Predictive Models for the Characterization of Internal Defects in Additive Materials from Active Thermography Sequences Supported by Machine Learning Methods
Abstract
1. Introduction
2. Materials and Methods
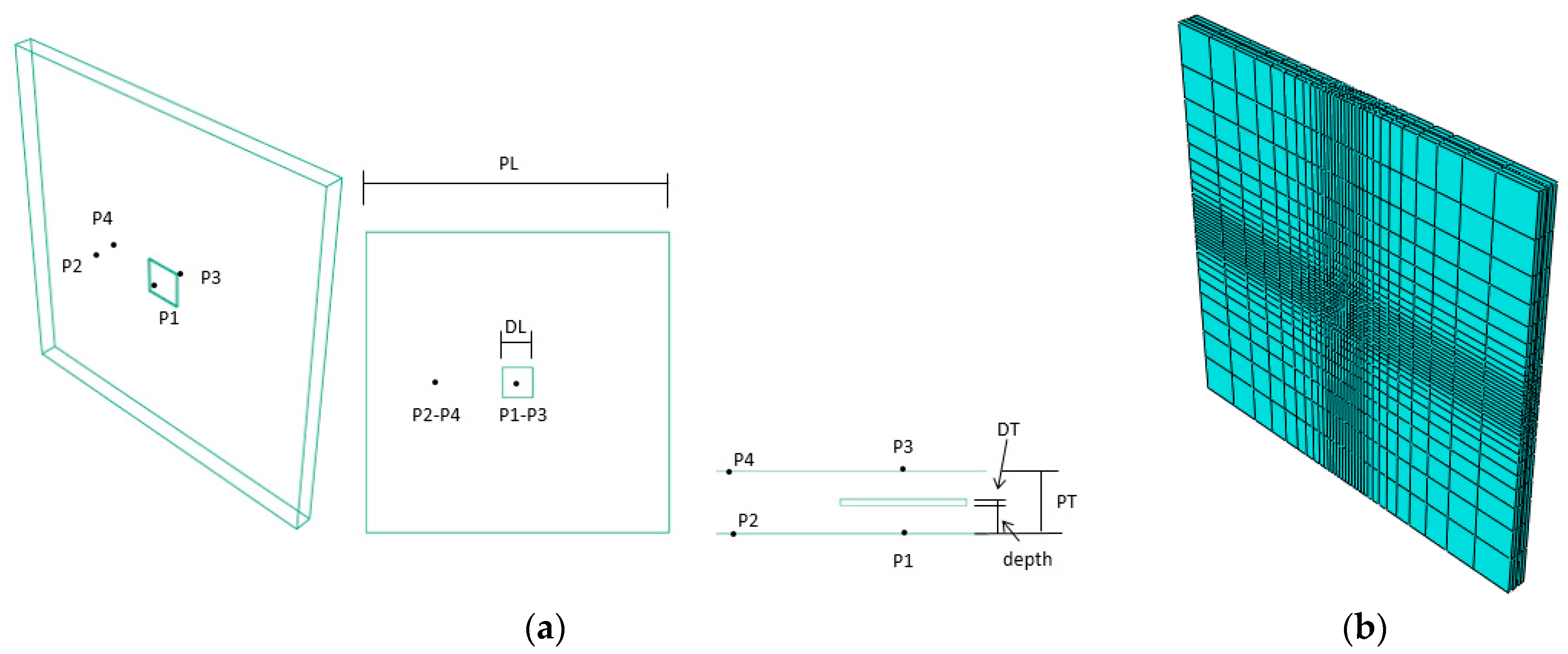
2.1. Numerical Model Design
2.2. Machine Learning Modelling
2.2.1. Linear Regression Model
2.2.2. Gaussian Process Regression Model (GPR)
2.2.3. Support Vector Machine
2.2.4. Random Forest
2.2.5. Multilayer Perceptron
2.3. Evaluation of the Model Performance
- Determination of the correlation coefficient (R2) between observed values and predicted values (1). When it is closer to 1, the correlation between observed and predicted values will be more adjusted. A theoretical value of 1 means a perfect correlation between the observed and predicted values, which could be interpreted as a perfect prediction (graphically, this would mean that all points represented in the predicted vs. actual plot are located in the regression line).
- Mean absolute error (MAE): this error describes the typical magnitude of the residuals being robust to outliers (2). MAE was used to independently evaluate the accuracy of the model.
- Mean square error (MSE): this error estimation was computed considering the square of the differences, being more sensitive to outliers than MAE.
- Root mean square error (RMSE): it was calculated as the square root of the MSE (3). In this way, the error data was converted to the units of the variable, making the data interpretation more intuitive in the magnitude of the response.
3. Results
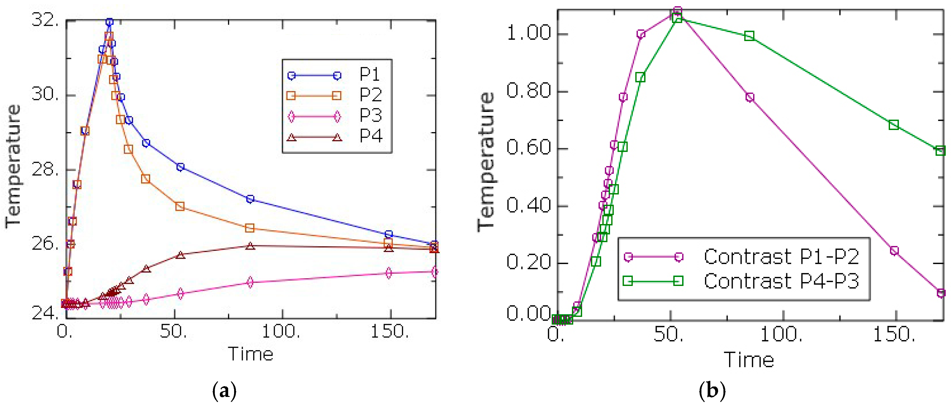
3.1. Simulation Results
3.2. Machine Learning
3.2.1. Defect Thickness Predictor
3.2.2. Defect Length Predictor
4. Conclusions
Author Contributions
Funding
Acknowledgments
Conflicts of Interest
Appendix A
| Excluding Features | 500 Data | Regression | ||
|---|---|---|---|---|
| Linear | Interaction | Stepwise | ||
| None | RMSE | 1.046 × 10−4 | 6.560 × 10−5 | 8.234 × 10−5 |
| R2 | 0.47 | 0.79 | 0.68 | |
| MAE | 8.690 × 10−5 | 5.148 × 10−5 | 6.612 × 10−5 | |
| Training time | 0.499 | 0.610 | 108.630 | |
| Dev.MAE 5 Folder | −0.09% | 0.21% | 1.63% | |
| Dev.MAE 15 Folder | −0.60% | −0.04% | 2.23% | |
| RMSE | 1.056 × 10−4 | 7.388 × 10−5 | 8.153 × 10−5 | |
| R2 | 0.47 | 0.74 | 0.68 | |
| MAE | 8.720 × 10−5 | 5.884 × 10−5 | 6.492 × 10−5 | |
| Training time | 0.454 | 0.494 | 54.771 | |
| Dev.MAE 5 Folder | −0.09% | 2.20% | 2.06% | |
| Dev.MAE 15 Folder | −1.44% | −1.39% | −2.45% | |
| RMSE | 1.070 × 10−4 | 7.286 × 10−5 | 8.320 × 10−5 | |
| R2 | 0.46 | 0.75 | 0.67 | |
| MAE | 8.710 × 10−5 | 5.777 × 10−5 | 6.610 × 10−5 | |
| Training time | 0.430 | 0.432 | 33.783 | |
| Dev.MAE 5 Folder | −0.19% | 2.09% | 1.91% | |
| Dev.MAE 15 Folder | 0.46% | −1.58% | 0.37% | |
| RMSE | 1.053 × 10−4 | 7.575 × 10−5 | 8.353 × 10−5 | |
| R2 | 0.47 | 0.73 | 0.67 | |
| MAE | 8.688 × 10−5 | 5.985 × 10−5 | 6.655 × 10−5 | |
| Training time | 0.445 | 0.397 | 22.331 | |
| Dev.MAE 5 Folder | −0.51% | −1.76% | 2.55% | |
| Dev.MAE 15 Folder | −0.09% | 1.26% | −0.80% | |
| , c, | RMSE | 1.060 × 10−4 | 8.290 × 10−5 | 8.562 × 10−5 |
| R2 | 0.46 | 0.67 | 0.65 | |
| MAE | 8.730 × 10−5 | 6.675 × 10−5 | 6.890 × 10−5 | |
| Training time | 0.443 | 0.394 | 11.998 | |
| Dev.MAE 5 Folder | 0.59% | −0.87% | −0.60% | |
| Dev.MAE 15 Folder | −0.37% | 1.87% | 2.01% | |
| , c, | RMSE | 1.080 × 10−4 | 8.773 × 10−5 | 8.886 × 10−5 |
| R2 | 0.45 | 0.63 | 0.62 | |
| MAE | 8.910 × 10−5 | 7.038 × 10−5 | 7.134 × 10−5 | |
| Training time | 0.490 | 0.427 | 6.739 | |
| Dev.MAE 5 Folder | −0.29% | −3.04% | 0.56% | |
| Dev.MAE 15 Folder | 0.38% | −0.85% | −1.71% | |
| Considering Contrast Rear | Without Contrast Rear | ||||||
|---|---|---|---|---|---|---|---|
| Regression | Regression | ||||||
| Excluding Features | Linear | Interaction | Stepwise | Linear | Interaction | Stepwise | |
| None | RMSE | 2.671 × 10−3 | 3.330 × 10−3 | 1.949 × 10−3 | 2.440 × 10−3 | 1.995 × 10−3 | 1.853 × 10−3 |
| R2 | 0.19 | 0.25 | 0.57 | 0.32 | 0.54 | 0.61 | |
| MAE | 2.180 × 10−3 | 2.299 × 10−3 | 1.506 × 10−3 | 2.027 × 10−3 | 1.534 × 10−3 | 1.470 × 10−3 | |
| Training time | 0.321 | 0.303 | 32.787 | 0.416 | 0.477 | 30.602 | |
| Dev.MAE 5 Folder | −8.49% | −16.74% | 20.36% | −2.86% | 10.10% | −3.21% | |
| Dev.MAE 15 Folder | −4.60% | −27.24% | −5.04% | −1.14% | 10.58% | −6.36% | |
| RMSE | 2.633 × 10−3 | 2.382 × 10−3 | 1.864 × 10−3 | 2.423 × 10−3 | 2.008 × 10−3 | 1.736 × 10−3 | |
| R2 | 0.22 | 0.36 | 0.61 | 0.32 | 0.54 | 0.65 | |
| MAE | 2.164 × 10−3 | 1.719 × 10−3 | 1.439 × 10−3 | 2.033 × 10−3 | 1.624 × 10−3 | 1.400 × 10−3 | |
| Training time | 0.304 | 0.286 | 20.397 | 0.518 | 0.618 | 29.631 | |
| Dev.MAE 5 Folder | −8.50% | −13.81% | −3.51% | 0.22% | 6.47% | 2.94% | |
| Dev.MAE 15 Folder | −4.87% | −15.70% | −3.88% | −8.06% | −15.87% | −1.49% | |
| RMSE | 2.613 × 10−3 | 2.144 × 10−3 | 1.854 × 10−3 | 2.405 × 10−3 | 1.821 × 10−3 | 1.782 × 10−3 | |
| R2 | 0.23 | 0.48 | 0.61 | 0.33 | 0.62 | 0.63 | |
| MAE | 2.156 × 10−3 | 1.527 × 10−3 | 1.456 × 10−3 | 2.015 × 10−3 | 1.507 × 10−3 | 1.509 × 10−3 | |
| Training time | 0.320 | 0.261 | 14.640 | 0.536 | 0.548 | 20.132 | |
| Dev.MAE 5 Folder | −9.18% | −17.08% | −10.89% | −0.04% | 3.40% | −5.42% | |
| Dev.MAE 15 Folder | −6.16% | −14.08% | −4.83% | −7.52% | −10.13% | −8.80% | |
| RMSE | 2.556 × 10−3 | 2.040 × 10−3 | 1.770 × 10−3 | 2.392 × 10−3 | 1.859 × 10−3 | 1.804 × 10−3 | |
| R2 | 0.26 | 0.53 | 0.65 | 0.34 | 0.6 | 0.63 | |
| MAE | 2.108 × 10−3 | 1.482 × 10−3 | 1.411 × 10−3 | 1.994100−3 | 1.443 × 10−3 | 1.409 × 10−3 | |
| Training time | 0.332 | 0.249 | 10.105 | 0.528 | 0.509 | 13.732 | |
| Dev.MAE 5 Folder | −6.55% | −5.71% | −1.92% | 1.51% | 7.46% | 26.86% | |
| Dev.MAE 15 Folder | −4.30% | 0.76% | 5.47% | −5.57% | −0.15% | 3.52% | |
| , k | RMSE | 2.494 × 10−3 | 1.820 × 10−3 | 1.893 × 10−3 | 2.452 × 10−3 | 2.092 × 10−3 | 2.132 × 10−3 |
| R2 | 0.3 | 0.63 | 0.6 | 0.31 | 0.5 | 0.48 | |
| MAE | 2.013 × 10−3 | 1.398 × 10−3 | 1.471 × 10−3 | 2.021 × 10−3 | 1.689 × 10−3 | 1.764 × 10−3 | |
| Training time | 0.356 | 0.269 | 7.293 | 0.482 | 0.396 | 5.240 | |
| Dev.MAE 5 Folder | −2.69% | −7.08% | 4.25% | −3.41% | −15.14% | −15.26% | |
| Dev.MAE 15 Folder | 0.17% | 5.97% | 12.83% | −5.51% | −3.95% | −7.81% | |
| Regression | Gaussian Processes Regression | ||||||
|---|---|---|---|---|---|---|---|
| Excluding Features | Linear | Interaction | Stepwise | Square ExpGPR | Matern 5/2GPR | Rational Quadratic GPR | |
| None | RMSE | 2.273 × 10−3 | 1.276 × 10−3 | 1.278 × 10−3 | 9.247 × 10−4 | 9.460 × 10−4 | 9.252 × 10−4 |
| R2 | 0.38 | 0.81 | 0.81 | 0.90 | 0.89 | 0.90 | |
| MAE | 1.805 × 10−3 | 9.588 × 10−4 | 9.594 × 10−4 | 7.256 × 10−4 | 7.505 × 10−4 | 7.267 × 10−4 | |
| Training time | 0.495 | 0.575 | 102.010 | 5.711 | 6.021 | 16.218 | |
| Dev.MAE 5 Folder | −0.37% | 2.98% | 3.29% | 3.78% | 4.33% | 3.69% | |
| Dev.MAE 15 Folder | −0.15% | 1.48% | 0.15% | −0.50% | 0.02% | −0.56% | |
| RMSE | 2.292 × 10−3 | 1.367 × 10−3 | 1.489 × 10−3 | 9.963 × 10−4 | 8.720 × 10−4 | 9.975 × 10−4 | |
| R2 | 0.37 | 0.78 | 0.74 | 0.88 | 0.91 | 0.88 | |
| MAE | 1.800 × 10−3 | 9.663 × 10−4 | 1.017 × 10−3 | 6.967 × 10−4 | 6.940 × 10−4 | 6.976 × 10−4 | |
| Training time | 0.501 | 0.562 | 65.640 | 6.768 | 8.278 | 17.785 | |
| Dev.MAE 5 Folder | 0.22% | 8.04% | 0.90% | 8.08% | 9.40% | 7.98% | |
| Dev.MAE 15 Folder | 0.82% | 6.16% | −0.46% | 2.96% | 6.27% | 2.97% | |
| RMSE | 2.259 × 10−3 | 1.341 × 10−3 | 1.321 × 10−3 | 8.221 × 10−4 | 8.546 × 10−4 | 8.221 × 10−4 | |
| R2 | 0.39 | 0.79 | 0.79 | 0.92 | 0.91 | 0.92 | |
| MAE | 1.804 × 10−3 | 1.027 × 10−3 | 1.031 × 10−3 | 6.665 × 10−4 | 6.967 × 10−4 | 6.666 × 10−4 | |
| Training time | 0.628 | 0.714 | 47.615 | 5.339 | 3.418 | 15.990 | |
| Dev.MAE 5 Folder | 0.42% | 4.66% | 5.61% | 3.65% | 3.93% | 3.67% | |
| Dev.MAE 15 Folder | −0.22% | −0.44% | −1.52% | −2.56% | −2.02% | −2.56% | |
| RMSE | 2.277 × 10−3 | 1.485 × 10−3 | 1.478 × 10−3 | 1.172 × 10−3 | 1.173 × 10−3 | 1.172 × 10−3 | |
| R2 | 0.38 | 0.74 | 0.74 | 0.84 | 0.84 | 0.84 | |
| MAE | 1.819 × 10−3 | 1.156 × 10−3 | 1.152 × 10−3 | 9.310 × 10−4 | 9.374 × 10−4 | 9.310 × 10−4 | |
| Training time | 0.561 | 0.477 | 26.148 | 3.549 | 4.602 | 12.395 | |
| Dev.MAE 5 Folder | −0.42% | −0.22% | −0.35% | −1.00% | −0.84% | −0.99% | |
| Dev.MAE 15 Folder | 0.20% | 0.55% | 0.71% | −1.11% | −1.17% | −1.11% | |
| RMSE | 2.264 × 10−3 | 1.447 × 10−3 | 1.454 × 10−3 | 1.158 × 10−3 | 1.153 × 10−3 | 1.158 × 10−3 | |
| R2 | 0.39 | 0.75 | 0.75 | 0.84 | 0.84 | 0.84 | |
| MAE | 1.810 × 10−3 | 1.130 × 10−3 | 1.144 × 10−3 | 9.120 × 10−4 | 9.170 × 10−4 | 9.120 × 10−4 | |
| Training time | 0.635 | 0.532 | 16.650 | 5.453 | 6.153 | 15.873 | |
| Desv MAE | 0.72% | 1.58% | 1.66% | 1.32% | 5.02% | 1.32% | |
| Desv MAE | 0.50% | 0.28% | 0.05% | −0.54% | −0.65% | −0.55% | |
| SVM | Multilayer Perceptron | Random Forest | ||||
|---|---|---|---|---|---|---|
| Excluding Features | Cubic | Quadratic | Medium Gaussian | |||
| None | RMSE | 1.774 × 10−3 | 1.622 × 10−3 | 1.756 × 10−3 | 2.241 × 10−3 | 2.376 × 10−3 |
| R2 | 0.63 | 0.69 | 0.63 | 0.55 | 0.36 | |
| MAE | 1.180 × 10−3 | 1.246 × 10−3 | 1.423 × 10−3 | 1.741 × 10−3 | 2.031 × 10−3 | |
| Training time | 0.220 | 0.225 | 0.218 | 0.177 | 0.116 | |
| Dev.MAE 5 Folder | 7.22% | 14.77% | 6.28% | 3.96% | 1.67% | |
| Dev.MAE 15 Folder | −3.83% | 1.07% | −0.72% | −1.78% | −0.10% | |
| RMSE | 2.784 × 10−3 | 1.713 × 10−3 | 1.737 × 10−3 | 2.080 × 10−3 | 2.340 × 10−3 | |
| R2 | 0.08 | 0.65 | 0.64 | 0.60 | 0.38 | |
| MAE | 1.210 × 10−3 | 1.298 × 10−3 | 1.383 × 10−3 | 1.650 × 10−3 | 1.990 × 10−3 | |
| Training time | 0.255 | 0.259 | 0.222 | 0.165 | 0.107 | |
| Dev.MAE 5 Folder | 0.68% | 7.22% | 8.79% | 3.03% | 2.51% | |
| Dev.MAE 15 Folder | −0.60% | −5.78% | 3.58% | −1.21% | −0.50% | |
| RMSE | 1.961 × 10−3 | 1.684 × 10−3 | 1.744 × 10−3 | 2.070 × 10−3 | 2.280 × 10−3 | |
| R2 | 0.54 | 0.66 | 0.64 | 0.63 | 0.42 | |
| MAE | 1.204 × 10−3 | 1.302 × 10−3 | 1.373 × 10−3 | 1.640 × 10−3 | 1.940 × 10−3 | |
| Training time | 0.340 | 0.281 | 0.276 | 0.181 | 0.105 | |
| Dev.MAE 5 Folder | 1.15% | 5.61% | 2.78% | 3.05% | 2.06% | |
| Dev.MAE 15 Folder | −6.76% | −6.60% | 1.26% | −3.66% | −0.52% | |
| RMSE | 1.900 × 10−3 | 1.708 × 10−3 | 1.731 × 10−3 | 2.060 × 10−3 | 2.270 × 10−3 | |
| R2 | 0.57 | 0.65 | 0.64 | 0.60 | 0.42 | |
| MAE | 1.338 × 10−3 | 1.338 × 10−3 | 1.360 × 10−3 | 1.640 × 10−3 | 1.930 × 10−3 | |
| Training time | 0.297 | 0.278 | 0.280 | 0.118 | 0.085 | |
| Dev.MAE 5 Folder | 1.27% | 5.04% | 12.06% | 6.10% | 1.55% | |
| Dev.MAE 15 Folder | −6.52% | 4.62% | 6.00% | 2.44% | −1.04% | |
| RMSE | 1.708 × 10−3 | 1.747 × 10−3 | 1.720 × 10−3 | 2.130 × 10−3 | 2.200 × 10−3 | |
| R2 | 0.65 | 0.64 | 0.64 | 0.58 | 0.46 | |
| MAE | 1.284 × 10−3 | 1.358 × 10−3 | 1.379 × 10−3 | 1.690 × 10−3 | 1.870 × 10−3 | |
| Training time | 0.419 | 0.436 | 0.326 | 0.088 | 0.085 | |
| Desv MAE | 15.26% | 10.90% | 7.29% | 3.55% | 1.60% | |
| Desv MAE | −0.31% | −0.37% | −0.43% | 2.37% | −0.53% | |
| Regression | Gaussian Processes Regression | ||||||
|---|---|---|---|---|---|---|---|
| Excluding Features | Linear | Interaction | Stepwise | Square ExpGPR | Matern 5/2GPR | Rational Quadratic GPR | |
| None | RMSE | 2.231 × 10−3 | 1.485 × 10−3 | 1.466 × 10−3 | 1.072 × 10−3 | 1.103 × 10−3 | 1.073 × 10−3 |
| R2 | 0.41 | 0.74 | 0.75 | 0.86 | 0.86 | 0.86 | |
| MAE | 1.793 × 10−03 | 1.183 × 10−3 | 1.168 × 10−3 | 8.513 × 10−4 | 8.826 × 10−4 | 8.531 × 10−4 | |
| Training time | 0.416 | 0.962 | 66.550 | 7.732 | 7.208 | 16.202 | |
| Dev.MAE 5 Folder | 1.10% | 1.85% | 2.58% | 3.84% | 3.08% | 4.13% | |
| Dev.MAE 15 Folder | 1.02% | 0.89% | 0.13% | −2.08% | −2.59% | −2.27% | |
| RMSE | 2.285 × 10−3 | 1.727 × 10−3 | 1.724 × 10−3 | 1.501 × 10−3 | 1.505 × 10−3 | 1.499 × 10−3 | |
| R2 | 0.38 | 0.65 | 0.65 | 0.73 | 0.73 | 0.73 | |
| MAE | 1.863 × 10−3 | 1.383 × 10−3 | 1.379 × 10−3 | 1.208 × 10−3 | 1.215 × 10−3 | 1.209 × 10−3 | |
| Training time | 0.453 | 0.459 | 34.959 | 3.909 | 4.346 | 8.089 | |
| Dev.MAE 5 Folder | 0.12% | 2.02% | 3.17% | 1.37% | 0.67% | 0.67% | |
| Dev.MAE 15 Folder | 0.92% | −1.02% | 0.04% | −2.82% | −3.29% | −3.05% | |
| RMSE | 2.277 × 10−3 | 1.485 × 10−3 | 1.478 × 10−3 | 1.172 × 10−3 | 1.173 × 10−3 | 1.172 × 10−3 | |
| R2 | 0.38 | 0.74 | 0.74 | 0.84 | 0.84 | 0.84 | |
| MAE | 1.819 × 10−3 | 1.156 × 10−3 | 1.152 × 10−3 | 9.310 × 10−4 | 9.374 × 10−4 | 9.310 × 10−4 | |
| Training time | 0.561 | 0.477 | 26.148 | 3.549 | 4.602 | 12.395 | |
| Dev.MAE 5 Folder | −0.42% | −0.22% | −0.35% | −1.00% | −0.84% | −0.99% | |
| Dev.MAE 15 Folder | 0.20% | 0.55% | 0.71% | −1.11% | −1.17% | −1.11% | |
| RMSE | 2.301 × 10−3 | 1.809 × 10−3 | 1.837 × 10−3 | 1.624 × 10−3 | 1.631 × 10−3 | 1.625 × 10−3 | |
| R2 | 0.37 | 0.61 | 0.6 | 0.69 | 0.68 | 0.69 | |
| MAE | 1.881 × 10−3 | 1.453 × 10−3 | 1.473 × 10−3 | 1.301 × 10−3 | 1.309 × 10−3 | 1.302 × 10−3 | |
| Training time | 0.481 | 0.393 | 13.291 | 2.985 | 3.759 | 8.552 | |
| Dev.MAE 5 Folder | −0.56% | 1.18% | 1.18% | −0.03% | 0.34% | 0.12% | |
| Dev.MAE 15 Folder | 0.25% | −0.25% | −0.26% | −0.22% | −0.38% | −0.31% | |
| RMSE | 2.323 × 10−3 | 1.984 × 10−3 | 1.986 × 10−3 | 1.864 × 10−3 | 1.866 × 10−3 | 1.866 × 10−3 | |
| R2 | 0.36 | 0.53 | 0.53 | 0.59 | 0.59 | 0.59 | |
| MAE | 1.913 × 10−3 | 1.628 × 10−3 | 1.631 × 10−3 | 1.516 × 10−3 | 1.517 × 10−3 | 1.517 × 10−3 | |
| Training time | 0.494 | 0.368 | 6.056 | 2.762 | 3.132 | 9.243 | |
| Desv MAE | −0.58% | −0.09% | −0.75% | −14.21% | −13.40% | −14.07% | |
| Desv MAE | 0.22% | −0.18% | −0.57% | 0.12% | 0.13% | 0.05% | |
| SVM | Multilayer Perceptron | Random Forest | ||||
|---|---|---|---|---|---|---|
| Cubic | Quadratic | Medium Gaussian | ||||
| None | RMSE | 1.677 × 10−3 | 1.829 × 10−3 | 2.000 × 10−3 | 2.290 × 10−3 | 2.490 × 10−3 |
| R2 | 0.67 | 0.60 | 0.53 | 0.54 | 0.30 | |
| MAE | 1.276 × 10−3 | 1.440 × 10−3 | 1.614 × 10−3 | 1.810 × 10−3 | 2.140 × 10−3 | |
| Training time | 0.221 | 0.246 | 0.220 | 0.177 | 0.114 | |
| Dev.MAE 5 Folder | 4.73% | 0.20% | 2.51% | −3.31% | 0.93% | |
| Dev.MAE 15 Folder | 0.89% | −3.82% | 1.77% | −2.76% | −0.47% | |
| RMSE | 1.845 × 10−3 | 1.944 × 10−3 | 2.066 × 10−3 | 2.350 × 10−3 | 2.480 × 10−3 | |
| R2 | 0.60 | 0.55 | 0.49 | 0.52 | 0.29 | |
| MAE | 1.443 × 10−3 | 1.540 × 10−3 | 1.662 × 10−3 | 1.890 × 10−3 | 2.120 × 10−3 | |
| Training time | 0.213 | 0.210 | 0.214 | 0.135 | 0.113 | |
| Dev.MAE 5 Folder | 4.05% | 8.07% | −3.49% | −4.23% | 0.94% | |
| Dev.MAE 15 Folder | −0.63% | 0.14% | −1.28% | −2.65% | −0.94% | |
| RMSE | 1.900 × 10−3 | 1.708 × 10−3 | 1.731 × 10−3 | 2.060 × 10−3 | 2.270 × 10−3 | |
| R2 | 0.57 | 0.65 | 0.64 | 0.59751354 | 0.421201 | |
| MAE | 1.338 × 10−3 | 1.338 × 10−3 | 1.360 × 10−3 | 1.640 × 10−3 | 1.930 × 10−3 | |
| Training time | 0.297 | 0.278 | 0.280 | 0.118 | 0.085 | |
| Dev.MAE 5 Folder | 1.27% | 5.04% | 12.06% | 6.10% | 1.55% | |
| Dev.MAE 15 Folder | −6.52% | 4.62% | 6.00% | 2.44% | −1.04% | |
| RMSE | 1.991 × 10−3 | 2.029 × 10−3 | 2.073 × 10−3 | 2.400 × 10−3 | 2.400 × 10−3 | |
| R2 | 0.53 | 0.51 | 0.49 | 0.5 | 0.34 | |
| MAE | 1.557 × 10−3 | 1.606 × 10−3 | 1.650 × 10−3 | 1.930 × 10−3 | 2.050 × 10−3 | |
| Training time | 0.236 | 0.227 | 0.219 | 0.096 | 0.084 | |
| Dev.MAE 5 Folder | 5.04% | 3.57% | 1.25% | −1.04% | 0.49% | |
| Dev.MAE 15 Folder | −3.19% | 0.60% | −0.47% | −2.59% | −0.98% | |
| RMSE | 2.296 × 10−3 | 2.333 × 10−3 | 2.151 × 10−3 | 2.520 × 10−3 | 2.340 × 10−3 | |
| R2 | 0.37 | 0.35 | 0.45 | 0.45 | 0.37 | |
| MAE | 1.793 × 10−3 | 1.834 × 10−3 | 1.722 × 10−3 | 2.040 × 10−3 | 1.980 × 10−3 | |
| Training time | 0.278 | 0.262 | 0.242 | 0.089 | 0.080 | |
| Desv MAE | −8.80% | −9.32% | −2.99% | −4.41% | 0.51% | |
| Desv MAE | 0.86% | −1.85% | 0.38% | −2.45% | −0.51% | |
References
- Holmström, J.; Partanen, J.; Tuomi, J.; Walter, M. Rapid manufacturing in the spare parts supply chain: Alternative approaches to capacity deployment. J. Manuf. Technol. Manag. 2010, 21, 687–697. [Google Scholar] [CrossRef]
- Maldague, X.P. Theory and Practice of Infrared Technology for Nondestructive Testing; John Wiley & Sons Interscience: New York, NY, USA, 2001. [Google Scholar]
- Madruga, F.J.; Sfarra, S.; Perilli, S.; Pivarčiová, E.; López-Higuera, J.M. Measuring the Water Content in Wood Using Step-Heating Thermography and Speckle Patterns-Preliminary Results. Sensors 2020, 20, 316. [Google Scholar] [CrossRef]
- Dudzik, S. Two-stage neural algorithm for defect detection and characterization uses an active thermography. Infrared Phys. Technol. 2015, 71, 187–197. [Google Scholar] [CrossRef]
- Rodríguez-Martín, M.; Lagüela, S.; González-Aguilera, D.; Martínez-Sánchez, J. Prediction of depth model for cracks in steel using infrared thermography. Infrared Phys. Technol. 2015, 71, 492–500. [Google Scholar] [CrossRef]
- Rodríguez-Martín, M.; Lagüela, S.; González-Aguilera, D.; Rodríguez-Gonzálvez, P. Crack-Depth Prediction in Steel Based on Cooling Rate. Adv. Mater. Sci. Eng. 2016, 2016, 1–9. [Google Scholar] [CrossRef]
- Carvalho, M.; Martins, A.; Santos, T.G. Simulation and validation of thermography inspection for components produced by additive manufacturing. Appl. Therm. Eng. 2019, 159, 113872. [Google Scholar] [CrossRef]
- Balageas, D. Thickness or diffusivity measurements from front-face flash experiments using the TSR (thermographic signal reconstruction) approach. In Proceedings of the 2010 International Conference on Quantitative InfraRed Thermography, Quebec, QC, Canada, 27–30 July 2010. [Google Scholar] [CrossRef]
- Grys, S.; Vokorokos, L.; Borowik, L. Size determination of subsurface defect by active thermography—Simulation research. Infrared Phys. Technol. 2014, 62, 147–153. [Google Scholar] [CrossRef]
- Pastuszak, P.D. Characterization of Defects in Curved Composite Structures Using Active Infrared Thermography. Procedia Eng. 2016, 157, 325–332. [Google Scholar] [CrossRef][Green Version]
- Abaqus. Analysis User’s Manual Version 2019; Simulia: Cracow, Poland, 2019. [Google Scholar]
- Ghadermazi, K.; Khozeimeh, M.; Taheri-Behrooz, F.; Safizadeh, M. Delamination detection in glass–epoxy composites using step-phase thermography (SPT). Infrared Phys. Technol. 2015, 72, 204–209. [Google Scholar] [CrossRef]
- Mabrouki, F.; Genest, M.; Shi, G.; Fahr, A. Numerical modeling for thermographic inspection of fiber metal laminates. NDT E Int. 2009, 42, 581–588. [Google Scholar] [CrossRef]
- Grosso, M.; Lopez, J.E.C.; Silva, V.M.; Soares, S.D.; Rebello, J.M.; Pereira, G.R. Pulsed thermography inspection of adhesive composite joints: Computational simulation model and experimental validation. Compos. Part B Eng. 2016, 106, 1–9. [Google Scholar] [CrossRef]
- Hardle, W. Applied Nonparametric Regression; Cambridge University Press (CUP): Cambridge, UK, 1990. [Google Scholar] [CrossRef]
- Dudzik, S. Analysis of the accuracy of a neural algorithm for defect depth estimation using PCA processing from active thermography data. Infrared Phys. Technol. 2013, 56, 1–7. [Google Scholar] [CrossRef]
- Cruz-Vega, I.; Hernandez-Contreras, D.; Peregrina-Barreto, H.; Rangel-Magdaleno, J.D.J.; Ramirez-Cortes, J.M. Deep Learning Classification for Diabetic Foot Thermograms. Sensors 2020, 20, 1762. [Google Scholar] [CrossRef]
- Pardo, A.; Gutiérrez-Gutiérrez, J.A.; López-Higuera, J.; Pogue, B.W.; Conde, O.M. Coloring the Black Box: Visualizing neural network behavior with a self-introspective model (preprint). arXiv 2019, arXiv:1910.04903. [Google Scholar]
- Wang, H.; Hsieh, S.-J.; Peng, B.; Zhou, X. Non-metallic coating thickness prediction using artificial neural network and support vector machine with time resolved thermography. Infrared Phys. Technol. 2016, 77, 316–324. [Google Scholar] [CrossRef]
- Duan, Y.; Cooling, C.; Ahn, J.S.; Jackson, C.; Flint, A.; Eaton, M.D.; Bluck, M.J. Using a Gaussian process regression inspired method to measure agreement between the experiment and CFD simulations. Int. J. Heat Fluid Flow 2019, 80, 108497. [Google Scholar] [CrossRef]
- Yang, J.; Wang, W.; Lin, G.; Li, Q.; Sun, Y.; Sun, Y. Infrared Thermal Imaging-Based Crack Detection Using Deep Learning. IEEE Access 2019, 7, 182060–182077. [Google Scholar] [CrossRef]
- Fathi, S.; Dickens, P. Challenges in drop-on-drop deposition of reactive molten nylon materials for additive manufacturing. J. Mater. Process. Technol. 2013, 213, 84–93. [Google Scholar] [CrossRef]
- Conner, B.P.; Manogharan, G.P.; Martof, A.N.; Rodomsky, L.M.; Rodomsky, C.M.; Jordan, D.C.; Limperos, J.W. Making sense of 3-D printing: Creating a map of additive manufacturing products and services. Addit. Manuf. 2014, 1, 64–76. [Google Scholar] [CrossRef]
- Farina, I.; Singh, N.; Colangelo, F.; Luciano, R.; Bonazzi, G.; Fraternali, F. High-Performance Nylon-6 Sustainable Filaments for Additive Manufacturing. Materials 2019, 12, 3955. [Google Scholar] [CrossRef]
- Slotwinski, J.A.; Labarre, E.; Forrest, R.; Crane, E. Analysis of Glass-Filled Nylon in Laser Powder Bed Fusion Additive Manufacturing. JOM 2016, 68, 811–821. [Google Scholar] [CrossRef]
- Starr, T.L.; Gornet, T.J.; Usher, J.S. The effect of process conditions on mechanical properties of laser-sintered nylon. Rapid Prototyp. J. 2011, 17, 418–423. [Google Scholar] [CrossRef]
- Olivier, D.; Travieso-Rodriguez, J.A.; Borros, S.; Reyes, G.; Jerez-Mesa, R. Influence of building orientation on the flexural strength of laminated object manufacturing specimens. J. Mech. Sci. Technol. 2017, 31, 133–139. [Google Scholar] [CrossRef]
- Domingo-Espin, M.; Travieso-Rodriguez, J.A.; Jerez-Mesa, R.; Lluma-Fuentes, J.; Jerez-Mesa, R. Fatigue Performance of ABS Specimens Obtained by Fused Filament Fabrication. Materials 2018, 11, 2521. [Google Scholar] [CrossRef] [PubMed]
- Mathworks. MATLAB. 2020. Available online: https://es.mathworks.com/?s_tid=gn_logo (accessed on 10 January 2020).
- Weka 3. Data Mining Software in Java. Available online: http://www.cs.waikato.ac.nz/ml/weka/ (accessed on 30 June 2012).
- Berk, R.A. Statistical Learning from a Regression Perspective; Springer International Publishing: Cham, Switzlerland, 2016. [Google Scholar] [CrossRef]
- Alodat, M.; Shakhatreh, M.K. Gaussian process regression with skewed errors. J. Comput. Appl. Math. 2020, 370, 112665. [Google Scholar] [CrossRef]
- Chilenski, M.; Greenwald, M.; Marzouk, Y.; Howard, N.T.; White, A.E.; Rice, J.E.; Walk, J.R. Improved profile fitting and quantification of uncertainty in experimental measurements of impurity transport coefficients using Gaussian process regression. Nucl. Fusion 2015, 55, 23012. [Google Scholar] [CrossRef]
- Rasmussen, C.E.; Williams, C. Gaussian Processes for Machine Learning; MIT Press: Cambridge, MA, USA, 2006. [Google Scholar]
- Dhhan, W.; Midi, H.; Alameer, T. Robust Support Vector Regression Model in the Presence of Outliers and Leverage Points. Mod. Appl. Sci. 2017, 11, 92. [Google Scholar] [CrossRef]
- Piri, J.; Shamshirband, S.; Petković, D.; Tong, C.W.; Rehman, M.H.U. Prediction of the solar radiation on the Earth using support vector regression technique. Infrared Phys. Technol. 2015, 68, 179–185. [Google Scholar] [CrossRef]
- Breiman, L. Random Forests. Mach. Learn. 2001, 45, 5–32. [Google Scholar] [CrossRef]
- Rodríguez-Gonzálvez, P.; Rodríguez-Martín, M. Weld Bead Detection Based on 3D Geometric Features and Machine Learning Approaches. IEEE Access 2019, 7, 14714–14727. [Google Scholar] [CrossRef]
- Lam, J.C.; Wan, K.K.; Yang, L. Solar radiation modelling using ANNs for different climates in China. Energy Convers. Manag. 2008, 49, 1080–1090. [Google Scholar] [CrossRef]
- Dos Santos, C.M.; Escobedo, J.F.; Teramoto, E.T.; Modenese, S.H. Assessment of ANN and SVM models for estimating normal direct irradiation (Hb). Energy Convers. Manag. 2016, 126, 826–836. [Google Scholar] [CrossRef]
- Achieng, K. Modelling of soil moisture retention curve using machine learning techniques: Artificial and deep neural networks vs support vector regression models. Comput. Geosci. 2019, 133, 104320. [Google Scholar] [CrossRef]








| Feature | Description | Initial Value | Lower Range (%) | Upper Range (%) | |
|---|---|---|---|---|---|
| Defect thickness | (m) | Thickness of the defect | 0.00050 | 0.00025 (−50%) | 0.00075 (+50%) |
| Defect length | (m) | Length of the quadrangular side of the defect | 0.010 | 0.005 (−50%) | 0.015 (+50%) |
| Specific heat | (J/kgK) | Capacity to absorb heat in the material | 1590 | 795 (−50%) | 2385 (+50%) |
| Conductivity coef. | (W/m2 K) | Capacity to transfer heat inside the material | 0.22 | 0.11 (−50%) | 0.33 (+50%) |
| Density | (kg/m3)) | Mass divided by volume in the material | 1100 | 550 (−50%) | 1650 (+50%) |
| Environment temperature | (°C) | Temperature of the air room during the experiment | 24.4 | 12.2 (−50%) | 36.6 (+50%) |
| Emissivity coef. | For radiation heat transfer between the material and the environment | 0.9500 | 0.9025 (−5%) | 0.9975 (+5%) | |
| Film coef. | (W/m2/°C) | For convention heat transfer between the material and the environment | 10.50 | 5.25 (−50%) | 15.75 (+50%) |
| Max. heating temperature | (°C) | Maximum temperature applied to the upper surface during the heating step | 120 | 60 (−50%) | 180 (+50%) |
| Contrast front | (°C) | Maximum difference between P1 and P2 temperatures | Output of the FEM simulation | ||
| Contrast rear | (°C) | Maximum difference between P4 and P3 temperatures | Output of the FEM simulation | ||
| 500 Data | Regression | |||
|---|---|---|---|---|
| Linear | Interaction | Stepwise | ||
| None | RMSE | 1.046 × 10−4 | 6.560 × 10−5 | 8.234 × 10−5 |
| R2 | 0.47 | 0.79 | 0.68 | |
| MAE | 8.690 × 10−5 | 5.148 × 10−5 | 6.612 × 10−5 | |
| RMSE | 1.056 × 10−4 | 7.388 × 10−5 | 8.153 × 10−5 | |
| R2 | 0.47 | 0.74 | 0.68 | |
| MAE | 8.720 × 10−5 | 5.884 × 10−5 | 6.492 × 10−5 | |
| RMSE | 1.070 × 10−4 | 7.286 × 10−5 | 8.320 × 10−5 | |
| R2 | 0.46 | 0.75 | 0.67 | |
| MAE | 8.710 × 10−5 | 5.777 × 10−5 | 6.610 × 10−5 | |
| RMSE | 1.053 × 10−4 | 7.575 × 10−5 | 8.353 × 10−5 | |
| R2 | 0.47 | 0.73 | 0.67 | |
| MAE | 8.688 × 10−5 | 5.985 × 10−5 | 6.655 × 10−5 | |
| , c, | RMSE | 1.060 × 10−4 | 8.290 × 10−5 | 8.562 × 10−5 |
| R2 | 0.46 | 0.67 | 0.65 | |
| MAE | 8.730 × 10−5 | 6.675 × 10−5 | 6.890 × 10−5 | |
| , c, | RMSE | 1.080 × 10−4 | 8.773 × 10−5 | 8.886 × 10−5 |
| R2 | 0.45 | 0.63 | 0.62 | |
| MAE | 8.910 × 10−5 | 7.038 × 10−5 | 7.134 × 10−5 | |
| Considering Contrast Rear | Without Contrast Rear | ||||||
|---|---|---|---|---|---|---|---|
| Regression | Regression | ||||||
| Excluding Features | Linear | Interaction | Stepwise | Linear | Interaction | Stepwise | |
| None | RMSE | 2.671 × 10−3 | 3.330 × 10−3 | 1.949 × 10−3 | 2.440 × 10−3 | 1.995 × 10−3 | 1.853 × 10−3 |
| R2 | 0.19 | 0.25 | 0.57 | 0.32 | 0.54 | 0.61 | |
| MAE | 2.180 × 10−3 | 2.299 × 10−3 | 1.506 × 10−3 | 2.027 × 10−3 | 1.534 × 10−3 | 1.470 × 10−3 | |
| RMSE | 2.633 × 10−3 | 2.382 × 10−3 | 1.864 × 10−3 | 2.423 × 10−3 | 2.008 × 10−3 | 1.736 × 10−3 | |
| R2 | 0.22 | 0.36 | 0.61 | 0.32 | 0.54 | 0.65 | |
| MAE | 2.164 × 10−3 | 1.719 × 10−3 | 1.439 × 10−3 | 2.033 × 10−3 | 1.624 × 10−3 | 1.400 × 10−3 | |
| RMSE | 2.613 × 10−3 | 2.144 × 10−3 | 1.854 × 10−3 | 2.405 × 10−3 | 1.821 × 10−3 | 1.782 × 10−3 | |
| R2 | 0.23 | 0.48 | 0.61 | 0.33 | 0.62 | 0.63 | |
| MAE | 2.156 × 10−3 | 1.527 × 10−3 | 1.456 × 10−3 | 2.015 × 10−3 | 1.507 × 10−3 | 1.509 × 10−3 | |
| RMSE | 2.556 × 10−3 | 2.040 × 10−3 | 1.770 × 10−3 | 2.392 × 10−3 | 1.859 × 10−3 | 1.804 × 10−3 | |
| R2 | 0.26 | 0.53 | 0.65 | 0.34 | 0.6 | 0.63 | |
| MAE | 2.108 × 10−3 | 1.482 × 10−3 | 1.411 × 10−3 | 1.994 × 10−3 | 1.443 × 10−3 | 1.409 × 10−3 | |
| ,k | RMSE | 2.494 × 10−3 | 1.820 × 10−3 | 1.893 × 10−3 | 2.452 × 10−3 | 2.092 × 10−3 | 2.132 × 10−3 |
| R2 | 0.3 | 0.63 | 0.6 | 0.31 | 0.5 | 0.48 | |
| MAE | 2.013 × 10−3 | 1.398 × 10−3 | 1.471 × 10−3 | 2.021 × 10−3 | 1.689 × 10−3 | 1.764 × 10−3 | |
| Excluding Features: | Linear | Interaction | Stepwise |
|---|---|---|---|
| None | −8.65% | −40.09% | −4.94% |
| −7.03% | −33.28% | −2.42% | |
| −7.96% | −15.69% | −6.86% | |
| −6.07% | −5.50% | −2.71% | |
| −7.98% | −15.07% | −3.87% | |
| −6.52% | −1.32% | 3.65% | |
| −6.45% | −8.85% | 1.93% | |
| −5.40% | −2.64% | −0.11% | |
| −1.70% | 14.96% | 12.65% | |
| 0.43% | 20.78% | 19.93% |
| Regression | Gaussian Processes Regression | ||||||
|---|---|---|---|---|---|---|---|
| Excluding Features | Linear | Interaction | Stepwise | Square ExpGPR | Matern 5/2GPR | Rational Quadratic GPR | |
| None | RMSE | 2.273 × 10−3 | 1.276 × 10−3 | 1.278 × 10−3 | 9.247 × 10−4 | 9.460 × 10−4 | 9.252 × 10−4 |
| R2 | 0.38 | 0.81 | 0.81 | 0.90 | 0.89 | 0.90 | |
| MAE | 1.805 × 10−3 | 9.588 × 10−4 | 9.594 × 10−4 | 7.256 × 10−4 | 7.505 × 10−4 | 7.267 × 10−4 | |
| RMSE | 2.292 × 10−3 | 1.367 × 10−3 | 1.489 × 10−3 | 9.963 × 10−4 | 8.720 × 10−4 | 9.975 × 10−4 | |
| R2 | 0.37 | 0.78 | 0.74 | 0.88 | 0.91 | 0.88 | |
| MAE | 1.800 × 10−3 | 9.663 × 10−4 | 1.017 × 10−3 | 6.967 × 10−4 | 6.940 × 10−4 | 6.976 × 10−4 | |
| RMSE | 2.259 × 10−3 | 1.341 × 10−3 | 1.32100B7×10−3 | 8.221 × 10−4 | 8.546 × 10−4 | 8.221 × 10−4 | |
| R2 | 0.39 | 0.79 | 0.79 | 0.92 | 0.91 | 0.92 | |
| MAE | 1.804 × 10−3 | 1.027 × 10−3 | 1.031 × 10−3 | 6.665 × 10−4 | 6.967 × 10−4 | 6.666 × 10−4 | |
| RMSE | 2.277 × 10−3 | 1.485 × 10−3 | 1.478 × 10−3 | 1.172 × 10−3 | 1.173 × 10−3 | 1.172 × 10−3 | |
| R2 | 0.38 | 0.74 | 0.74 | 0.84 | 0.84 | 0.84 | |
| MAE | 1.819 × 10−3 | 1.156 × 10−3 | 1.152 × 10−3 | 9.310 × 10−4 | 9.374 × 10−4 | 9.310 × 10−4 | |
| RMSE | 2.264 × 10−3 | 1.447 × 10−3 | 1.454 × 10−3 | 1.158 × 10−3 | 1.153 × 10−3 | 1.158 × 10−3 | |
| R2 | 0.39 | 0.75 | 0.75 | 0.84 | 0.84 | 0.84 | |
| MAE | 1.810 × 10−3 | 1.130 × 10−3 | 1.144 × 10−3 | 9.120 × 10−4 | 9.170 × 10−4 | 9.120 × 10−4 | |
| SVM | Multilayer Perceptron | Random Forest | ||||
|---|---|---|---|---|---|---|
| Excluding Features: | Cubic | Quadratic | Medium Gaussian | |||
| None | RMSE | 1.774 × 10−3 | 1.622 × 10−3 | 1.756 × 10−3 | 2.241 × 10−3 | 2.376 × 10−3 |
| R2 | 0.63 | 0.69 | 0.63 | 0.55 | 0.36 | |
| MAE | 1.180 × 10−3 | 1.246 × 10−3 | 1.423 × 10−3 | 1.741 × 10−3 | 2.031 × 10−3 | |
| RMSE | 2.784 × 10−3 | 1.713 × 10−3 | 1.737 × 10−3 | 2.080 × 10−3 | 2.340 × 10−3 | |
| R2 | 0.08 | 0.65 | 0.64 | 0.60 | 0.38 | |
| MAE | 1.210 × 10−3 | 1.298 × 10−3 | 1.383 × 10−3 | 1.650 × 10−3 | 1.990 × 10−3 | |
| RMSE | 1.961 × 10−3 | 1.684 × 10−3 | 1.744 × 10−3 | 2.070 × 10−3 | 2.280 × 10−3 | |
| R2 | 0.54 | 0.66 | 0.64 | 0.63 | 0.42 | |
| MAE | 1.204 × 10−3 | 1.302 × 10−3 | 1.373 × 10−3 | 1.640 × 10−3 | 1.940 × 10−3 | |
| RMSE | 1.900 × 10−3 | 1.708 × 10−3 | 1.731 × 10−3 | 2.060 × 10−3 | 2.270 × 10−3 | |
| R2 | 0.57 | 0.65 | 0.64 | 0.60 | 0.42 | |
| MAE | 1.338 × 10−3 | 1.338 × 10−3 | 1.360 × 10−3 | 1.640 × 10−3 | 1.930 × 10−3 | |
| RMSE | 1.708 × 10−3 | 1.747 × 10−3 | 1.720 × 10−3 | 2.130 × 10−3 | 2.200 × 10−3 | |
| R2 | 0.65 | 0.64 | 0.64 | 0.58 | 0.46 | |
| MAE | 1.284 × 10−3 | 1.358 × 10−3 | 1.379 × 10−3 | 1.690 × 10−3 | 1.870 × 10−3 | |
| Regression | Gaussian Processes Regression | ||||||
|---|---|---|---|---|---|---|---|
| Excluding Features: | Linear | Interaction | Stepwise | Square ExpGPR | Matern 5/2GPR | Rational Quadratic GPR | |
| None | RMSE | 2.231 × 10−3 | 1.485 × 10−3 | 1.466 × 10−3 | 1.072 × 10−3 | 1.103 × 10−3 | 1.073 × 10−3 |
| R2 | 0.41 | 0.74 | 0.75 | 0.86 | 0.86 | 0.86 | |
| MAE | 1.793 × 10−3 | 1.183 × 10−3 | 1.168 × 10−3 | 8.513 × 10−4 | 8.826 × 10−4 | 8.531 × 10−4 | |
| RMSE | 2.285 × 10−3 | 1.727 × 10−3 | 1.724 × 10−3 | 1.501 × 10−3 | 1.505 × 10−3 | 1.499 × 10−3 | |
| R2 | 0.38 | 0.65 | 0.65 | 0.73 | 0.73 | 0.73 | |
| MAE | 1.863 × 10−3 | 1.383 × 10−3 | 1.379 × 10−3 | 1.208 × 10−3 | 1.215 × 10−3 | 1.209 × 10−3 | |
| RMSE | 2.277 × 10−3 | 1.485 × 10−3 | 1.478 × 10−3 | 1.172 × 10−3 | 1.173 × 10−3 | 1.172 × 10−3 | |
| R2 | 0.38 | 0.74 | 0.74 | 0.84 | 0.84 | 0.84 | |
| MAE | 1.819 × 10−3 | 1.156 × 10−3 | 1.152 × 10−3 | 9.310 × 10−4 | 9.374 × 10−4 | 9.310 × 10−4 | |
| RMSE | 2.301 × 10−3 | 1.809 × 10−3 | 1.837 × 10−3 | 1.624 × 10−3 | 1.631 × 10−3 | 1.625 × 10−3 | |
| R2 | 0.37 | 0.61 | 0.6 | 0.69 | 0.68 | 0.69 | |
| MAE | 1.881 × 10−3 | 1.453 × 10−3 | 1.473 × 10−3 | 1.301 × 10−3 | 1.309 × 10−3 | 1.302 × 10−3 | |
| RMSE | 2.323 × 10−3 | 1.984 × 10−3 | 1.986 × 10−3 | 1.864 × 10−3 | 1.866 × 10−3 | 1.866 × 10−3 | |
| R2 | 0.36 | 0.53 | 0.53 | 0.59 | 0.59 | 0.59 | |
| MAE | 1.913 × 10−3 | 1.628 × 10−3 | 1.631 × 10−3 | 1.516 × 10−3 | 1.517 × 10−3 | 1.517 × 10−3 | |
| SVM | Multilayer Perceptron | Random Forest | ||||
|---|---|---|---|---|---|---|
| Cubic | Quadratic | Medium Gaussian | ||||
| None | RMSE | 1.677 × 10−3 | 1.829 × 10−3 | 2.000 × 10−3 | 2.290 × 10−3 | 2.490 × 10−3 |
| R2 | 0.67 | 0.60 | 0.53 | 0.54 | 0.30 | |
| MAE | 1.276 × 10−3 | 1.440 × 10−3 | 1.614 × 10−3 | 1.810 × 10−3 | 2.140 × 10−3 | |
| RMSE | 1.845 × 10−3 | 1.944 × 10−3 | 2.066 × 10−3 | 2.350 × 10−3 | 2.480 × 10−3 | |
| R2 | 0.60 | 0.55 | 0.49 | 0.52 | 0.29 | |
| MAE | 1.443 × 10−3 | 1.540 × 10−3 | 1.662 × 10−3 | 1.890 × 10−3 | 2.120 × 10−3 | |
| RMSE | 1.900 × 10−3 | 1.708 × 10−3 | 1.731 × 10−3 | 2.060 × 10−3 | 2.270 × 10−3 | |
| R2 | 0.57 | 0.65 | 0.64 | 0.59751354 | 0.421201 | |
| MAE | 1.338 × 10−3 | 1.338 × 10−3 | 1.360 × 10−3 | 1.640 × 10−3 | 1.930 × 10−3 | |
| RMSE | 1.991 × 10−3 | 2.029 × 10−3 | 2.073 × 10−3 | 2.400 × 10−3 | 2.400 × 10−3 | |
| R2 | 0.53 | 0.51 | 0.49 | 0.5 | 0.34 | |
| MAE | 1.557 × 10−3 | 1.606 × 10−3 | 1.650 × 10−3 | 1.930 × 10−3 | 2.050 × 10−3 | |
| RMSE | 2.296 × 10−3 | 2.333 × 10−3 | 2.151 × 10−3 | 2.520 × 10−3 | 2.340 × 10−3 | |
| R2 | 0.37 | 0.35 | 0.45 | 0.45 | 0.37 | |
| MAE | 1.793 × 10−3 | 1.834 × 10−3 | 1.722 × 10−3 | 2.040 × 10−3 | 1.980 × 10−3 | |
| Regression | Gaussian Regression Model | SVM | Multilayer Perceptron | Random Forest | ||||||||
|---|---|---|---|---|---|---|---|---|---|---|---|---|
| Excluding Feature: | Linear | Interaction | Stepwise | Square ExpGPR | Matern 5/2GPR | Rational Quadratic | Cubic | Quadratic | Medium Gaussian | |||
| None | RMSE | −1.85% | 16.30% | 14.77% | 15.93% | 16.64% | 15.97% | −5.45% | 12.74% | 13.87% | 2.19% | 4.80% |
| MAE | −0.68% | 23.33% | 21.76% | 17.33% | 17.60% | 17.39% | 8.13% | 15.57% | 13.41% | 3.96% | 5.37% | |
| RMSE | −0.34% | 26.31% | 15.73% | 50.66% | 72.61% | 50.25% | −33.73% | 13.44% | 18.95% | 12.98% | 5.98% | |
| MAE | 3.51% | 43.12% | 35.64% | 73.39% | 75.01% | 73.34% | 19.21% | 18.59% | 20.16% | 14.55% | 6.53% | |
| RMSE | 0.79% | 10.72% | 11.89% | 42.53% | 37.30% | 42.52% | −3.10% | 1.44% | −0.74% | −0.48% | −0.44% | |
| MAE | 0.81% | 12.51% | 11.74% | 39.66% | 34.56% | 39.65% | 11.13% | 2.78% | −0.92% | 0.00% | −0.52% | |
| RMSE | 1.03% | 21.86% | 24.22% | 38.61% | 39.00% | 38.70% | 4.79% | 18.79% | 19.76% | 16.50% | 5.73% | |
| MAE | 3.41% | 25.70% | 27.84% | 39.71% | 39.62% | 39.87% | 16.33% | 19.99% | 21.30% | 17.68% | 6.22% | |
| RMSE | 2.61% | 37.08% | 36.58% | 61.02% | 61.86% | 61.20% | 34.44% | 33.54% | 25.03% | 18.31% | 6.36% | |
| MAE | 5.66% | 44.03% | 42.56% | 66.18% | 65.39% | 66.35% | 39.64% | 35.06% | 24.84% | 20.71% | 5.88% | |
| Mean % | 1.50% | 26.10% | 24.27% | 44.50% | 45.96% | 44.52% | 9.14% | 17.19% | 15.57% | 10.64% | 4.59% | |
| Prediction Model for Defect Length | Prediction Model for Defect Thickness | ||||||||
|---|---|---|---|---|---|---|---|---|---|
| Model | Performance | Processing Time | Outliers Influence | Sensitive to Lack of Contrast Front | Sample Size Sensitive * | Performance | Processing Time | Outliers Sensitive | |
| Regression | Linear | Very low | Low | High | Low | Moderate | Low | Low | Low |
| Interaction | High | Low | Moderate | High | Moderate | Moderate | Low | Low | |
| Stepwise | High | Very high | Low | High | Moderate | Moderate | Very high | Low | |
| GPR | Square exp. | Very high | Moderate | Low | Very high | High | |||
| Matern 5/2 | Very high | Moderate | Low | Very high | High | ||||
| Rational Quadratic | Very high | High | Low | Very high | High | ||||
| SVM | Cubic | Moderate | Very low | High | Low | High | |||
| Quadratic | Moderate | Very low | Medium | Moderate | High | ||||
| Gaussian Medium | Moderate | Very low | Medium | Moderate | High | ||||
| Multilayer Perceptron | Low | Very low | Moderate | Low | High | ||||
| Random Forest | Very low | Very low | Low | Very low | High | ||||
© 2020 by the authors. Licensee MDPI, Basel, Switzerland. This article is an open access article distributed under the terms and conditions of the Creative Commons Attribution (CC BY) license (http://creativecommons.org/licenses/by/4.0/).
Share and Cite
Rodríguez-Martín, M.; Fueyo, J.G.; Gonzalez-Aguilera, D.; Madruga, F.J.; García-Martín, R.; Muñóz, Á.L.; Pisonero, J. Predictive Models for the Characterization of Internal Defects in Additive Materials from Active Thermography Sequences Supported by Machine Learning Methods. Sensors 2020, 20, 3982. https://doi.org/10.3390/s20143982
Rodríguez-Martín M, Fueyo JG, Gonzalez-Aguilera D, Madruga FJ, García-Martín R, Muñóz ÁL, Pisonero J. Predictive Models for the Characterization of Internal Defects in Additive Materials from Active Thermography Sequences Supported by Machine Learning Methods. Sensors. 2020; 20(14):3982. https://doi.org/10.3390/s20143982
Chicago/Turabian StyleRodríguez-Martín, Manuel, José G. Fueyo, Diego Gonzalez-Aguilera, Francisco J. Madruga, Roberto García-Martín, Ángel Luis Muñóz, and Javier Pisonero. 2020. "Predictive Models for the Characterization of Internal Defects in Additive Materials from Active Thermography Sequences Supported by Machine Learning Methods" Sensors 20, no. 14: 3982. https://doi.org/10.3390/s20143982
APA StyleRodríguez-Martín, M., Fueyo, J. G., Gonzalez-Aguilera, D., Madruga, F. J., García-Martín, R., Muñóz, Á. L., & Pisonero, J. (2020). Predictive Models for the Characterization of Internal Defects in Additive Materials from Active Thermography Sequences Supported by Machine Learning Methods. Sensors, 20(14), 3982. https://doi.org/10.3390/s20143982

