2/LiNbO3 Membranes as Sensitive Elements for the SAW-Based Acceleration Measurement: Overcoming the Anisotropy Effects. Sensors, 20(2), 464. https://doi.org/10.3390/s20020464

