Real-Time Monitoring Method for Layered Compaction Quality of Loess Subgrade Based on Hydraulic Compactor Reinforcement
Abstract
1. Introduction
2. Methodology
2.1. Model of Rammer Impacting Soil Mass
- (1)
- Deformation stage: after the rammer comes into contact with the soil, the rammer collides with the vibrating soil whose mass is m2, and the speed of the rammer instantaneously decreases from v11 to v12. Meanwhile, the static surface soil obtains significant impact acceleration and velocity. When it accelerates to the same speed as the rammer, it slows down along with the rammer until the velocity decreases to zero. In the process of rammer impact, there is a high concentration of stress, and the dynamic stress is transmitted to the soil at a fixed speed. The entire process follows the rules of conservation of momentum.
- (2)
- Rebound stage: when the soil is compressed, rebound deformation will appear, which will cause an upward rebound of the rammer and the impacted soil. With the increase of tamping times, the compactness and stiffness of the soil rises, and the rebound of the rammer is increasingly more obvious. Han Yunshan et al. [40] proposed that an effective impact stroke of the rammer includes subgrade plastic deformation and a small amplitude rebound deformation of the rammer. The subgrade deformation corresponding to the small rebound of the rammer is elastic deformation, and the deformation direction is upward, while the force of the rammer on the subgrade under the rammer is downward. This makes the rammer work negatively on the subgrade, and the degree of compaction is relatively reduced. However, the rebound process is relatively small and is negligible compared with the rammer displacement, so the rammer displacement is approximately equal to the rammer displacement of the soil on the surface of the subgrade.
2.2. Solution of Dynamic Balance Equation of Rammer
3. Experimental Testing
3.1. Testing site and Materials
3.2. Test Scheme
4. Results and Discussion
4.1. Displacement and Peak Acceleration of Rammer
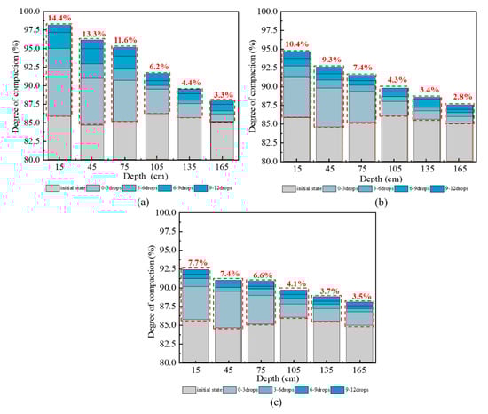
4.2. Effective Reinforcement Depth
4.3. The Relationship between Peak Acceleration and Layered Compactness
4.4. Engineering Case Analysis
5. Conclusions
- (1)
- This paper applied the hydraulic force coefficient to the impact model of hydraulic compactor reinforcing loess subgrade based on the collision theory. The dynamic balance equation of the rammer was established, then the relationship between rammer displacement and acceleration time history was obtained. Through the combination of experiment and theory, it is proved that the rammer acceleration can reflect the compaction quality of subgrade in real time.
- (2)
- Test results illustrate that the hydraulic compactor has an effective influence depth on the reinforcement of loess subgrade. The effective reinforcement depth was mainly affected by the dropping distance of the rammer, but less affected by dropping numbers.
- (3)
- In the range of effective reinforcement depth, the relationship between the layered compactness of subgrade and the peak acceleration of the rammer can be fitted as a quadratic function. Moreover, the layered compaction quality of the subgrade and the working state of the hydraulic compactor can also be remotely monitored at the PC or mobile terminal in real time.
- (4)
- The research results provide important information for real-time and remote monitoring of the layered compaction quality of loess subgrade, which significantly improves the construction accuracy and efficiency of the hydraulic compactor reinforcing the subgrade. However, it is necessary to carry out more field tests for different typical soil conditions to obtain more test data and make the method universal. The research team is currently carrying out on-site reinforcement testing of the gravel soil subgrade area, which will provide further valuable research results.
Author Contributions
Funding
Acknowledgments
Conflicts of Interest
References
- Kozubal, J.; Steshenko, D. The complex compaction method of an unstable loess substrate. Arab. J. Geosci. 2015, 8, 6189–6198. [Google Scholar] [CrossRef]
- Zhao, Q.; Ma, X.; Yao, W.; Liu, Y.; Du, Z.; Yang, P. Improved Drought Monitoring Index Using GNSS-Derived Precipitable Water Vapor over the Loess Plateau Area. Sensors 2019, 19, 5566. [Google Scholar] [CrossRef]
- Xing, X.M.; Chen, L.F.; Yuan, Z.H.; Shi, Z.N. An Improved Time-Series Model Considering Rheological Parameters for Surface Deformation Monitoring of Soft Clay Subgrade. Sensors 2019, 19, 3073. [Google Scholar] [CrossRef]
- Kodikara, J.; Islam, T.; Sounthararajah, A. Review of soil compaction: History and recent developments. Transp. Geotech. 2018, 17, 24–34. [Google Scholar] [CrossRef]
- Mayne, P.W.; Jones, J.S.; Dumas, J.C. Ground response to dynamic compaction. J. Geotech. Eng. 1984, 110, 757–774. [Google Scholar] [CrossRef]
- Savan, C.M.; Ng, K.W.; Ksaibati, K. Benefit-cost analysis and application of intelligent compaction for transportation. Transp. Geotech. 2016, 9, 57–68. [Google Scholar] [CrossRef]
- Olaszek, P.; Wyczalek, I.; Sala, D.; Kokot, M.; Swiercz, A. Monitoring of the Static and Dynamic Displacements of Railway Bridges with the Use of Inertial Sensors. Sensors 2020, 2767, 20. [Google Scholar] [CrossRef]
- White, D.; Jaselskis, E.; Schaefer, V.; Cackler, E. Part 4: Geotechnical Engineering: Compaction, Nontraditional Computing Methods, and Other Issues: Real-Time Compaction Monitoring in Cohesive Soils from Machine Response. Transp. Res. Rec. J. Transp. Res. Board. 2005, 1936, 171–180. [Google Scholar] [CrossRef]
- Gruzin, A.V.; Gruzin, V.V.; Shalay, V.V. Model dynamics of a rammer’s operating element in a soil foundation of a tank for liquid hydrocarbons storage. Aip. Conf. Proc. 2018, 030009. [Google Scholar] [CrossRef]
- Nguyen, V.; Zhang, J.; Le, V.; Jiao, R. Vibration Analysis and Modeling of an Off-Road Vibratory Roller Equipped with Three Different Cab’s Isolation Mounts. Shock. Vib. 2018, 2018, 1–17. [Google Scholar] [CrossRef]
- Micaelo, R.; Pais, J. Discussion of “viscoelastic-plastic model of asphalt-roller interaction” by Fares Beainy, Sesh Commuri, Musharaf Zaman, and Imran Syed. Int. J. Geomech. 2014, 14, 07014003. [Google Scholar] [CrossRef]
- Anderegg, R.; Kaufmann, K. Intelligent compaction with vibratory rollers feedback control systems in automatic compaction and compaction control. Transp. Res. Rec. 2004, 1868, 124–134. [Google Scholar] [CrossRef]
- Rebaïne, F.; Bouazara, M.; Marceau, D.; Kocaefe, D.; Coulombe, P. 2-DOF dynamic model of vibro-compactor used for the carbon anodes block production. Cirp. J. Manuf. Sci. Technol. 2017, 18, 45–52. [Google Scholar] [CrossRef]
- Hua, T.; Yang, X.; Yao, Q.; Li, H. Assessment of Real-Time Compaction Quality Test Indexes for Rockfill Material Based on Roller Vibratory Acceleration Analysis. Adv. Mater. Sci. Eng. 2018, 2018, 1–15. [Google Scholar] [CrossRef]
- Xia, D.C.; Li, W.L. Dynamic compaction real-time detection based on acceleration measurement. J. Vib. Shock. 2015, 34, 45–50. [Google Scholar]
- Wu, Y.K.; Sang, X.S.; Niu, B. High-Speed Hydraulic Compactor Application in the Backfilled of Bridge Platform. Appl. Mech. Mater. 2012, 1201–1204. [Google Scholar] [CrossRef]
- Czech, K.R.; Gosk, W. Impact of the Operation of a Tri-band Hydraulic Compactor on the Technical Condition of a Residential Building. Appl. Sci. 2019, 9, 336. [Google Scholar] [CrossRef]
- Herrera, C.; Alves Costa, P.; Caicedo, B. Numerical modelling and inverse analysis of continuous compaction control. Transp. Geotech. 2018, 17, 165–177. [Google Scholar] [CrossRef]
- Rinehart, R.V.; Mooney, M.A.; Facas, N.F.; Musimbi, O.M. Examination of Roller-Integrated Continuous Compaction Control on Colorado Test Site. Transp. Res. Rec. J. Transp. Res. Board 2012, 2310, 3–9. [Google Scholar] [CrossRef]
- Pistrol, J.; Adam, D. Fundamentals of roller integrated compaction control for oscillatory rollers and comparison with conventional testing methods. Transp. Geotech. 2018, 17, 75–84. [Google Scholar] [CrossRef]
- Maciejewski, J.; Jarzȩbowski, A. Experimental analysis of soil deformation below a rolling rigid cylinder. J. Terramechanics 2004, 41, 223–241. [Google Scholar] [CrossRef]
- Rinehart, R.V.; Mooney, M.A. Instrumentation of a roller compactor to monitor vibration behavior during earthwork compaction. Autom. Constr. 2008, 17, 144–150. [Google Scholar] [CrossRef]
- Zhou, Z.; Lei, J.; Shi, S.; Liu, T. Seismic response of aeolian sand high embankment slopes in shaking table tests. Appl. Sci. 2019, 9, 1677. [Google Scholar] [CrossRef]
- Tehrani, F.S.; Meehan, C.L.; Vahedifard, F. Comparison of density-based and modulus-based in situ tests for earthwork quality control. Geotech. Spec. Publ. 2014, 2345–2354. [Google Scholar] [CrossRef]
- Marradi, A.; De-la-Colina, J. Assessment of methodologies to estimate displacements from measured acceleration records. Transp. Res. Rec. 2014, 2457, 51–57. [Google Scholar] [CrossRef]
- Arias-Lara, D.; Pinori, U.; Betti, G. Subgrade and foundation dynamic performance evaluation by means of lightweight deflectometer tests. MEAS 2018, 114, 261–273. [Google Scholar] [CrossRef]
- Nazzal, M.D.; Mohammad, L.N. Estimation of Resilient Modulus of Subgrade Soils Using Falling Weight Deflectometer. Transp. Res. Rec. J. Transp. Res. Board 2010, 2186, 1–10. [Google Scholar] [CrossRef]
- Ling, J.; Lin, S.; Qian, J.; Zhang, J.; Han, B.; Liu, M. Continuous compaction control technology for granite residual subgrade compaction. J. Mater. Civ. Eng. 2018, 30, 1–9. [Google Scholar] [CrossRef]
- Nie, Z. Comparison experimental study on subgrade compaction quality test methods. Appl. Mech. Mater. 2011, 71, 4679–4684. [Google Scholar] [CrossRef]
- Meehan, C.L.; Cacciola, D.V.; Tehrani, F.S.; Baker, W.J. Assessing soil compaction using continuous compaction control and location-specific in situ tests. Autom. Constr. 2017, 73, 31–44. [Google Scholar] [CrossRef]
- Cai, H.; Kuczek, T.; Dunston, P.S.; Li, S. Correlating Intelligent Compaction Data to In Situ Soil Compaction Quality Measurements. J. Constr. Eng. Manag. 2017, 143, 04017038. [Google Scholar] [CrossRef]
- Zheng, Y.; Zhu, Z.W.; Xiao, W.; Deng, Q.X. Review of fiber optic sensors in geotechnical health monitoring. Opin. Fiber. Technol. 2020, 54, 102–127. [Google Scholar] [CrossRef]
- Zhou, Z.J.; Xu, F.; Lei, J.T.; Bai, Y.; Chen, C.R.; Xu, T.Y.; Zhang, Z.P.; Liu, T. Experimental study of the influence of different hole-forming methods on the bearing characteristics of post-grouting pile in Loess Areas. Transp. Geotech. 2020, in press. [Google Scholar]
- Wang, X.; Lai, J.; He, S.; Garnes, R.S.; Zhang, Y. Karst geology and mitigation measures for hazards during metro system construction in Wuhan, China. Nat. Hazards 2020, 1–23. [Google Scholar] [CrossRef]
- Cheng, W.; Li, G.; Ong, D.E.L.; Chen, S.; Ni, J.C. Modelling liner forces response to very close-proximity tunnelling in soft alluvial deposits. Tunn. Undergr. Sp. Tech. 2020, 103, 103455. [Google Scholar] [CrossRef]
- Liu, T.; Xie, Y.; Feng, Z.; Luo, Y.; Wang, K.; Xu, W. Better understanding the failure modes of tunnels excavated in the boulder-cobble mixed strata by distinct element method. Eng. Fail. Anal. 2020, 116, 104712. [Google Scholar] [CrossRef]
- Wu, H.; Zhong, Y.; Xu, W.; Shi, W.; Shi, X.; Liu, T. Experimental Investigation of Ground and Air Temperature Fields of a Cold-Region Road Tunnel in NW China. Adv. Civ. Eng. 2020, 2020, 1–13. [Google Scholar] [CrossRef]
- Wang, Z.C.; Su, X.L.; Lai, H.P.; Xie, Y.L.; Qin, Y.W.; Liu, T. Conception and Evaluation of a Novel Type Support in Loess Tunnels. J. Perform. Constr. Fac. 2020, 35. [Google Scholar] [CrossRef]
- Senseney, C.T.; Mooney, M.A. Characterization of two-layer soil system using a lightweight deflectometer with radial sensors. Transp. Res. Rec. 2010, 3, 21–28. [Google Scholar] [CrossRef]
- Han, Y.S.; Dong, Y.L.; Bai, X.H. Model Test on Process of Hammer under Dynamic Compaction of loess. Chin. J. Rock Mech. Eng. 2015, 34, 631–638. [Google Scholar]
- Gutzwiller, M.C. The impact of a rigid circular cylinder on an elastic solid. Phil. Trans. R. Soc. A 1962, 255, 153–191. [Google Scholar]
- Rahman, M.; Islam, K.M.; Gassman, S.L. Correlations of permanent strain and damping coefficients with resilient modulus for coarse- grained subgrade soils. Int. J. Geotech. Eng. 2019, 1–10. [Google Scholar] [CrossRef]
- Qian, J.; Qian, X.; Zhao, W. Theory and practice of dynamic consolidation. J. Geotech. Eng. 1986, 6, 1–17. [Google Scholar]
- Adam, D.; Brandl, H.; Kopf, F.; Paulmichl, I. Heavy tamping integrated dynamic compaction control. Proc. Inst. Civ. Eng. Ground Improv. 2007, 11, 237–243. [Google Scholar] [CrossRef]
- Wersäll, C.; Nordfelt, I.; Larsson, S. Resonant roller compaction of gravel in full-scale tests. Transp. Geotech. 2018, 14, 93–97. [Google Scholar] [CrossRef]
- Professional Standard of P. R. China. Technical Specification for Construction of Highway Subgrades, JTG F10-2006; Ministry of Communications of P.R China: Beijing, China, 2006.
- Gong, X.N. Handbook of Foundation Treatment, 2nd ed.; Construction Industry Press: Beijing, China, 2000. [Google Scholar]
















| Basic Parameters | Natural Density (g/cm3) | Liquid Limit (%) | Plastic Limit (%) | Internal Friction Angle (°) | Cohesion (kPa) | Maximum Dry Density (g/cm3) | Optimum Moisture Content (%) | Modulus of Elasticity (MPa) |
|---|---|---|---|---|---|---|---|---|
| Value | 1.62 | 34.00 | 19.20 | 28.66 | 15.47 | 1.90 | 12.30 | 25.06 |
| Dropping Numbers | DroppingDistances | ||
|---|---|---|---|
| Condition 1 (2.2 m) | Condition 2 (1.6 m) | Condition 3 (0.7 m) | |
| 3 | 137 | 106 | 94 |
| 6 | 141 | 107 | 99 |
| 9 | 147 | 111 | 101 |
| 12 | 149 | 118 | 110 |
| Depth (cm) | Coefficient | ||
|---|---|---|---|
| Ai | Bi | Ci | |
| 0–30 | 4.37 × 10−4 | −0.047 | 91.15 |
| 30–60 | 2.27 × 10−4 | −0.0046 | 87.73 |
| 60–90 | 1.68 × 10−4 | 0.0089 | 86.74 |
| 90–120 | −2.65 × 10−5 | 0.0037 | 85.07 |
| Depth (cm) | Dropping Numbers | 1 | 2 | 3 | 4 | 5 | 6 | 7 | 8 | 9 |
|---|---|---|---|---|---|---|---|---|---|---|
| Peak Acceleration (g) | 96.5 | 122.8 | 142.1 | 158.5 | 168.4 | 172.5 | 178.2 | 182.6 | 186.5 | |
| 0–30 | Layered compactness (%) | |||||||||
| Calculated value | 90.7 | 91.9 | 93.3 | 94.7 | 95.6 | 96.0 | 96.7 | 97.1 | 97.6 | |
| Measured value | -- | -- | -- | -- | -- | -- | -- | -- | 98.2 | |
| Error (%) | 0.6 | |||||||||
| 30–60 | Calculated value | 89.4 | 90.6 | 91.7 | 92.7 | 93.4 | 93.7 | 94.1 | 94.5 | 94.8 |
| Measured value | -- | -- | -- | -- | -- | -- | -- | -- | 95.3 | |
| Error (%) | 0.5 | |||||||||
| 60–90 | Calculated value | 89.2 | 90.4 | 91.4 | 92.4 | 93.0 | 93.3 | 93.7 | 94.0 | 94.2 |
| Measured value | -- | -- | -- | -- | -- | -- | -- | -- | 93.8 | |
| Error (%) | 0.4 | |||||||||
| 90–120 | Calculated value | 88.4 | 89.2 | 89.8 | 90.3 | 90.5 | 90.7 | 90.8 | 90.9 | 91.0 |
| Measured value | -- | -- | -- | -- | -- | -- | -- | -- | 91.6 | |
| Error (%) | 0.7 | |||||||||
| Average compactness (%) | 89.4 | 90.5 | 91.6 | 92.5 | 93.1 | 93.4 | 93.8 | 94.1 | 94.4 | |
© 2020 by the authors. Licensee MDPI, Basel, Switzerland. This article is an open access article distributed under the terms and conditions of the Creative Commons Attribution (CC BY) license (http://creativecommons.org/licenses/by/4.0/).
Share and Cite
Xu, T.; Zhou, Z.; Yan, R.; Zhang, Z.; Zhu, L.; Chen, C.; Xu, F.; Liu, T. Real-Time Monitoring Method for Layered Compaction Quality of Loess Subgrade Based on Hydraulic Compactor Reinforcement. Sensors 2020, 20, 4288. https://doi.org/10.3390/s20154288
Xu T, Zhou Z, Yan R, Zhang Z, Zhu L, Chen C, Xu F, Liu T. Real-Time Monitoring Method for Layered Compaction Quality of Loess Subgrade Based on Hydraulic Compactor Reinforcement. Sensors. 2020; 20(15):4288. https://doi.org/10.3390/s20154288
Chicago/Turabian StyleXu, Tianyu, Zhijun Zhou, Ruipeng Yan, Zhipeng Zhang, Linxuan Zhu, Chaoran Chen, Fu Xu, and Tong Liu. 2020. "Real-Time Monitoring Method for Layered Compaction Quality of Loess Subgrade Based on Hydraulic Compactor Reinforcement" Sensors 20, no. 15: 4288. https://doi.org/10.3390/s20154288
APA StyleXu, T., Zhou, Z., Yan, R., Zhang, Z., Zhu, L., Chen, C., Xu, F., & Liu, T. (2020). Real-Time Monitoring Method for Layered Compaction Quality of Loess Subgrade Based on Hydraulic Compactor Reinforcement. Sensors, 20(15), 4288. https://doi.org/10.3390/s20154288

