Smart Graphite–Cement Composite for Roadway-Integrated Weigh-In-Motion Sensing
Abstract
1. Introduction
2. Materials and Methods
2.1. Materials
2.2. Samples Characteristics
2.3. Experimental Methodology
3. Evaluation of Electrical Properties of the Composites: Percolation Threshold
3.1. Analytical Investigation
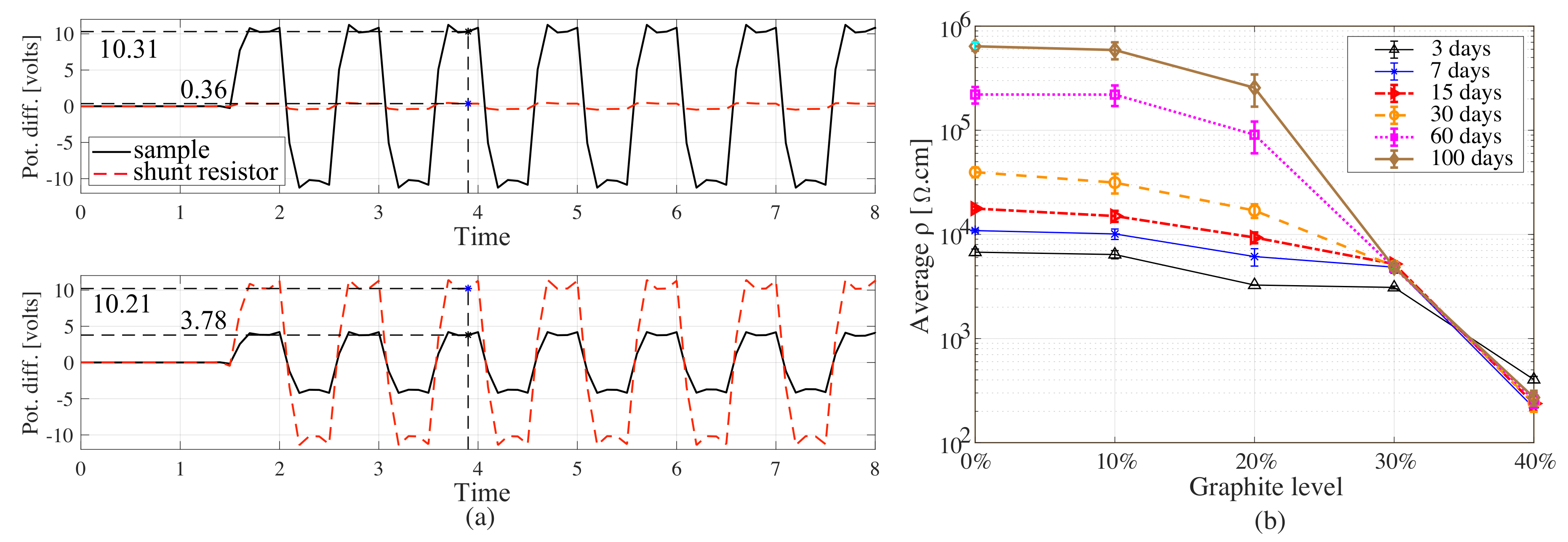
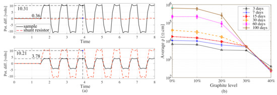
3.2. Experimental Investigation
4. Sensing Investigation of Graphite–Cement Composites
5. Mechanical Properties of Graphite–Cement Composites
6. Self-Monitoring Investigation of a Cementitious Plate Element with Graphite
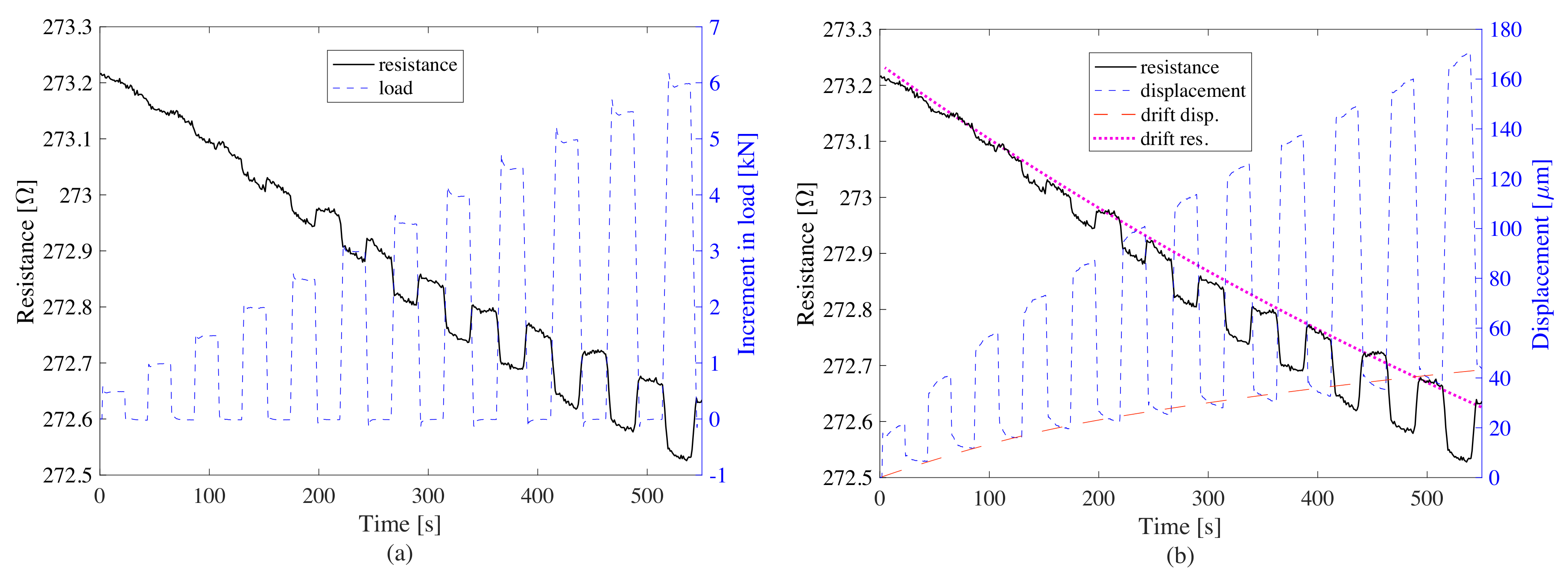
6.1. Investigation of the Polarization Behavior
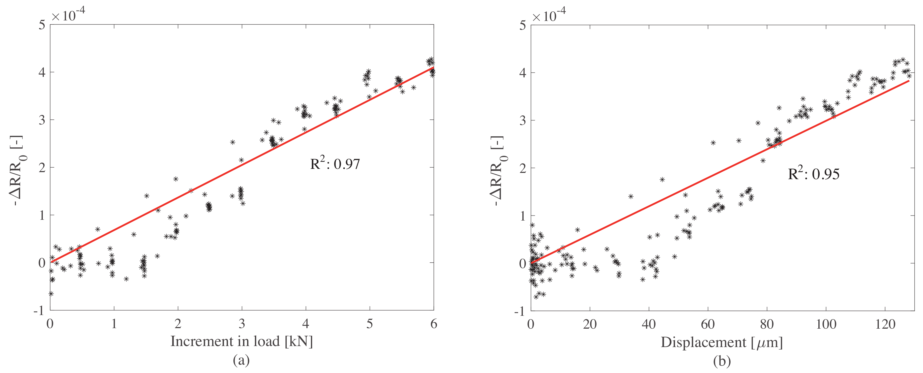
6.2. Evaluation of the Plate Sensitivity to Load Tracking
6.3. Discussion
7. Conclusions
Author Contributions
Funding
Conflicts of Interest
References
- Galao, O.; Bañón, L.; Baeza, F.J.; Carmona, J.; Garcés, P. Highly conductive carbon fiber reinforced concrete for icing prevention and curing. Materials 2016, 9, 281. [Google Scholar] [CrossRef]
- Lu, S.N.; Xie, N.; Feng, L.C.; Zhong, J. Applications of nanostructured carbon materials in constructions: The state of the art. J. Nanomater. 2015, 2015. [Google Scholar] [CrossRef]
- Baeza, F.; Galao, O.; Zornoza, E.; Garcés, P. Multifunctional Cement Composites Strain and Damage Sensors Applied on Reinforced Concrete (RC) Structural Elements. Materials 2013, 6, 841–855. [Google Scholar] [CrossRef] [PubMed]
- Laflamme, S.; Ubertini, F. Back-to-Basics: Self-Sensing Materials for Nondestructive Evaluation. Mater. Eval. 2020, 78, 526–536. [Google Scholar]
- Dong, W.; Li, W.; Tao, Z.; Wang, K. Piezoresistive properties of cement-based sensors: Review and perspective. Constr. Build. Mater. 2019, 203, 146–163. [Google Scholar] [CrossRef]
- García-Macías, E.; Castro-Triguero, R.; Sáez, A.; Ubertini, F. 3D mixed micromechanics-FEM modeling of piezoresistive carbon nanotube smart concrete. Comput. Meth. Appl. Mech. Eng. 2018, 340, 396–423. [Google Scholar] [CrossRef]
- Ubertini, F.; Laflamme, S.; D’Alessandro, A. Smart cement paste with carbon nanotubes. In Innovative Developments of Advanced Multifunctional Nanocomposites in Civil and Structural Engineering; Elsevier: Cambridge, UK, 2016; pp. 97–120. [Google Scholar]
- Nam, I.; Souri, H.; Lee, H.K. Percolation threshold and piezoresistive response of multi-wall carbon nanotube/cement composites. Smart Struct. Syst. 2016, 18, 217–231. [Google Scholar] [CrossRef]
- Meoni, A.; D’Alessandro, A.; Downey, A.; García-Macías, E.; Rallini, M.; Materazzi, A.L.; Torre, L.; Laflamme, S.; Castro-Triguero, R.; Ubertini, F. An experimental study on static and dynamic strain sensitivity of embeddable smart concrete sensors doped with carbon nanotubes for SHM of large structures. Sensors 2018, 18, 831. [Google Scholar] [CrossRef]
- Komori, T.; Makishima, K. Numbers of Fiber-to-Fiber Contacts in General Fiber Assemblies. Text. Res. J. 1977, 47, 13–17. [Google Scholar] [CrossRef]
- Kumar, V.; Rawal, A. Tuning the electrical percolation threshold of polymer nanocomposites with rod-like nanofillers. Polymer 2016, 97, 295–299. [Google Scholar] [CrossRef]
- Vovchenko, L.; Vovchenko, V. Simulation of percolation threshold in composites filled with conducting particles of various morphologies. Mater. Werkst. 2011, 42, 70–74. [Google Scholar] [CrossRef]
- Oskouyi, A.; Sundararaj, U.; Mertiny, P. Tunneling Conductivity and Piezoresistivity of Composites Containing Randomly Dispersed Conductive Nano-Platelets. Materials 2014, 7, 2501–2521. [Google Scholar] [CrossRef] [PubMed]
- Han, B.; Yu, X.; Kwon, E.; Ou, J. Piezoresistive Multi-Walled Carbon Nanotubes Filled Cement-Based Composites. Sens. Lett. 2010, 8, 344–348. [Google Scholar] [CrossRef]
- Yu, X.; Kwon, E. Carbon-nanotube/cement composite with piezoresistive property. Smart Mater. Struct. 2009, 18, 55010. [Google Scholar] [CrossRef]
- D’Alessandro, A.; Ubertini, F.; Laflamme, S.; Rallini, M.; Materazzi, A.L.; Kenny, J.M. Strain sensitivity of carbon nanotube cement-based composites for structural health monitoring. Proc. SPIE 2016, 980319. [Google Scholar] [CrossRef]
- Pisello, A.L.; D’Alessandro, A.; Sambuco, S.; Rallini, M.; Ubertini, F.; Asdrubali, F.; Materazzi, A.L.; Cotana, F. Multipurpose experimental characterization of smart nanocomposite cement-based materials for thermal-energy efficiency and strain-sensing capability. Sol. Energy Mater. Sol. Cells 2017, 161, 77–88. [Google Scholar] [CrossRef]
- Rao, R.; Sindu, B.; Sasmal, S. Synthesis, design and piezo-resistive characteristics of cementitious smart nanocomposites with different types of functionalized MWCNTs under long cyclic loading. Cem. Concr. Compos. 2020, 108, 103517. [Google Scholar] [CrossRef]
- Monteiro, A.O.; Cachim, P.B.; Costa, P.M. Self-sensing piezoresistive cement composite loaded with carbon black particles. Cem. Concr. Compos. 2017, 81, 59–65. [Google Scholar] [CrossRef]
- Han, B.; Ou, J. Embedded piezoresistive cement-based stress/strain sensor. Sens. Actuators A 2007, 138, 294–298. [Google Scholar] [CrossRef]
- Laflamme, S.; Eisenmann, D.; Wang, K.; Ubertini, F.; Pinto, I.; DeMoss, A. Smart Concrete for Enhanced Nondestructive Evaluation. Mater. Eval. 2018, 76, 1395–1404. [Google Scholar]
- Monteiro, A.; Costa, P.; Oeser, M.; Cachim, P. Dynamic sensing properties of a multifunctional cement composite with carbon black for traffic monitoring. Smart Mater. Struct. 2020, 29, 025023. [Google Scholar] [CrossRef]
- Tao, J.; Wang, X.; Wang, Z.; Zeng, Q. Graphene nanoplatelets as an effective additive to tune the microstructures and piezoresistive properties of cement-based composites. Constr. Build. Mater. 2019, 209, 665–678. [Google Scholar] [CrossRef]
- Shi, Z.Q.; Chung, D. Carbon fiber-reinforced concrete for traffic monitoring and weighing in motion. Cem. Concr. Res. 1999, 29, 435–439. [Google Scholar] [CrossRef]
- Azhari, F.; Banthia, N. Cement-based sensors with carbon fibers and carbon nanotubes for piezoresistive sensing. Cem. Concr. Compos. 2012, 34, 866–873. [Google Scholar] [CrossRef]
- Han, B.; Han, B.; Ou, J. Experimental study on use of nickel powder-filled Portland cement-based composite for fabrication of piezoresistive sensors with high sensitivity. Sens. Actuators A 2009, 149, 51–55. [Google Scholar] [CrossRef]
- Han, B.; Zhang, K.; Yu, X.; Kwon, E.; Ou, J. Nickel particle-based self-sensing pavement for vehicle detection. Measurement 2011, 44, 1645–1650. [Google Scholar] [CrossRef]
- Garlof, S.; Fukuda, T.; Mecklenburg, M.; Smazna, D.; Mishra, Y.K.; Adelung, R.; Schulte, K.; Fiedler, B. Electro-mechanical piezoresistive properties of three dimensionally interconnected carbon aerogel (Aerographite)-epoxy composites. Compos. Sci. Technol. 2016, 134, 226–233. [Google Scholar] [CrossRef]
- Vipulanandan, C.; Ali, K. Smart Cement Grouts for Repairing Damaged Piezoresistive Cement and Performance Prediction Using Vipulanandan Models. J. Mater. Civ. Eng. 2018, 30, 04018253. [Google Scholar] [CrossRef]
- Kolatar, Ö.K.; Teomete, E.; Kahraman, S. The Strain Sensitivity of Coal Reinforced Smart Concrete by Piezoresistive Effect. Teknik Dergi 2022, 33. [Google Scholar] [CrossRef]
- Wen, S.; Chung, D. Partial replacement of carbon fiber by carbon black in multifunctional cement–matrix composites. Carbon 2007, 45, 505–513. [Google Scholar] [CrossRef]
- Yin, T.; Xu, J.; Wang, Y.; Liu, L. Increasing self-sensing capability of carbon nanotubes cement-based materials by simultaneous addition of Ni nanofibers with low content. Constr. Build. Mater. 2020, 254, 119306. [Google Scholar] [CrossRef]
- Wang, X.; Wang, J.; Biswas, S.; Kim, H.; Nam, I. Mechanical, Electrical, and Piezoresistive Sensing Characteristics of Epoxy-Based Composites Incorporating Hybridized Networks of Carbon Nanotubes, Graphene, Carbon Nanofibers, or Graphite Nanoplatelets. Sensors 2020, 20, 2094. [Google Scholar] [CrossRef] [PubMed]
- Kim, H.; Nam, I.W.; Lee, H.K. Enhanced effect of carbon nanotube on mechanical and electrical properties of cement composites by incorporation of silica fume. Compos. Struct. 2014, 107, 60–69. [Google Scholar] [CrossRef]
- Han, B.; Yu, X.; Kwon, E. A self-sensing carbon nanotube/cement composite for traffic monitoring. Nanotechnology 2009, 20, 445501. [Google Scholar] [CrossRef] [PubMed]
- Monteiro, A.; Loredo, A.; Costa, P.; Oeser, M.; Cachim, P. A pressure-sensitive carbon black cement composite for traffic monitoring. Constr. Build. Mater. 2017, 154, 1079–1086. [Google Scholar] [CrossRef]
- Sengupta, R.; Bhattacharya, M.; Bandyopadhyay, S.; Bhowmick, A.K. A review on the mechanical and electrical properties of graphite and modified graphite reinforced polymer composites. Prog. Polym. Sci. 2011, 36, 638–670. [Google Scholar] [CrossRef]
- Frattini, D.; Accardo, G.; Ferone, C.; Cioffi, R. Fabrication and characterization of graphite-cement composites for microbial fuel cells applications. Mater. Res. Bull. 2017, 88, 188–199. [Google Scholar] [CrossRef]
- Climent, M.Á.; Carmona, J.; Garcés, P. Graphite–Cement Paste: A new coating of reinforced concrete structural elements for the application of electrochemical anti-corrosion treatments. Coatings 2016, 6, 32. [Google Scholar] [CrossRef]
- Frąc, M.; Pichór, W. Piezoresistive properties of cement composites with expanded graphite. Compos. Commun. 2020, 19, 99–102. [Google Scholar] [CrossRef]
- Jacob, B.; Feypell-de La Beaumelle, V. Improving truck safety: Potential of weigh-in-motion technology. IATSS Res. 2010, 34, 9–15. [Google Scholar] [CrossRef]
- Chung, D.D. Multifunctional Cement-Based Materials; CRC Press: New York, NY, USA, 2018; pp. 121–149. [Google Scholar]
- Viculis, L.M.; Mack, J.J.; Mayer, O.M.; Hahn, H.T.; Kaner, R.B. Intercalation and exfoliation routes to graphite nanoplatelets. J. Mater. Chem. 2005, 15, 974–978. [Google Scholar] [CrossRef]
- Li, H.; Gang Xiao, H.; Ping Ou, J. Effect of compressive strain on electrical resistivity of carbon black-filled cement-based composites. Cem. Concr. Compos. 2006, 28, 824–828. [Google Scholar] [CrossRef]
- Kim, H.; Park, I.; Lee, H. Improved piezoresistive sensitivity and stability of CNT/cement mortar composites with low water–binder ratio. Compos. Struct. 2014, 116, 713–719. [Google Scholar] [CrossRef]
- Zhang, L.; Ding, S.; Han, B.; Yu, X.; Ni, Y.Q. Effect of water content on the piezoresistive property of smart cement-based materials with carbon nanotube/nanocarbon black composite filler. Compos. Part A 2019, 119, 8–20. [Google Scholar] [CrossRef]
- Han, B.; Zhang, K.; Yu, X.; Kwon, E.; Ou, J. Fabrication of piezoresistive CNT/CNF cementitious composites with superplasticizer as dispersant. J. Mater. Civ. Eng. 2011, 24, 658–665. [Google Scholar] [CrossRef]
- González-Segura, K.; Cañete-Rosales, P.; Del Rio, R.; Yáñez, C.; Ferreyra, N.F.; Rivas, G.A.; Bollo, S. Effect of the dispersing agent on the electrochemical response of glassy carbon electrodes modified with dispersions of carbon nanotubes. Electroanalysis 2012, 24, 2317–2323. [Google Scholar] [CrossRef]
- Dalla, P.T.; Alafogianni, P.; Tragazikis, I.K.; Exarchos, D.A.; Dassios, K.; Barkoula, N.M.; Matikas, T.E. The effect of different surfactants/plastisizers on the electrical behavior of CNT nano-modified cement mortars. In Proceedings of the Smart Sensor Phenomena, Technology, Networks, and Systems Integration, San Diego, CA, USA, 9–10 March 2015; Volume 9436, pp. 161–168. [Google Scholar]
- Birgin, H.B.; Laflamme, S.; D’Alessandro, A.; Garcia-Macias, E.; Ubertini, F. A Weigh-in-Motion Characterization Algorithm for Smart Pavements Based on Conductive Cementitious Materials. Sensors 2020, 20, 659. [Google Scholar] [CrossRef]
- Downey, A.; D’Alessandro, A.; Ubertini, F.; Laflamme, S.; Geiger, R. Biphasic DC measurement approach for enhanced measurement stability and multi-channel sampling of self-sensing multi-functional structural materials doped with carbon-based additives. Smart Mater. Struct. 2017, 26, 065008. [Google Scholar] [CrossRef]
- European Committee for Standardisation. Eurocode 1: Actions on Structures–Part 2: Traffic Loads on Bridges; EN 1991-2; European Committee for Standardisation: Brussels, Belgium, 2003; pp. 45–53. [Google Scholar]
- Ezquerra, T.; Connor, M.; Roy, S.; Kulescza, M.; Fernandes-Nascimento, J.; Baltá-Calleja, F. Alternating-current electrical properties of graphite, carbon-black and carbon-fiber polymeric composites. Compos. Sci. Technol. 2001, 61, 903–909. [Google Scholar] [CrossRef]
- Zou, J.F.; Yu, Z.Z.; Pan, Y.X.; Fang, X.P.; Ou, Y.C. Conductive mechanism of polymer/graphite conducting composites with low percolation threshold. J. Polym. Sci. Part B Polym. Phys. 2002, 40, 954–963. [Google Scholar] [CrossRef]
- Xu, L. Typical Values of Young’s Elastic Modulus and Poisson’s Ratio for Pavement Materials. Available online: http://www.academia.edu (accessed on 8 April 2020).
- Downey, A.; D’Alessandro, A.; Baquera, M.; García-Macías, E.; Rolfes, D.; Ubertini, F.; Laflamme, S.; Castro-Triguero, R. Damage detection, localization and quantification in conductive smart concrete structures using a resistor mesh model. Eng. Struct. 2017, 148, 924–935. [Google Scholar] [CrossRef]














| Component | Resistivity ( cm) | Density (g/cm) | Component Weight (g) | ||||
|---|---|---|---|---|---|---|---|
| Cement-Dry | – | 1.5 | 636 | 636 | 636 | 636 | 636 |
| Tap water | 2000 | 1.0 | 318 | 318 | 318 | 350 | 350 |
| Graphite | 3–5 | 1.2 | 0 | 64 | 127 | 191 | 254 |
| Weight fraction of graphite to cement (graphite-to-cement) | 0% | 10% | 20% | 30% | 40% | ||
| Volume fraction of graphite | 0% | 6.7% | 12.2% | 17.3% | 21.8% | ||
| Graphite % | 0% | 10% | 20% | 30% | 40% | ||||||||||
|---|---|---|---|---|---|---|---|---|---|---|---|---|---|---|---|
| Sample # | 1 | 2 | 3 | 1 | 2 | 3 | 1 | 2 | 3 | 1 | 2 | 3 | 1 | 2 | 3 |
| 31 | 247 | 88 | 213 | 123 | 124 | 422 | 237 | 200 | 160 | 72 | 254 | 794 | 170 | 296 | |
| Average | 122 | 153 | 286 | 162 | 420 | ||||||||||
| 95% fit interval | 27 | 13 | 23 | 12 | 11 | 9 | 44 | 17 | 13 | 31 | 39 | 38 | 110 | 44 | 83 |
| Average 95% int. | 21 | 11 | 25 | 36 | 79 | ||||||||||
| Linearity, (%) | 19 | 98 | 51 | 95 | 78 | 91 | 79 | 91 | 90 | 31 | 29 | 38 | 69 | 81 | 60 |
| Average Linearity | 56 | 88 | 87 | 33 | 70 | ||||||||||
| Graphite | 0% | 10% | 20% | 30% | 40% | |||||
|---|---|---|---|---|---|---|---|---|---|---|
| min | avg | min | avg | min | avg | min | avg | min | avg | |
| E (GPa) | 21 | 22 | 16 | 19 | 20 | 24 | 16 | 17 | 9 | 11 |
| Component | Quantity (g) |
|---|---|
| Cement | 3500 |
| Graphite | 700 |
| Tap Water | 1750 |
© 2020 by the authors. Licensee MDPI, Basel, Switzerland. This article is an open access article distributed under the terms and conditions of the Creative Commons Attribution (CC BY) license (http://creativecommons.org/licenses/by/4.0/).
Share and Cite
Birgin, H.B.; D’Alessandro, A.; Laflamme, S.; Ubertini, F. Smart Graphite–Cement Composite for Roadway-Integrated Weigh-In-Motion Sensing. Sensors 2020, 20, 4518. https://doi.org/10.3390/s20164518
Birgin HB, D’Alessandro A, Laflamme S, Ubertini F. Smart Graphite–Cement Composite for Roadway-Integrated Weigh-In-Motion Sensing. Sensors. 2020; 20(16):4518. https://doi.org/10.3390/s20164518
Chicago/Turabian StyleBirgin, Hasan Borke, Antonella D’Alessandro, Simon Laflamme, and Filippo Ubertini. 2020. "Smart Graphite–Cement Composite for Roadway-Integrated Weigh-In-Motion Sensing" Sensors 20, no. 16: 4518. https://doi.org/10.3390/s20164518
APA StyleBirgin, H. B., D’Alessandro, A., Laflamme, S., & Ubertini, F. (2020). Smart Graphite–Cement Composite for Roadway-Integrated Weigh-In-Motion Sensing. Sensors, 20(16), 4518. https://doi.org/10.3390/s20164518

