Characteristics Research of a High Sensitivity Piezoelectric MOSFET Acceleration Sensor
Abstract
1. Introduction
2. Basic Structure and Operating Principle
2.1. Basic Structure
2.2. Operating Principle
3. Fabrication Technology
4. Results and Discussion
4.1. Test System
4.2. Frequency Characteristic of the Piezoelectric Beam
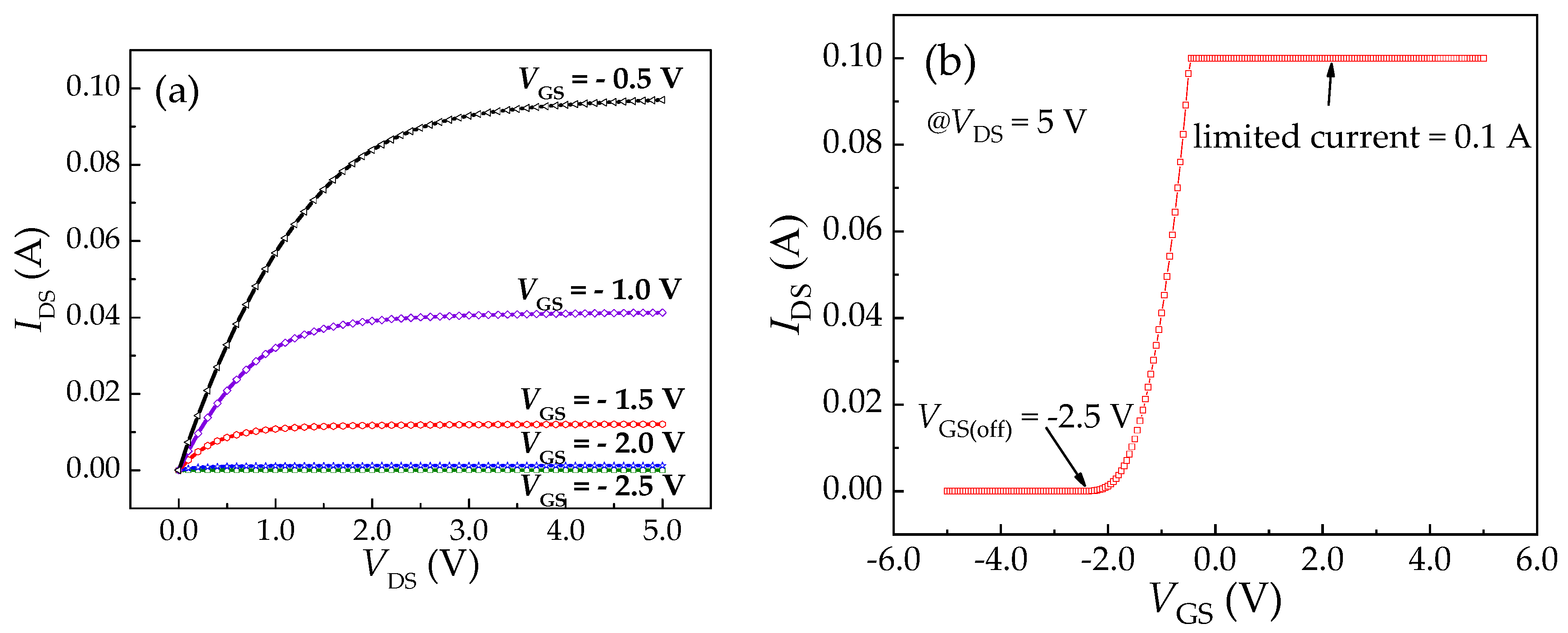
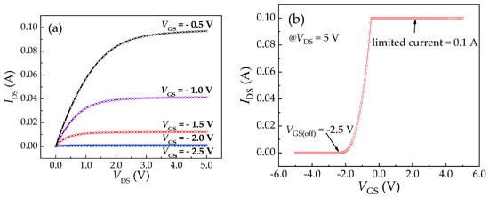
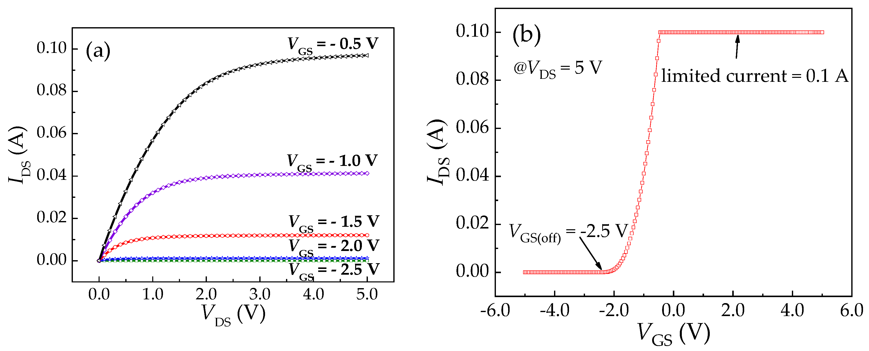
4.3. IDS-VDS Characteristic of MOSFET with Piezoelectric Beam
4.4. Sensitivity Characteristic of PMAS
5. Conclusions
Author Contributions
Funding
Conflicts of Interest
References
- Krishnamoorthy, U.; Olsson, R.H.; Bogart, G.R.; Baker, M.S.; Carr, D.W.; Swiler, T.P.; Clews, P.J. In-plane MEMS-based nano-g accelerometer with sub-wavelength optical resonant sensor. Sens. Actuator A Phys. 2008, 145, 283–290. [Google Scholar] [CrossRef]
- Xu, R.; Zhou, S.; Li, W.J. MEMS Accelerometer Based Nonspecific-User Hand Gesture Recognition. IEEE Sens. J. 2012, 12, 1166–1173. [Google Scholar] [CrossRef]
- Hongwei, Q.; Deyou, F.; Huikai, X. A Monolithic CMOS-MEMS 3-Axis Accelerometer With a Low-Noise, Low-Power Dual-Chopper Amplifier. IEEE Sens. J. 2008, 8, 1511–1518. [Google Scholar] [CrossRef]
- Pak, M.; Fernandez, F.V.; Dundar, G. A novel design methodology for the mixed-domain optimization of a MEMS accelerometer. Integration 2018, 62, 314–321. [Google Scholar] [CrossRef]
- Gesing, A.L.; Masson, Z.N.; Arellano, D.C.; Alves, F.; Paul, S.; Cordioli, J.A. Middle Ear Ossicular Chain Vibration Detection by Means of an Optimized MEMS Piezoelectric Accelerometer. IEEE Sens. J. 2019, 19, 2079–2086. [Google Scholar] [CrossRef]
- Yang, J.; Zhang, M.; He, Y.; Su, Y.; Han, G.; Si, C.; Ning, J.; Yang, F.; Wang, X. A Resonant Z-Axis Aluminum Nitride Thin-Film Piezoelectric MEMS Accelerometer. Micromachines 2019, 10, 589. [Google Scholar] [CrossRef]
- Wang, S.; Wei, X.; Zhao, Y.; Jiang, Z.; Shen, Y. A MEMS resonant accelerometer for low-frequency vibration detection. Sens. Actuator A Phys. 2018, 283, 151–158. [Google Scholar] [CrossRef]
- Shi, Y.; Zhao, Y.; Feng, H.; Cao, H.; Tang, J.; Li, J.; Zhao, R.; Liu, J. Design, fabrication and calibration of a high-G MEMS accelerometer. Sens. Actuator A Phys. 2018, 279, 733–742. [Google Scholar] [CrossRef]
- Xu, J.; Bertke, M.; Li, X.; Mu, H.; Zhou, H.; Yu, F.; Hamdana, G.; Schmidt, A.; Bremers, H.; Peiner, E. Fabrication of ZnO nanorods and Chitosan@ZnO nanorods on MEMS piezoresistive self-actuating silicon microcantilever for humidity sensing. Sens. Actuators B Chem. 2018, 273, 276–287. [Google Scholar] [CrossRef]
- Zhao, Y.; Li, X.; Liang, J.; Jiang, Z. Design, fabrication and experiment of a MEMS piezoresistive high-g accelerometer. J. Mech. Sci. Technol. 2013, 27, 831–836. [Google Scholar] [CrossRef]
- Liu, H.; Fang, R.; Miao, M.; Zhang, Y.; Yan, Y.; Tang, X.; Lu, H.; Jin, Y. Design, Fabrication, and Performance Characterization of LTCC-Based Capacitive Accelerometers. Micromachines 2018, 9, 120. [Google Scholar] [CrossRef] [PubMed]
- Wang, Y.-H.; Song, P.; Li, X.; Ru, C.; Ferrari, G.; Balasubramanian, P.; Amabili, M.; Sun, Y.; Liu, X. A Paper-Based Piezoelectric Accelerometer. Micromachines 2018, 9, 19. [Google Scholar] [CrossRef] [PubMed]
- Zou, Q.; Tan, W.; Kim, E.S.; Loeb, G.E. Single-and Triaxis Piezoelectric-Bimorph Accelerometers. J. Microelectromech. Syst. 2008, 17, 45–57. [Google Scholar] [CrossRef]
- Zhao, X.; Wang, Y.; Wen, D. Fabrication and Characteristics of a SOI Three-Axis Acceleration Sensor Based on MEMS Technology. Micromachines 2019, 10, 238. [Google Scholar] [CrossRef]
- Hu, X.; Mackowiak, P.; Bauscher, M.; Ehrmann, O.; Lang, K.D.; Schneider-Ramelow, M.; Linke, S.; Ngo, H.D. Design and Application of a High-G Piezoresistive Acceleration Sensor for High-Impact Application. Micromachines 2018, 9, 266. [Google Scholar] [CrossRef] [PubMed]
- Wang, Y.; Zhao, X.; Wen, D. Fabrication and Characteristics of a Three-Axis Accelerometer with Double L-Shaped Beams. Sensors 2020, 20, 1780. [Google Scholar] [CrossRef]
- Won, D.J.; Huh, M.; Lee, S.; Park, U.; Yoo, D.; Kim, J. Capacitive-Type Two-Axis Accelerometer with Liquid-Type Proof Mass. Adv. Electron. Mater. 2020, 6. [Google Scholar] [CrossRef]
- Mukhiya, R.; Agarwal, P.; Badjatya, S.; Garg, M.; Gaikwad, P.; Sinha, S.; Singh, A.K.; Gopal, R. Design, modelling and system level simulations of DRIE-based MEMS differential capacitive accelerometer. Microsyst. Technol. 2019, 25, 3521–3532. [Google Scholar] [CrossRef]
- Zhang, H.; Wei, X.; Ding, Y.; Jiang, Z.; Ren, J. A low noise capacitive MEMS accelerometer with anti-spring structure. Sens. Actuator A Phys. 2019, 296, 79–86. [Google Scholar] [CrossRef]
- Scheeper, P.; Gulløv, J.O.; Kofoed, L.M. A piezoelectric triaxial accelerometer. J. Micromech. Microeng. 1996, 6, 131–133. [Google Scholar] [CrossRef]
- Ghoddus, H.; Kordrostami, Z.; Amiri, P. Performance enhancement of MEMS-guided four beam piezoelectric transducers for energy harvesting and acceleration sensing. Int. J. Mod. Phys. B 2019, 33. [Google Scholar] [CrossRef]
- Tsai, C.C.; Chien, Y.C.; Hong, C.S.; Chu, S.Y.; Wei, C.L.; Liu, Y.H.; Kao, H.Y. Study of Pb(Zr 0.52 Ti 0.48 )O3 microelectromechanical system piezoelectric accelerometers for health monitoring of mechanical motors. J. Am. Ceram. Soc. 2019, 102, 4056–4066. [Google Scholar] [CrossRef]
- Zhang, D.; Liu, J.; Qin, L.; Liu, J.; Li, M. Multiparameter Modeling of Piezoelectric Six-Degree-of-Freedom Accelerometer About Sensitivity Characteristics. IEEE Sens. J. 2020, 20, 7129–7137. [Google Scholar] [CrossRef]
- Wang, Y.; Ding, H.; Le, X.; Wang, W.; Xie, J. A MEMS piezoelectric in-plane resonant accelerometer based on aluminum nitride with two-stage microleverage mechanism. Sens. Actuators A Phys. 2017, 254, 126–133. [Google Scholar] [CrossRef]
- Ramany, K.; Shankararajan, R.; Savarimuthu, K.; Elumalai, P.; Rajamanickam, G.; Narendhiran, S.; Perumalsamy, R. Experimental Study of Different Vanadium Dopant Concentrations in ZnO Nanorods for a Low Frequency Piezoelectric Accelerometer. J. Electron. Mater. 2019, 48, 5310–5322. [Google Scholar] [CrossRef]
- Ai, C.; Zhao, X.; Li, S.; Li, Y.; Bai, Y.; Wen, D. Fabrication and Characteristic of a Double Piezoelectric Layer Acceleration Sensor Based on Li-Doped ZnO Thin Film. Micromachines 2019, 10, 331. [Google Scholar] [CrossRef]
- Zhang, W.; Meng, G. Nonlinear dynamical system of micro-cantilever under combined parametric and forcing excitations in MEMS. Sens. Actuator A Phys. 2005, 119, 291–299. [Google Scholar] [CrossRef]
- Ahn, Y.; Guckel, H.; Zook, J.D. Capacitive microbeam resonator design. J. Micromech. Microeng. 2001, 11, 70–80. [Google Scholar] [CrossRef]
- Arias, F.J.; De Las Heras, S. The use of compliant surfaces for harvesting energy from water streams. Energy 2019, 189. [Google Scholar] [CrossRef]
- Tan, Z.-Q.; Chen, Y.-C. Size-dependent electro-thermo-mechanical analysis of multilayer cantilever microactuators by Joule heating using the modified couple stress theory. Compos. Part B Eng. 2019, 161, 183–189. [Google Scholar] [CrossRef]
- Xu, Z.; Huang, H.; Dong, J. A stick-slip piezoelectric actuator with measurable contact force. Mech. Syst. Signal Process. 2020, 144. [Google Scholar] [CrossRef]
- Joshi, S.; Nayak, M.M.; Rajanna, K. Evaluation of Transverse Piezoelectric Coefficient of ZnO Thin Films Deposited on Different Flexible Substrates: A Comparative Study on the Vibration Sensing Performance. ACS Appl. Mater. Interfaces 2014, 6, 7108–7116. [Google Scholar] [CrossRef] [PubMed]
- Shih, W.Y.; Li, X.; Gu, H.; Shih, W.-H.; Aksay, I.A. Simultaneous liquid viscosity and density determination with piezoelectric unimorph cantilevers. J. Appl. Phys. 2001, 89, 1497–1505. [Google Scholar] [CrossRef]
- Shen, D.; Park, J.-H.; Noh, J.H.; Choe, S.-Y.; Kim, S.-H.; Wikle, H.C.; Kim, D.-J. Micromachined PZT cantilever based on SOI structure for low frequency vibration energy harvesting. Sens. Actuator A Phys. 2009, 154, 103–108. [Google Scholar] [CrossRef]
- Shen, D.; Park, J.-H.; Ajitsaria, J.; Choe, S.-Y.; Wikle, H.C.; Kim, D.-J. The design, fabrication and evaluation of a MEMS PZT cantilever with an integrated Si proof mass for vibration energy harvesting. J. Micromech. Microeng. 2008, 18. [Google Scholar] [CrossRef]
- Ortiz-Conde, A.; Sucre-González, A.; Zárate-Rincón, F.; Torres-Torres, R.; Murphy-Arteaga, R.S.; Liou, J.J.; García-Sánchez, F.J. A review of DC extraction methods for MOSFET series resistance and mobility degradation model parameters. Microelectron. Reliab. 2017, 69, 1–16. [Google Scholar] [CrossRef]
- Song, M.; Liu, Y.; Yu, A.; Zhang, Y.; Zhai, J.; Wang, Z.L. Flexible Li-doped ZnO piezotronic transistor array for in-plane strain mapping. Nano Energy 2019, 55, 341–347. [Google Scholar] [CrossRef]
- Yaghootkar, B.; Azimi, S.; Bahreyni, B. A High-Performance Piezoelectric Vibration Sensor. IEEE Sens. J. 2017, 17, 4005–4012. [Google Scholar] [CrossRef]
- Ramany, K.; Shankararajan, R.; Savarimuthu, K.; Elumalai, P.; Rajamanickam, G.; Narendhiran, S.; Perumalsamy, R. Comparative study on hydrothermally synthesized undoped and Vanadium doped Zinc Oxide nanorods for nanoelectromechanical systems low-frequency accelerometer application. Thin Solid Films 2019, 680, 60–66. [Google Scholar] [CrossRef]
- Roy, A.L.; Sarkar, H.; Dutta, A.; Bhattacharyya, T.K. A high precision SOI MEMS–CMOS ±4g piezoresistive accelerometer. Sens. Actuator A Phys. 2014, 210, 77–85. [Google Scholar] [CrossRef]
- Huang, S.; Li, X.; Song, Z.; Wang, Y.; Yang, H.; Che, L.; Jiao, J. A high-performance micromachined piezoresistive accelerometer with axially stressed tiny beams. J. Micromech. Microeng. 2005, 15, 993–1000. [Google Scholar] [CrossRef]











| E (GPa) | ρ (Kg/m3) | π | lb (μm) | wb (μm) | hb (μm) | lm (μm) | wm (μm) | hm (μm) |
|---|---|---|---|---|---|---|---|---|
| 190 | 2330 | 3.14 | 6000 | 2400 | 80 | 1000 | 2700 | 395 |
| Transduction | Material | Die Area (mm2) | Sensitivity (V/g) | Reference |
|---|---|---|---|---|
| Piezoelectric | Li doped ZnO | 9.8 × 5.8 | 2.05 at resonance frequency | this work |
| Piezoelectric | AlN | 2.3 × 2.3 | 0.355 | [38] |
| Piezoelectric | V doped ZnO | - | 3.528 at resonance frequency | [25] |
| Piezoelectric | V doped ZnO | - | 1.9 at resonance frequency | [39] |
| piezoresistive | Si | 3.5 × 3.5 | 0.004 | [40] |
| piezoresistive | Si | 2 × 2 | 0.106 | [41] |
© 2020 by the authors. Licensee MDPI, Basel, Switzerland. This article is an open access article distributed under the terms and conditions of the Creative Commons Attribution (CC BY) license (http://creativecommons.org/licenses/by/4.0/).
Share and Cite
Ai, C.; Zhao, X.; Wen, D. Characteristics Research of a High Sensitivity Piezoelectric MOSFET Acceleration Sensor. Sensors 2020, 20, 4988. https://doi.org/10.3390/s20174988
Ai C, Zhao X, Wen D. Characteristics Research of a High Sensitivity Piezoelectric MOSFET Acceleration Sensor. Sensors. 2020; 20(17):4988. https://doi.org/10.3390/s20174988
Chicago/Turabian StyleAi, Chunpeng, Xiaofeng Zhao, and Dianzhong Wen. 2020. "Characteristics Research of a High Sensitivity Piezoelectric MOSFET Acceleration Sensor" Sensors 20, no. 17: 4988. https://doi.org/10.3390/s20174988
APA StyleAi, C., Zhao, X., & Wen, D. (2020). Characteristics Research of a High Sensitivity Piezoelectric MOSFET Acceleration Sensor. Sensors, 20(17), 4988. https://doi.org/10.3390/s20174988
