Fully-Textile, Wearable Chipless Tags for Identification and Tracking Applications †
Abstract
1. Introduction
2. Design and Fabrication of Two Fully-Textile Tags
2.1. Materials
2.2. Fully-Textile Tag Relying on Resonance-Based Coding
2.3. Fully-Textile Tag Relying on Frequency-Shift Coding
- the dimensional resolution achievable with the available manufacturing process; and
- the accuracy and frequency resolution of the measurement setup used to characterize the device [32].
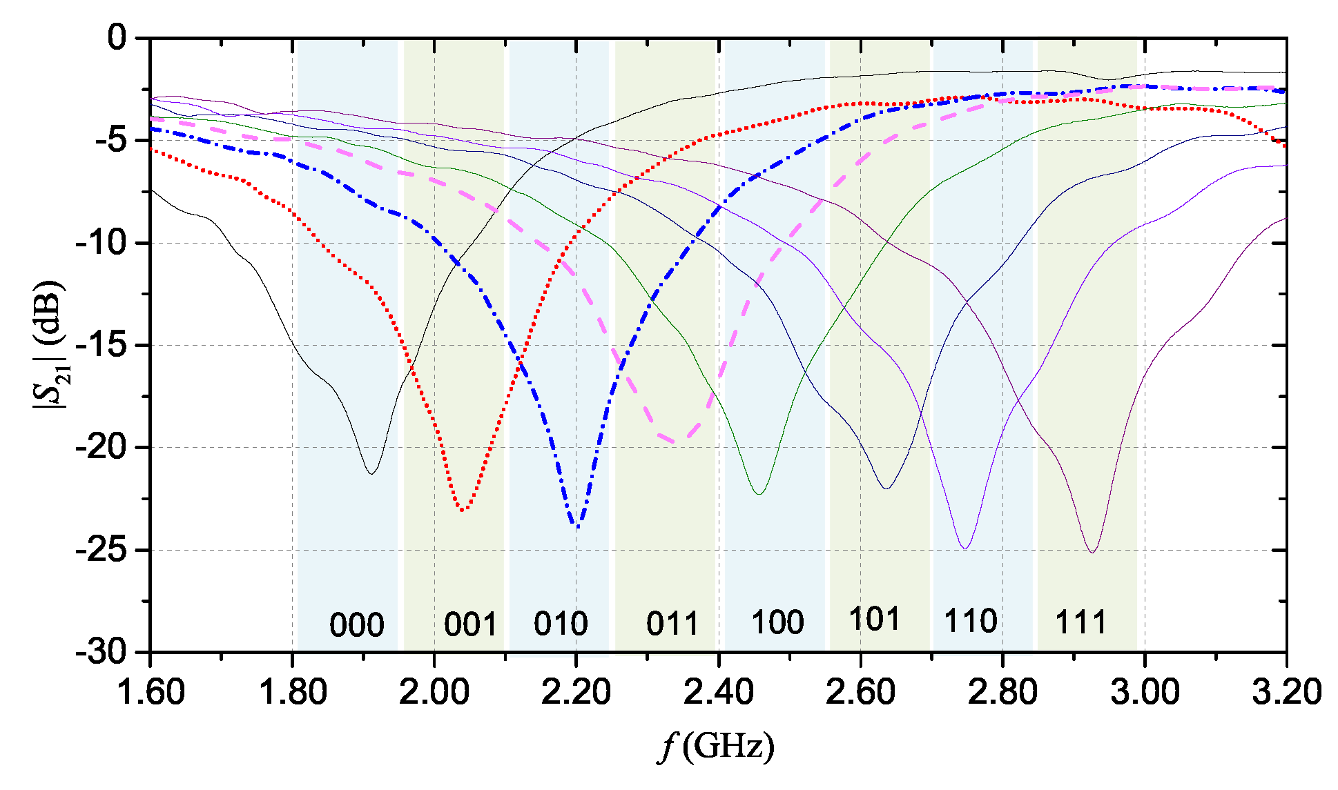
3. Experimental Characterization
4. Effect of the Environment on the Performance of the Devices
4.1. Effect of Bending
4.2. Performance of the Device in Contact with the Body
5. A Potential Application in Tracking Leather Products
6. Conclusions
Author Contributions
Funding
Conflicts of Interest
References
- Younan, M.; Houssein, E.H.; Elhoseny, M.; Ali, A.A. Challenges and recommended technologies for the industrial internet of things: A comprehensive review. Measurement 2019, 107198. [Google Scholar] [CrossRef]
- Čolaković, A.; Hadžialić, M. Internet of Things (IoT): A review of enabling technologies, challenges, and open research issues. Comput. Netw. 2018, 144, 17–39. [Google Scholar] [CrossRef]
- Jovanov, E. Wearables Meet IoT: Synergistic Personal Area Networks (SPANs). Sensors 2019, 19, 4295. [Google Scholar] [CrossRef] [PubMed]
- Xu, L.; He, W.; Li, S. Internet of things in industries: A survey. IEEE Trans. Ind. Inform. 2014, 10, 2233–2243. [Google Scholar] [CrossRef]
- Asghari, P.; Rahmani, A.; Javadi, H. Internet of Things applications: A systematic review. Comput. Netw. 2019, 148, 241–261. [Google Scholar] [CrossRef]
- Alavi, A.H.; Jiao, P.; Buttlar, W.G.; Lajnef, N. Internet of Things-enabled smart cities: State-of-the-art and future trends. Measurement 2018, 129, 589–606. [Google Scholar] [CrossRef]
- Fernández-Caramés, T.; Fraga-Lamas, P. Towards the internet-of-smart-clothing: A review on IoT wearables and garments for creating intelligent connected E-textiles. Electronics 2018, 7, 405. [Google Scholar] [CrossRef]
- Monti, G.; Corchia, L.; Tarricone, L. Textile logo antennas. In Proceedings of the Mediterranean Microwave Symposium, Marrakech, Morocco, 12–14 December 2015. [Google Scholar] [CrossRef]
- Monti, G.; Corchia, L.; De Benedetto, E.; Tarricone, L. A wearable wireless energy link for thin-film batteries charging. Int. J. Antennas Propag. 2016, 2016. [Google Scholar] [CrossRef]
- Maiolo, L.; Maita, F.; Castiello, A.; Minotti, A.; Pecora, A. Highly wearable wireless wristband for monitoring pilot cardiac activity and muscle fine movements. In Proceedings of the 4th IEEE International Workshop on Metrology for AeroSpace, MetroAeroSpace 2017, Padua, Italy, 21–23 June 2017; pp. 271–275. [Google Scholar] [CrossRef]
- Corchia, L.; Monti, G.; Tarricone, L. Durability of wearable antennas based on nonwoven conductive fabrics: Experimental study on resistance to washing and ironing. Int. J. Antennas Propag. 2018, 2018. [Google Scholar] [CrossRef]
- Atakan, R.; Tufan, H.A.; uz Zaman, S.; Cochrane, C.; Bahadir, S.K.; Koncar, V.; Kalaoglu, F. Protocol to assess the quality of transmission lines within smart textile structures. Measurement 2019, 152, 107194. [Google Scholar] [CrossRef]
- Commission, E. Smart Wearables Reflection and Orientation Paper. Technical Report. 2017. Available online: https://ec.europa.eu/digital-single-market/en/news/european-commission-seeks-input-reflection-and-orientation-paper-smart-wearables (accessed on 11 January 2020).
- Monti, G.; Corchia, L.; Tarricone, L. Logo antenna on textile materials. In Proceedings of the European Microwave Week 2014: Connecting the Future, EuMW 2014—Conference Proceedings; EuMC 2014: 44th European Microwave Conference, Rome, Italy, 6–9 October 2014; pp. 516–519. [Google Scholar] [CrossRef]
- Corchia, L.; Monti, G.; Tarricone, L. Wearable Antennas: Nontextile Versus Fully Textile Solutions. IEEE Antennas Propag. Mag. 2019, 61, 71–83. [Google Scholar] [CrossRef]
- Corchia, L.; Monti, G.; Tarricone, L. A frequency signature RFID chipless tag for wearable applications. Sensors 2019, 19, 494. [Google Scholar] [CrossRef] [PubMed]
- Hong, W.; Lim, S.; Ko, S.; Kim, Y. Optically Invisible Antenna Integrated Within an OLED Touch Display Panel for IoT Applications. IEEE Trans. Antennas Propag. 2017, 65, 3750–3755. [Google Scholar] [CrossRef]
- Salmerón, J.; Albrecht, A.; Kaffah, S.; Becherer, M.; Lugli, P.; Rivadeneyra, A. Wireless chipless system for humidity sensing. Sensors 2018, 18, 2275. [Google Scholar] [CrossRef] [PubMed]
- Corchia, L.; De Benedetto, E.; Monti, G.; Cataldo, A.; Angrisani, L.; Arpaia, P.; Tarricone, L. Radio-frequency Identification Based on Textile, Wearable, Chipless Tags for IoT Applications. In Proceedings of the 2019 IEEE International Workshop on Metrology for Industry 4.0 and IoT, MetroInd 4.0 and IoT 2019, Naples, Italy, 4–6 June 2019; pp. 1–5. [Google Scholar] [CrossRef]
- Angrisani, L.; Bonavolontà, F.; Liccardo, A.; Schiano Lo Moriello, R.; Ferrigno, L.; Laracca, M.; Miele, G. Multi-channel simultaneous data acquisition through a compressive sampling-based approach. Measurement 2014, 52, 156–172. [Google Scholar] [CrossRef]
- Angrisani, L.; Bonavolontà, F.; Moriello, R.; Andreone, A.; Casini, R.; Papari, G.; Accardo, D. First steps towards an innovative compressive sampling based-THz imaging system for early crack detection on aereospace plates. In Proceedings of the 2014 IEEE International Workshop on Metrology for Aerospace, MetroAeroSpace 2014, Benevento, Italy, 29–30 May 2014; pp. 488–493. [Google Scholar] [CrossRef]
- Angrisani, L.; Bonavolontà, F.; Tocchi, A.; Moriello, R. Frequency domain measurement node based on compressive sampling for sensors networks. In Proceedings of the 2015 IEEE International Workshop on Measurements and Networking, M and N 2015, Coimbra, Portugal, 12–13 October 2015; pp. 48–52. [Google Scholar] [CrossRef]
- Angrisani, L.; Bonavolontà, F.; Cavallo, G.; Liccardo, A.; Schiano Lo Moriello, R. On the measurement uncertainties of THz imaging systems based on compressive sampling. Measurement 2018, 116, 83–95. [Google Scholar] [CrossRef]
- Vena, A.; Moradi, E.; Koski, K.; Babar, A.; Sydanheimo, L.; Ukkonen, L.; Tentzeris, M. Design and realization of stretchable sewn chipless RFID tags and sensors for wearable applications. In Proceedings of the 2013 IEEE International Conference on RFID, RFID 2013, Penang, Malaysia, 30 April–2 May 2013; pp. 176–183. [Google Scholar] [CrossRef]
- Andriamiharivolamena, T.; Vena, A.; Perret, E.; Lemaitre-Auger, P.; Tedjini, S. Chipless identification applied to human body. In Proceedings of the 2014 IEEE RFID Technology and Applications Conference, RFID-TA 2014, Tampere, Finland, 8–9 September 2014; pp. 241–245. [Google Scholar] [CrossRef]
- Corchia, L.; Monti, G.; De Benedetto, E.; Tarricone, L. Wearable antennas for remote health care monitoring systems. Int. J. Antennas Propag. 2017, 2017, 3012341. [Google Scholar] [CrossRef]
- ADFORS Saint-Gobain. Available online: http://www.sgadfors.com/Technologies/Fabrics/Glassmat accessed on (accessed on 17 December 2019).
- Corchia, L.; Monti, G.; Tarricone, L. A Fully-Textile Chipless Tag. In Proceedings of the 2018 48th European Microwave Conference, EuMC 2018, Madrid, Spain, 1–3 October 2018; pp. 977–980. [Google Scholar] [CrossRef]
- Preradovic, S.; Balbin, I.; Karmakar, N.C.; Swiegers, G.F. Multiresonator-Based Chipless RFID System for Low-Cost Item Tracking. IEEE Trans. Microw. Theory Tech. 2009, 57, 1411–1419. [Google Scholar] [CrossRef]
- Haraz, O.M.; Ashraf, M.; Alshebili, S.; AlShareef, M.R.; Behairy, H.M. Design of UWB chipless RFID tags using 8-bit open circuit stub resonators. In Proceedings of the 2016 17th International Symposium on Antenna Technology and Applied Electromagnetics (ANTEM), Montréal, QC, Canada, 10–13 July 2016; pp. 1–2. [Google Scholar] [CrossRef]
- Liu, Y.; Yang, X. Chipless radio frequency identification tag design with modified interdigital hairpin resonators. In Proceedings of the 3rd International Conference on Intelligent Transportation, Big Data and Smart City, ICITBS 2018, Xiamen, China, 25–26 January 2018; Volume 2018, pp. 645–648. [Google Scholar] [CrossRef]
- Vena, A.; Perret, E.; Tedjini, S. Design of compact and auto-compensated single-layer chipless RFID tag. IEEE Trans. Microw. Theory Tech. 2012, 60, 2913–2924. [Google Scholar] [CrossRef]
- Cataldo, A.; Grieco, A.; Del Prete, A.; Cannazza, G.; De Benedetto, E. Innovative method for traceability of hides throughout the leather manufacturing process. Int. J. Adv. Manuf. Technol. 2016, 86, 3563–3570. [Google Scholar] [CrossRef]

















| Parameter | Dimension (mm) |
|---|---|
| 80.0 | |
| 40.0 | |
| 3.7 | |
| 18.7 | |
| 18.0 | |
| 1.2 | |
| 1.9 | |
| 2.0 |
| Parameter | Dimension (mm) |
|---|---|
| 40.00 | |
| 40.00 | |
| 3.70 | |
| 14.40 | |
| 21.60 | |
| 1.35 | |
| 1.20 |
© 2020 by the authors. Licensee MDPI, Basel, Switzerland. This article is an open access article distributed under the terms and conditions of the Creative Commons Attribution (CC BY) license (http://creativecommons.org/licenses/by/4.0/).
Share and Cite
Corchia, L.; Monti, G.; De Benedetto, E.; Cataldo, A.; Angrisani, L.; Arpaia, P.; Tarricone, L. Fully-Textile, Wearable Chipless Tags for Identification and Tracking Applications. Sensors 2020, 20, 429. https://doi.org/10.3390/s20020429
Corchia L, Monti G, De Benedetto E, Cataldo A, Angrisani L, Arpaia P, Tarricone L. Fully-Textile, Wearable Chipless Tags for Identification and Tracking Applications. Sensors. 2020; 20(2):429. https://doi.org/10.3390/s20020429
Chicago/Turabian StyleCorchia, Laura, Giuseppina Monti, Egidio De Benedetto, Andrea Cataldo, Leopoldo Angrisani, Pasquale Arpaia, and Luciano Tarricone. 2020. "Fully-Textile, Wearable Chipless Tags for Identification and Tracking Applications" Sensors 20, no. 2: 429. https://doi.org/10.3390/s20020429
APA StyleCorchia, L., Monti, G., De Benedetto, E., Cataldo, A., Angrisani, L., Arpaia, P., & Tarricone, L. (2020). Fully-Textile, Wearable Chipless Tags for Identification and Tracking Applications. Sensors, 20(2), 429. https://doi.org/10.3390/s20020429

